希腊字母在期权中的应用
期货日报
期权的价格与标的资产价格、标的资产波动率、期权执行价格、期权到期时间、利率等因素有关,通常用希腊字母(Greeks) 表示期权价格对于上述影响因素变化的敏感程度,是期权交易中重要的风险管理指标。常用希腊字母及其含义如下表所示:

Delta 表示期权价格对标的资产价格变化的敏感性,即标的资产价格变动一个单位时期权价格的变化率。在期权交易中,Delta 的意义在于为对冲标的资产价格变动的风险而需要持有的标的资产数量,也被称为对冲比率,当整个资产组合头寸的Delta 为0 时,就是常说的“Delta 中性”。由于看涨期权的Delta 介于0—1 之间,看跌期权的Delta 介于-1—0 之间,因此持有看涨期权时需要卖空标的资产进行对冲,持有看跌期权时需要买入标的资产进行对冲。随着标的资产价格的上涨,看涨期权的Delta 增大,卖空对冲的标的资产数量随之增加;随着标的资产价格的下跌,看跌期权的Delta 减小,买入对冲的标的资产数量随之增加。随着到期时间的减少,实值期权的Delta 绝对值趋近于1,对冲比率接近于1,虚值期权的Delta 绝对值趋近于0,对冲比率接近于0。
Gamma 表示期权Delta 对标的资产价格变化的敏感性,即标的资产价格变动一个单位时期权Del?
ta 的变化率。从期权价格的角度看,Gamma 描述了期权价格变化的曲率和凸性。在期权交易中,Gamma 可以理解成为保持Delta 中性而需要进行调整的频率和数量,Gamma 越大,Delta 调整的频率越高、数量越大。由于看涨、看跌期权的Gamma 均为正值,随着标的资产价格的上涨,将产生正的Del?
ta,反之则产生负的Delta,也就是说无论标的资产价格的变动方向如何,对正Gamma 资产头寸而言都是有利的,基于此可以考虑“Gamma Scapling”交易。平值期权的Gamma 相对较大。随着到期时间的减少,平值期权的Gamma 将快速增加,实值、虚值期权的Gamma将逐渐减小并趋于零。
Theta 表示期权价格对期权到期时间变化的敏感性,通常指期权到期时间变动一天时期权价格的变化率。在期权交易中,随着期权到期时间的减少,期权价值状态变化的可能性减小,期权的时间价值将逐渐耗损掉,也就是常说的“丢失了时间价值”,所以一般而言期权的Theta 为负。平值期权的Theta 绝对值相对较大,时间的流逝对于期权头寸的耗损更大。随着期权到期时间的减少,平值期权的Theta 加速减小,实值、虚值期权的Theta 将逐渐趋近于0,基于此可以考虑时间价差交易。
Vega 表示期权价格对标的资产波动率变化的敏感性,通常指标的资产波动率变动一个百分点时期权价格的变化率。在期权交易中,标的资产波动增加,期权价格也会随之增加,因此Vega 为正。平值期权的Vega 相对较大,波动率的变化对期权价格的影响更大。随着期权到期时间的减少,期权的Vega 将逐渐减小,波动率的变化对期权价格的影响逐渐减弱。
Rho 表示期权价格对利率变化的敏感性,通常指利率变动一个百分点时期权价格的变化率。对于多数投资者来说,只有当利率波动较大时,期权的Rho 才需要考虑。随着利率上升,看涨期权的价格增加,看跌期权的价格减小。期权的Rho 随标的资产价格的增加而增加。随着期权到期时间的减少,利率变化对期权价格的影响逐渐减小,期权的Rho将趋于0。
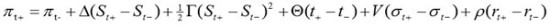
在实际的期权风险控制中,期权价格可以分解为如下形式:

显然,基于上述希腊字母可以更加清晰、定量地控制期权交易风险。以Delta 对冲为例,假设当前沪深300 指数为2250 点,波动率为20%,无风险利率为3.25%,沪深300 股指看跌期权仿真合约IO1405-P-2250 的执行价格为2250 点,30 天后到期,期权价格为26.5 点,Delta 为-0.3,Gamma 为0.0027(基于Black-Scholes 公式计算)。投资者买入10 手IO1405-P-2250 合约,为做到Delta 中性,投资者需要买入1 手沪深300 指数期货进行对冲(注:投资组合的Delta=期权Delta×期权乘数×期权手数+期货Delta×期货乘数×期货手数=-0.3×100× 10+1×300×1=0),这样整个组合头寸变为“Delta 中性”。当沪深300 指数下跌至2230 点时,组合价值上涨800 元,当沪深300 指数上涨至2270 点时,组合价值上涨400 元,如此经Delta 中性对冲后留下的Gamma 为正的投资组合头寸无论标的资产是涨是跌,都可实现正的收益。
(作者单位:国泰君安期货)
版权声明:本网所有内容,凡来源:“期货日报”的所有文字、图片和音视频资料,版权均属期货日报所有,任何媒体、网站或个人未经本网协议授权不得转载、链接、转贴或以其他方式复制发布/发表。已经本网协议授权的媒体、网站,在下载使用时必须注明"稿件来源:期货日报",违者本网将依法追究责任。