新浪财经

浮动利率债券的基准利率选择及定价

《债券》杂志

关注

周文渊 李曌 孙铮

    来源:《债券》2013年7月号

债券实务

摘要:本文首先讨论了浮动利率债的基准利率选择,然后分析了久期和距下一付息日的时间对浮动利率债定价的影响,最后分别介绍了几种一、二级市场的定价方法。

关键词:浮动利率债  基准利率  定价

随着金融自由化的深入,国内金融市场参与者面临的利率风险在加剧,客观上要求利率风险管理工具多元化。浮动利率债作为机构和居民进行利率风险管理的基本工具,近年来受到市场广泛关注。

浮动利率债的基准利率选择

浮动利率债券是指息票利率随市场利率定期浮动的债券,也称浮息债(息票利率=基准利率+固定利差)。在对浮息债定价时,首先面临的问题是基准利率的选择。

根据浮息债特点,其基准利率的选择可以归结为以下四条标准:第一,基准利率与债券市场的整体收益率水平要有较强的相关性;相关性强是浮息债规避利率风险的基本保证。第二,基准利率应该具有一定的稳定性,波动不可过大;波动较为剧烈的基准利率,其规避利率风险的功能是较差的,不适宜作为基准利率。第三,基准利率水平应具有不可操纵性;基准利率如易于受到机构蓄意的操纵,其客观性就受到严重削弱。第四,基准利率的利率期限应大致与浮息债付息周期相同。期限匹配有利于浮息债利息支付及时、恰当地反映市场变化,从而更好地规避风险。对于这四条标准,我们可以进一步抽象为相关性、稳定性、不可操纵性和期限匹配性四个指标。本着这四个指标,我们分别考察了国内浮动利率债的几个主要基准利率。

国内现有的基准利率主要包括:

(1)1年期定期储蓄存款利率:非市场化利率,是由央行确定的政策性利率。

(2)上海银行间同业拆放利率(SHIBOR):市场化利率,反映和影响着整个金融市场上短期资金的供求变化。3个月期SHIBOR(SHIBOR-3M)的5、10日均值是市场上常用的浮动利率债券基准利率。

(3)银行间7天回购利率(R007):市场化利率,反映和影响着回购市场上短期资金的供求变化。相比SHIBOR,7天回购定盘利率(FR007)波动性较大,因此采用移动平均加权的做法,使其具有较强的稳定性。B_2W即为7天回购利率2周加权,也是常用的基准利率。

截至2013年5月,国内市场共有308只浮息债,其中以1年期定存利率为基准利率的有242只,以SHIBOR为基准利率的有56只,以R007为基准利率的有6只。各种基准利率品种占比如图1所示。

图1 基准利率品种占比情况

(一)相关性

从经验来看,1年期定存利率和SHIBOR都同债券市场收益率有较强的相关性,而7天回购利率则表现欠佳。究其原因,1年期定存利率和SHIBOR受宏观、政策面影响,本身属于较宏观的指标,而7天回购利率则较易受资金面影响。SHIBOR对市场反应较为灵敏,因而与市场的收益率水平相关性最好。图2显示了2007年1月至2013年5月各基准利率走势与国债到期收益率走势的相关性联系。

图2 基准利率、国债收益率走势(单位:%)

(注:图例“一年定存”改为“1年期定存利率”)

表1给出了各种利率之间的相关系数。从与国债收益率的相关性来看,SHIBOR的相关性最好,相关系数达到了0.89和0.91;1年期定存利率的相关性较好,相关系数为0.85;7天回购利率的相关性较差,FR007只有0.70和0.74,移动平均后的B_2W相关性稍好,达到了0.77和0.79。

表1 基准利率、国债收益率相关系数

(二)稳定性

从图3基准利率走势图可以看出,FR007和B_2W都表现出较大的波动性,从而弱化了浮动利率债券规避利率风险的特性,因此7天回购利率不适合作为基准利率。相比之下,SHIBOR和1年期定存利率表现出较好的稳定性。

图3 基准利率走势(单位:%)

(注:图例“一年定存”改为“1年期定存利率”)

表2显示了从2008年1月2日到2013年5月7日SHIBOR-3M、B_2W、1年期定存利率及LIBOR-3M波动率的标准差。从标准差来看,7天回购利率有较大的波动性,其余利率的波动性较小;从国际横向比较来看,同期内LIBOR-3M的标准差为1.42%,与SHIBOR-3M和1年期定存利率的波动性基本相当。

表2 基准利率波动率的标准差

(三)不可操纵性

1年期定存利率由央行公布,不属于市场化利率,无法受到操纵;7天回购利率受到很多短期因素的影响(公开市场操作、打新股),短期巨大的变化使得对其的蓄意操纵难以实施;SHIBOR由报价团报价决定,并除去一定比例的最高和最低报价,除非出现大规模的串谋,SHIBOR也难以被操纵。

(四)期限匹配性

浮息债付息周期以季度、半年、1年为主,与1年期定存利率和SHIBOR的期限较为契合,而7天回购利率期限较短,存在较大的基差风险。

综上所述,现存三种主要基准利率在上述特征方面的表现如表3所示。

表3 基准利率特征总结

从基准利率的选择原理来看,1年期定存利率和SHIBOR均比较符合作为基准利率的要求,这也与目前国内市场上以两种利率为基准的浮息债份额相匹配。从目前国内利率市场化改革的趋势来看,银行存款贷款的利率市场化尚未实现,以1年期定存利率为基准利率的浮息债利于匹配商业银行负债的利率风险,因而对于商业银行有着天然的吸引力。从利率市场化过渡的角度看,SHIBOR成为浮息债主流的基准利率是发展趋势。

浮息债定价的两个影响因素:久期和距下一付息日时间

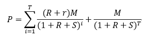
浮息债定价公式如下:

其中,R为基准利率,r为固定利差,S为贴现利差,M为本金。

(一)久期

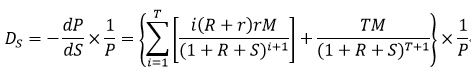
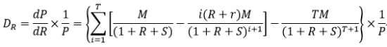
债券久期作为衡量债券利率风险的指标,反映了利率水平的变化对于价格的影响程度。根据上述公式,浮息债价格主要受两个因素影响:基准利率R和贴现利差S。因此,与此相对应的就有利率久期和利差久期。

1.利率久期

债券价格对基准利率R的敏感性,用利率久期衡量。

利率久期具有较为复杂的形式,因为浮息债定价公式的分子、分母均包含基准利率,这是与固定利率债券十分不同的一点,也正因此,浮息债具有较小的利率久期和利率风险。

2.利差久期

债券价格对贴现利差S的敏感性,用利差久期衡量。

值得注意的是,浮息债的利差久期与其期限可比的固定利率债券久期本质上是相同的。

3.利率久期与利差久期的比较

由于浮息债定价公式复杂,其久期公式并不直观。为此,我们举一简化实例以具体说明。

假设有一只浮息债,基准利率为SHIBOR-3M,固定利差为100bp,贴现利差为150bp,半年付息,距离到期10年。假设SHIBOR-3M维持在3%的水平,未来10年浮息债的利率久期和利差久期随时间的推移如图4所示。

图4 浮息债的利率久期与利差久期(单位:%)

从图4可以清晰地看出,浮息债的利率久期要远远小于其利差久期,利率久期大致与付息期相当,而利差久期随着到期日的临近逐渐减小。

4.久期在浮息债定价中的应用

分析浮息债的久期公式,可以看出,其价格与基准利率同向变动,与贴现利差反向变动。债券价格变化公式如下:

(二)距下一付息日时间

1.对价格的影响

浮息债的价格在刚跨过付息日时趋近于面值,距下一付息日的时间对浮息债价格有周期性影响。举例说明,为了简化起见,我们假设浮息债的固定利差r与贴现利差S相等,并假设处于时点0,浮息债刚支付完利息,则此时的基准利率R为下一付息日计息使用的基准利率水平。在给出了R的走势后,现金流就确定了,再以基准利率R加上贴现利差S进行贴现,即可以计算出现值,r与S相等的浮息债在付息日后的价格等于面值。具体示范如表4所示。

表4 浮息债定价示范

在实际市场中,固定利差r与贴现利差S往往并不相等,因此浮息债的价格也就不会在付息后回归到面值,但是浮息债价格仍然具有在付息后回归原值的趋势。

2.对价格波动的影响

对于浮息债而言,距离下一付息日时间越长,其价格波动越大,相反,价格波动则越小。

首先,我们举一个简单的例子直观地解释一下这个特征。设想一只一年付息、以SHIBOR为基准利率、面值为100元的浮息债,付息日SHIBOR为3%,固定利差为50bps,假设固定利差和市场的贴现利差相等。前文提及,浮息债在付息日价格回归面值,所以浮息债价格在付息日附近很确定。考虑1个月之后,距离下一付息日有11个月,此时下一付息日的利息已确定为3.5元,此时SHIBOR不论升至3.2%还是降至2.8%,对浮息债的价格都有较大影响,可见浮息债价格在距离下一付息日较长的时点具有更大的不确定性。

其次,我们用浮息债利率久期和利差久期随时间推移的演化图(见图4)来说明这一特征,我们注意到,与利差久期相对平滑地下降不同,利率久期以付息期为周期大幅震荡,而且距离付息日越近,利率久期越大,一旦跨过付息日,利率久期迅速下降至接近零的水平。同时,由于浮息债价格与基准利率同向变动,所以距付息日越近,利率久期越大,其对于利差久期的冲销作用越显著,导致浮息债的价格波动变小,反之则导致波动变大。

浮息债的几种定价方法

(一)定价的基本思想

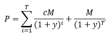
固息债定价公式如下:

其中,c为票面利率,y为收益率,M为本金。

浮息债定价公式如下:

其中,R为基准利率,r为固定利差,S为贴现利差,M为本金。

和所有固定收益类产品一致,浮息债定价取决于两大要素:现金流和折现率。

首先考虑现金流。与固息债相比,确定的现金流cM被不确定的现金流(R+r)M取代了,浮息债票面利率=基准利率+固定利差。固定利差在持有期内是固定的,所以确定现金流的关键在于确定基准利率在未来的走势。

其次考虑折现率。收益率y被分解成基准利率R和体现信用风险的贴现利差S。但是在实践中,出于简便考虑,最常用的做法依旧是利用可比固息债的到期收益率作为折现率。从理论上讲,利率期限结构本身是一个即期利率的概念,因此采用相似债券的到期收益率是不合理的。

(二)一级市场定价方法

一级市场定价方法主要有市场定性分析法和根据利率互换定价法,两者优劣比较见表5。

表5 一级市场定价方法比较

1.市场定性分析法

浮息债发行采取的是利差招标,对于一级市场的投资者而言,定价的目的是确定固定利差r。最常见的方法是市场定性分析法,即参照市场上已经存在的可比浮息债进行定价。定价逻辑如图5所示。

图5 市场定性分析法定价逻辑图

举例说明:假设在2009年6月,要求给新发的2年期浮息债定价,其基准利率为SHIBOR-3M的5日均值。

首先,找到市场上可比的浮息债080303.IB,其剩余期限为2.06年,固定利差为18bp,二级市场报价为99.70, 2年期固息金融债收益率为1.80%;

然后,折现后计算得隐含票面利率为1.65%,减去固定利差18bp,则隐含SHIBOR-3M均值为1.47%;

最后,由于浮息债招标采取利差招标,“基准利率+固定利差=固息债收益率”成立,可知该新发债券固定利差为1.80%-1.47%=33bp。

实际操作中,可以找多只可比浮息债,分别为新发债券定价,再结合二级市场的状况,最终确定一个发行利差。

2.根据利率互换定价法

考虑一个最常见的利率互换,假设互换购买方支付固定利率3.5%,获得浮动利率SHIBOR+50bps。则该互换可以分解为:

因此,只要能找到市场上互换和对应固息债的价格,就可以为相应的浮息债定价。

在中国市场,利用互换定价主要有两个问题:第一,国内互换市场品种涉及较少,期限集中于2年以内的短期,与浮息债期限不匹配;第二,交易不活跃,流动性不高,难以使用无套利的定价方法。总之,目前根据利率互换价格进行浮息债定价只能作为一种辅助性的参考手段。

(三)二级市场定价方法

与一级市场定价关注利差不同,二级市场上浮息债利差已被确定且不能改变,则主要是通过现金流折现模型确定债券价格,进而作出投资决策。

以现金流为考虑的出发点,引申出三种浮息债定价方法,其优劣比较见表6。

表6 二级市场定价方法比较

1.现金流分解法

此方法的理论立足点在于对浮息债的现金流进行分解:

其中,(R+S)M称为无利差部分,(r-S)M称为利差年金部分。至此,票息率为(R+r)的浮息债可以被视作无利差浮息债和利差年金固息债的组合。

首先考虑无利差部分,票息率为(R+S)的浮息债在每个付息日价格都等于其面值,在非付息日其价格波动也较小。为简化起见,我们认为无利差浮息债的价格一直等于面值。

然后考虑利差年金部分,利差年金固息债的票息率为(r-S),即“固定利差-贴现利差”。实践中,参照市场可比债券选定贴现利差和收益率,即可为利差年金固息债定价。

综上所述,现金流分解法下的浮息债定价为:

举例说明:100230.IB基准利率为SHIBOR -3M 的10日均值,固定利差r为8bp,每季度付息一次。现在考虑其利差年金固息债的价值,首先确定贴现利差,找到与之期限、信用状况类似的金融债,确定其贴现利差S为35bp。至此,利差年金固息债的票息率为-27bp。再利用金融债收益率曲线进行折现,结果见表7。因此,浮息债价值=100-0.6471=99.3529。

表7 定价示意

现金流分解法简单易懂,操作起来也较为简洁,但是其利用了无利差浮息债价格等于面值这一假定,而事实上无利差浮息债价格仅仅在付息日后与面值相等,此假设与真实情况存在一些偏差。

2.基准利率走势预测法

此方法的理论立足点在于对浮息债的现金流进行预测,由于固定利差在持有期内是固定的,所以确定现金流的关键在于对基准利率的走势作出合理的预测。

预测的方法很多,可以对基准利率时间序列构建ARMA模型,根据估计方程进行预测,但纯粹的计量方法忽视了利率背后的决定原理。所以我们利用即期利率曲线进行预测,根据期限结构的无偏预期理论,即期利率的期限结构包含了当前市场对未来短期利率走势的判断,采用即期利率期限结构推导远期利率,用以预测未来现金流,即可为浮息债定价。

举例说明:依旧使用上例中的100230.IB, 利用银行间债券市场金融债收益率数据,推导出即期利率曲线,进而推导隐含的远期利率曲线(见图6)。

图6银行间债券市场金融债收益率、即期利率、远期利率曲线

以远期利率作为未来的基准利率,加以固定利差,用以预测未来的现金流,再利用金融债收益率曲线进行折现,结果见表8。因此,浮息债价值为99.9454。

表8 定价示意

基准利率走势法理论清晰、直接,符合债券定价的直观思维,但是用于预测基准利率走势的方法很多,有计量的模型,也有市场的推断,总体上来讲在较长期限内有效地预测基准利率是很困难的。

3.动态利率模型法

动态利率模型法用均衡或者无套利的方法对利率走势作出预测,从而形成利率二叉树。目前有很多种可以选择的利率模型,最基本的利率模型如下:

其中,等号右侧第一项表示随着时间的推移利率以预计的“漂移速度”移动,第二项表示外在信息造成的随机“扰动项”。所谓不同的利率模型,差别就在于“漂移速度”和“扰动项”的表达方式。

对于浮息债而言,基准利率的二叉树给出了债券未来现金流的可能性,对可能的现金流折现,既可以对浮息债定价。

举例说明:假设目前基准利率是3.5%,需要给4年期的浮息债定价,则需要给出未来3年的基准利率预期,根据利率模型构建出的利率树如图7所示。

图7 根据利率模型构件的利率树

浮息债的固定利差为25bp,根据图7的利率树,对浮息债定价(见图8)。

图8 根据利率树对浮息债定价

图8中,每个单元格中上部为本期所确定的应付利息,利息在下一期支付;单元格下部为每期折现下的价格。根据上述计算可知,浮息债在时刻零的价格为100.89。

动态利率模型法应用广泛,只要给出现金流和折现率的动态预测即可对各类债券定价,不仅适用于浮息债的定价,同样可用于固息债、含权债、债券期权的定价。此方法较为复杂,定价精度对于利率模型的选择有较大的依赖性。

参考文献

[1] Frank J. Fabozzi, Floating-RateSecurities, John Wiley & Sons, Inc., 2000.

[2] 弗兰克·J。法博兹:《债券市场:分析和策略》,北京,北京大学出版社,2006。

[3] 时文朝:《中国债券市场:发展与创新》,北京,中国金融出版社,2011。

[4] 高坚:《中国债券资本市场》,北京,经济科学出版社,2009。

作者单位:国泰君安固定收益部

责任编辑:罗邦敏 夏宇宁

调查状态:已结束 欢迎参加问卷调查
1.

《债券》杂志评选2013年十佳文章(必选 10-10项)*

国债期货仿真交易中期现套利可行性分析与思考(王舟)
守得云开难见月——新格局背景下债市供需情况及市场走势分析(刘俊郁)
新商业银行资本管理办法对债市估值影响的量化测算(石磊 贾继承)
新资本协议实施所面临的问题及解决途径(吴晓辉)
巴西国债市场介绍及其对我国债券市场发展的启示(中央结算公司巴西国债考察团)
对美国经济增长质量及可持续性的评估及预测(陆晓明)
未来3年利率波动趋势研究(陈岚 范鑫)
商业银行理财业务监管回顾、困境及建议(杨硕)
初探银行间债券市场波段交易的机会发掘及策略(安进京)
从CPI的编制方法及规律看全年的走势(张涛 路思远)
《新版回购主协议》与质押券管理(王?)
美国债券市场发展的阶段性特征及主要作用(荣艺华 朱永行)
美国市政债务管理与市场之考察、体会及启示(周成跃 韦士歌)
国债期货上市与利率市场化改革(中国金融期货交易所国债期货开发小组)
对货币增速与经济增速背离现象的分析(严亦宽)
浮动利率债券的基准利率选择及定价(周文渊 李? 孙铮)
债券市场在中小微企业金融服务中的作用及发展方向(周欣 杨如冰)
离岸人民币债券市场发展影响因素分析及政策建议(王杏平 王大贤)
警惕债券市场流动性和信用风险(李勇)
地方政府债务规模、结构与风险化解路径探讨(李衡)
互联网金融发展对金融市场及债券市场影响分析(屈庆 陈黎 余文龙)
中国高收益债市场形成的另类途径(徐寒飞 杨坤)
中国信用债券评级模型构建及评级效果检验(苏奎武)
债券投资组合信用风险与利率风险对冲策略(赵景亮)
欧美储蓄国债的历史变迁与特点(巩方强)
永续债:海外经验及国内前景探讨(张继强 姬江帆 杨冰)
大额可转让定期存单海外发展经验、市场影响及相关对策(黄艳红)
久期规划策略证明及应用——债券指数化投资新视角(秦新锋)
银行理财管理计划和银行理财直接融资工具的发展及意义(周文渊)
利率市场化背景下债市盈利模式的思考(王晶)

电子邮箱

手机号码(必选)*

公司名称(必选)*

所在部门及职务(必选)*

姓名(必选)*

加载中...