国债期货投资全问答
新浪财经
策划:国债期货投资交易攻略
专栏:国债期货上市交易前瞻
国债与国债期货投资全问答包含以下五大方面内容:
一、国债基础知识
目 录
1、什么是国债?
2、国债的主要特征是什么?
3、我国国债具体如何分类?
4、国债有哪些主要功能?
5、我国国债市场规模有多大?
6、我国国债覆盖的期限范围是否广泛?
7、我国国债市场的组织结构是怎样的?
8、我国国债发行市场采取什么样的发行模式?
9、我国记账式国债发行的参与主体有哪些?
10、我国国债交易的参与主体有哪些?
11、我国国债交易市场的交易机制是怎样的?
12、国债价格和市场利率的关系如何?
二、国债期货基础知识
1、什么是国债期货?
2、国债期货有哪些特点?
3、国债期货有哪些基本功能?
4、国债期货市场的产生和发展历程是怎样的?
5、世界上主要的国债期货有哪些?
6、当前全球国债期货市场的总体情况如何?
7、我国为什么要推出国债期货?. 7
8、我国金融机构是否有参与国债期货的需求?
9、利率市场化程度与开展国债期货的关系怎样?
10、我国商品期货和股指期货市场的发展对国债期货的推出起到哪些积极作用?
11、国债期货合约标的与可交割券有什么区别?
12、转换因子的定义及计算是怎样的?
13、国债期货交割货款的定义及公式是什么?
14、什么是最便宜可交割债券?
15、如何计算隐含回购利率?
16、如何利用久期寻找最便宜可交割债券?
17、国债期货理论价格是怎样计算的?
18、影响国债期货价格的因素有哪些?
三、国债期货交易的误区
1、 误认为国债期货交易时间与现货市场一致
2、 误认为国债期货的当日结算价就是收盘价
3、 误认为国债期货当日结算就是当日平仓
4、 误认为国债期货的最后交易日在月末
5、 误认为国债期货类似于股指期货采用现金交割
6、 误认为5年期国债期货合约只能以5年期、3%票面利率的中期国债进行交割
7、 误认为国债期货的交割结算价和交割货款相同
8、误认为投资者可以全权委托期货公司进行国债期货易
9、 误认为市价指令总能以最快时间和最优价格成交
10、误认为国债期货保证金低,更加适合散户参与
11、误认为国债期货满仓操作就能挣大钱,忽略了满仓操作的风险
12、误认为国债期货开仓后无需每日盯盘
四、国债期货交易策略入门
1、国债期货套期保值的基本原理是什么?
2、如何利用国债期货进行多头套期保值?
3、如何利用国债期货进行空头套期保值?
4、什么是债券的修正久期、基点价值?
5、国债期货套期保值比率如何计算?
6、如何计算国债期货合约的久期及基点价值?
7、如何利用国债期货对国债现货组合套期保值?
8、国债期货套利的基本原理是什么?
9、如何利用国债期货进行跨期套利交易?
10、如何利用国债期货进行跨品种套利交易?
11、如何利用国债期货做基差交易?
12、如何利用国债期货进行收益率曲线套利?
五、国债期货交易策略概述
一、国债基础知识
目 录
1、什么是国债?
2、国债的主要特征是什么?
3、我国国债具体如何分类?
4、国债有哪些主要功能?
5、我国国债市场规模有多大?
6、我国国债覆盖的期限范围是否广泛?
7、我国国债市场的组织结构是怎样的?
8、我国国债发行市场采取什么样的发行模式?
9、我国记账式国债发行的参与主体有哪些?
10、我国国债交易的参与主体有哪些?
11、我国国债交易市场的交易机制是怎样的?
12、国债价格和市场利率的关系如何?
1、什么是国债?
国债又称公债,是中央政府为筹集财政资金而发行的一种政府债券。它以国家信用为基础,由中央政府通过法定程序和途径向投资者出具,承诺在一定时间支付利息和到期偿还本金的债权债务凭证。由于国债的发行主体是国家,所以在一国债券市场中它往往具有较高的信用度,一般情况下被公认为是最安全的投资工具。
2、国债的主要特征是什么?
国债作为一种以国家信用为基础的债券,具有以下主要特征:
一是安全性高,以国家信用作为国债还本付息的保证,一般情况下几乎不存在违约风险;
二是流动性强,信用等级较高,在市场上容易变现;
三是收益稳定,价格波动幅度相对较小。
3、我国国债具体如何分类?
国债可以按照债券形式、付息方式、票面利率和发行期限等进行分类:
(1)按债券形式分类
我国目前发行的国债可分为储蓄国债和记账式国债。
储蓄国债:是政府面向个人投资者发行、以吸收个人储蓄资金为目的、满足长期投资需求、不可流通且记名的国债品种。在持有期内,持券人如遇特殊情况需要提取现金,可以到购买网点提前兑取。按照记录债权形式的不同又可分为凭证式国债和电子式储蓄国债。凭证式国债以“凭证式国债收款凭证”记录债权,电子储蓄国债以电子方式记录债权。
记账式国债:以电子记账形式记录债权,由财政部面向全社会各类投资者发行,可以记名、挂失、上市和流通转让的国债品种。由于记账式国债的发行和交易均采用无纸化形式,所以效率高,成本低,交易安全性好。
(2)按付息方式分类
我国目前发行的国债按付息方式划分,可分为贴现国债和附息国债。
贴现国债:在票面上不规定利率,往往以低于债券面值的价格发行,到期按面值支付本息的债券。
附息国债:利息一般按年或半年支付,到期归还本金并支付最后一期利息。
(3)按票面利率分类
我国发行的国债按票面利率划分,可分为固定利率国债和浮动利率国债。
固定利率国债是指票面利率在发行时确定,在国债的整个存续期内保持不变。
浮动利率国债是指国债付息的利率一般为相同期限的市场利率加上一个固定利差来确定。在我国国债市场上,浮动利率国债的利率一般参照定期存款利率确定。
(4)按债券发行期限分类
我国发行的国债按债券发行期限划分,可分为短期国债(1年以内)、中期国债(1年以上,10年以下)和长期国债(10年以上)。
4、国债有哪些主要功能?
国债的基本功能包括财政功能和金融功能:一是弥补财政赤字、筹集建设资金、弥补国际收支的不足;二是形成市场基准利率,成为其他金融工具定价的基础;三是作为机构投资者融资的工具,调节短期资金余缺;四是作为公开市场操作工具,调节资金供求和货币流通量。
5、我国国债市场规模有多大?
我国国债自1981年恢复发行以来,发行规模不断扩大。
1981-1984年期间每年国债发行总规模约40亿元。1997年以来,国债发行量快速增长,发行量占GDP的比重也稳步提升。1997年,财政部共发行国债530亿元,占当年GDP的比重为0.67%;2012年我国全市场发行国债1.36万亿元,占当年GDP[1]的2. 6%。
伴随着债券发行量的增加,国债的存量规模也随之扩大(参见图1)。截至2012年末,我国国债存量已突破7万亿,约合1.2万亿美元,超过所有已上市国债期货国家上市当年的国债存量(参见表1)。
图 1、我国全市场国债余额与国内生产总值比
图 1、我国全市场国债余额与国内生产总值比
数据来源:万得资讯
表 1、国债期货上市年份国债余额比较
| 国家 | 国债期货
上市时间 |
首个国债期货合约名称 | 交易所 | 当时国债余额
(亿美元) |
| 美国 | 1976年 | 90天期国库券期货 | 芝加哥商业交易所 | 6,535 |
| 德国 | 1990年 | 10年期国债期货 | 德国期货交易所[1] | 3,658 |
| 英国 | 1982年 | 长期金边债券期货 | 伦敦国际金融期货交易所 | 1,915 |
| 澳大利亚 | 1984年 | 2年期和10年期国债期货 | 悉尼期货交易所[2] | 192 |
| 日本 | 1985年 | 10年期国债期货 | 东京证券交易所 | 9,111 |
| 韩国 | 1999年 | 3年期国债期货 | 韩国期货交易所[3] | 344 |
| 中国* | / | 5年期国债期货 | 中国金融期货交易所 | 11,944 |
[1]德国期货交易所后与瑞士期货期权交易所合并为欧洲期货交易所。
[2]悉尼期货交易所后被澳大利亚证券交易所收购。
[3]韩国期货交易所后与韩国证券交易所、韩国创业板市场合并为韩国交易所。
数据来源:OECD、各国期货交易所
*注:我国目前尚没有开展国债期货交易,国债余额取2012年末数据
6、我国国债覆盖的期限范围是否广泛?
目前,我国国债已经形成从3个月到50年的短期、中期、长期和超长期兼备的较为丰富的期限结构,期限覆盖范围广泛,中长期国债的占比明显高于短期品种。
截至2012年末,我国记账式国债余额为7.07万亿元。其中,4-7年期的占比27%,居各期限品种规模之首;其次是7-10年期的占比26%;10年期以上的占比22%(图2)。总的来说,我国记账式国债剩余期限在4-7年期的存量规模相对较大。
图 2、记账式国债剩余期限结构
图 2、记账式国债剩余期限结构
数据来源:债券信息网
7、我国国债市场的组织结构是怎样的?
国债市场一般由一级发行市场、二级交易市场和相应的风险管理市场组成。其中,二级交易市场根据交易场所不同又可分为场外市场和场内市场。
当前,我国国债场内市场包括上海证券交易所和深圳证券交易所,场外市场主要是指银行间债券市场,风险管理市场主要是指利率衍生品市场。
8、我国国债发行采取什么方式?
在我国债券市场,债券可以通过以下三种方式发行:债券招标发行、簿记建档发行、商业银行柜台发行。
目前,央行票据、政策性金融债绝大多数通过招标发行;部分信用债券通过簿记建档方式发行;记账式国债大多数通过招标发行,储蓄式国债通过商业银行柜台发行。
9、我国记账式国债发行的参与主体有哪些?
记账式国债采用面向国债承销团成员公开招标的方式发行。承销团成员包括从事国债承销业务的商业银行、证券公司、保险公司和信托投资公司等金融机构。根据财政部在2011年底的公告,2012-2014年记账式国债承销团成员为55家。按机构类型看,主要包括中资银行、证券公司、外资银行、保险公司以及政策性银行等各类机构。
10、我国国债交易的参与主体有哪些?
我国国债市场包括场内和场外市场。场内市场指交易所债券市场(包括上海证券交易所和深圳证券交易所),参与者主要为证券公司、证券投资基金和保险公司等非银行金融机构,以及企业与个人投资者。2009年1月,证监会宣布,已在证券交易所上市的商业银行,经银监会核准后,可以向证券交易所申请从事债券交易。截止2012年底,已有16家商业银行在交易所市场进行债券交易。场外市场以银行间债券市场为主,包括商业银行、保险公司、证券公司、证券投资基金等金融机构及其他非金融机构投资者。同时,场外市场还包括主要供企业和个人投资者参与的商业银行柜台市场。
机构投资者作为理性的市场参与主体,已经成为国债市场的主流。随着我国债券市场的逐步发展,债券市场参与主体的类型逐渐增多,国债的投资者也逐步多元化。以银行间债券市场为例,截至2012年末,市场交易主体从启动之初的16家商业银行,增加到包括各类金融机构和其他机构投资者在内的上万家。其中,商业银行持有国债最多,占比69.44%;特殊结算成员持有国债占比22.64%;保险机构持有国债占比4.49%;各类基金持有国债占比1.52%;证券公司持有国债占比0.04%。
11、我国国债交易市场的交易机制是怎样的?
银行间债券市场采用了报价驱动的交易方式。所谓报价驱动机制是指交易者以自主报价、一对一谈判的方式进行交易。具体来看,报价驱动机制可以分为询价交易制度和做市商制度。机构投资者之间的大宗交易多采用询价交易,而中小机构投资者多采用做市商制度进行交易。
交易所债券市场采用“竞价交易、撮合成交”方式进行交易,也可通过交易所的固定收益平台进行交易。
12、国债价格和市场利率的关系如何?
作为利率类金融产品,国债的价格与市场利率呈反向变动关系:当市场利率上升时,国债的价格下跌;当市场利率下跌时,国债的价格则会上升。
市场利率与国债价格的这种关系,使得人们在持有金融资产的安排上可以在货币与国债之间自由选择,灵活配置。如果预期利率将下跌,则人们可能倾向于少存货币、多买国债,以便将来国债价格上涨时卖出获利;反之,如果预期利率上升,人们则倾向于多存货币而少持国债,即把手里的国债转换为货币,以避免将来在国债价格下跌时遭受损失。
国债期货基础知识
目录
1、什么是国债期货?
2、国债期货有哪些特点?
3、国债期货有哪些基本功能?
4、国债期货市场的产生和发展历程是怎样的?
5、世界上主要的国债期货有哪些?
6、当前全球国债期货市场的总体情况如何?
7、我国为什么要推出国债期货?. 7
8、我国金融机构是否有参与国债期货的需求?
9、利率市场化程度与开展国债期货的关系怎样?
10、我国商品期货和股指期货市场的发展对国债期货的推出起到哪些积极作用?
11、国债期货合约标的与可交割券有什么区别?
12、转换因子的定义及计算是怎样的?
13、国债期货交割货款的定义及公式是什么?
14、什么是最便宜可交割债券?
15、如何计算隐含回购利率?
16、如何利用久期寻找最便宜可交割债券?
17、国债期货理论价格是怎样计算的?
18、影响国债期货价格的因素有哪些?
1、什么是国债期货?
国债期货作为利率期货的一个主要品种,是指买卖双方通过有组织的交易场所,约定在未来特定时间,按预先确定的价格和数量进行券款交收的国债交易方式。
在国际市场上,国债期货是历史悠久、运作成熟的基础类金融衍生产品之一。从成熟国家国债期货市场的运行经验来看,国债期货在推进利率市场化改革、活跃债券现货市场交易、促进国债发行、完善基准利率体系等方面发挥着一定作用。
2、国债期货有哪些特点?
国债期货具有可以主动规避利率风险、交易成本低、流动性高和信用风险低等特点:
第一,可以主动规避利率风险。由于国债期货交易引入了做空机制,交易者可以利用国债期货主动规避利率风险。运用国债期货可以在不大幅变动资产负债结构的前提下,快速完成对利率风险头寸的调整,从而降低操作成本,有效控制利率风险。
第二,交易成本低。国债期货采用保证金交易,这可以有效降低交易者的套期保值成本。同时,国债期货采用集中撮合竞价方式,交易透明度高,降低了寻找交易对手的信息成本。
第三,流动性高。国债期货交易采用标准化合约形式,并在交易所集中撮合交易,因此流动性较高。
第四,信用风险低。国债期货交易中,买卖双方均需交纳保证金,并且为了防止违约事件的发生,交易所实行当日无负债结算制度,这有效地降低了交易中的信用风险。
3、国债期货有哪些基本功能?
作为基础的利率衍生产品,国债期货具有如下功能:
第一,规避利率风险功能。由于国债期货价格与其标的物的价格变动趋势基本一致,通过国债期货套期保值交易可以避免因利率波动造成的资产损失。
第二,价格发现功能。国债期货价格发现功能主要表现在增加价格信息含量,为收益率曲线的构造、宏观调控提供预期信号。
第三,促进国债发行功能。国债期货为国债发行市场的承销商提供规避风险工具,促进承销商积极参与国债一级和二级市场。
第四,优化资产配置功能。通过交易的杠杆效应,国债期货具有较低的交易成本,能够方便投资者调整组合久期、进行资产合理分配、提高投资收益率、方便现金流管理。
4、国债期货市场的产生和发展历程是怎样的?
国债期货最初是发达国家规避利率风险、维持金融体系稳定的产物。20世纪70年代,受布雷顿森林体系解体以及石油危机爆发的影响,西方主要发达国家的经济陷入了滞涨,为了推动经济发展,各国政府纷纷推行利率自由化政策,导致利率波动日益频繁而且幅度剧烈。频繁而剧烈的利率波动使得金融市场中的借贷双方特别是持有国债的投资者面临着越来越高的利率风险,市场避险需求日趋强烈,迫切需要一种便利有效的利率风险管理工具。在这种背景下,国债期货等利率期货首先在美国应运而生。
1976年1月,美国芝加哥商业交易所(CME)推出了90天期的国库券期货合约,这标志着国债期货的正式诞生。随着美国经济的不断发展,尤其是到80年代以后,美国的利率变动幅度加大,这使得国债期货交易更加活跃,越来越多的机构投资者开始利用国债期货市场来规避风险。因此,国债期货的成交量逐渐攀升。
5、世界上主要的国债期货有哪些?
在美国成功推出国债期货后,为了满足投资者管理利率风险的需求,其他国家与地区也纷纷推出各种国债期货品种,全球国债期货交易得到快速发展。截止2012年末,全球共23个国家和地区的23个期货交易所已推出国债期货产品。根据相关产品成交量由高到低的顺序,表1列出了全球前十位主要国债期货交易所及其挂牌交易的国债期货合约。
表1、世界主要国债期货产品上市交易所
| 序号 | 交易所 | 交易所所在地区 | 合约* |
| 1 | 芝加哥商业交易所集团 | 美国 | 美国10年期国债期货 |
| 美国5年期国债期货 | |||
| 美国30年期国债期货 | |||
| 美国2年期国债期货 | |||
| 美国超长期国债期货 | |||
| 美国3年期国债期货 | |||
| 2 | 欧洲期货交易所 | 德国 | 长期德国国债 |
| 短期德国国债期货 | |||
| 中期德国国债期货 | |||
| 意大利长期国债期货(10年) | |||
| 超长期德国国债期货合约 | |||
| 意大利短期国债期货(2年) | |||
| 瑞士政府债券期货 | |||
| 意大利中期国债期货(3年) | |||
| 法国国债期货合约(10年) | |||
| 3 | 澳大利亚证券交易所 | 澳大利亚 | 澳大利亚3年期国债期货 |
| 澳大利亚10年期国债期货 | |||
| 4 | 泛欧交易所集团暨伦敦国际金融期货交易所 | 英国 | 英国长期金边债券期货 |
| 美国10年期国债期货 | |||
| 美国5年期国债期货 | |||
| 美国2年期国债期货 | |||
| 英国短期金边债券期货 | |||
| 美国长期国债期货 | |||
| 日本国债期货 | |||
| 英国中期金边债券期货 | |||
| 美国超长期国债期货 | |||
| 5 | 韩国交易所 | 韩国 | 韩国3年期国债期货 |
| 韩国10年期国债期货 | |||
| 韩国5年期国债期货 | |||
| 6 | 加拿大蒙特利尔交易所 | 加拿大 | 加拿大10年期国债期货 |
| 加拿大5年期国债期货 | |||
| 加拿大2年期国债期货 | |||
| 加拿大30年期债券期货 | |||
| 7 | 莫斯科交易所 | 俄罗斯 | 俄罗斯4年期联邦债券期货 |
| 俄罗斯2年期联邦债券期货 | |||
| 俄罗斯6年期联邦债券期货 | |||
| 8 | 东京证券交易所 | 日本 | 日本10年期国债期货 |
| 日本迷你10年期国债期货 | |||
| 日本5年期国债期货 | |||
| 9 | 墨西哥衍生品交易所 | 墨西哥 | 墨西哥10年期国债期货 |
| 墨西哥20年期国债期货 | |||
| 墨西哥30年期国债期货 | |||
| 墨西哥3年期国债期货 | |||
| 墨西哥5年期国债期货 | |||
| 10 | 纳斯达克-OMX交易所 | 瑞典 | 瑞典2年期国债期货 |
| 瑞典5年期国债期货 | |||
| 瑞典10年期国债期货 |
资料来源:各交易所网站
6、当前全球国债期货市场的总体情况如何?
20世纪90年代以来,随着债券市场规模的不断扩大和利率波动的加剧,世界各国的国债期货发展迅猛,并呈现出一些新的发展趋势:
第一,交易量逐年上升。自1976年第一只国债期货产品问世以来,利率期货的成交量特别是国债期货交易量呈逐年攀升的趋势。根据国际清算银行(BIS)和美国期货业协会(FIA)的统计,2012年全球利率期货交易约占全球各类金融期货交易金额的90%,其中国债期货交易量占利率期货的比例已超过45%。
第二,品种结构日益完善。目前,全球国债期货品种已经覆盖了短、中、长以及超长期不同期限的产品,可以满足各类交易者规避不同期限的利率风险需求,形成了较为完善的产品体系。
第三,市场竞争激烈。在激烈的市场竞争中,不少国家和地区的交易所争相上市其他国家和地区的利率期货合约,以增大其市场份额。
第四,市场呈现欧美领先、亚太居次的格局。目前,世界上的国债期货市场以美国国债期货和欧元债券期货交易为主。亚太地区以澳大利亚和韩国为代表,国债期货市场也取得了长足发展。
7、我国为什么要推出国债期货?
国债作为投资和资产配置的工具,以及货币政策传导的载体,其在我国经济发展中的地位日益提高。截至2012年末,我国国债规模已突破7万亿元。当前世界主要经济体及发债国都建立了与之相匹配的国债期货市场,但我国还是空白。国债期货作为国际上成熟、简单和广泛使用的利率衍生产品,是推进我国债券市场改革发展的重要配套措施。《金融业发展和改革“十二五”规划》明确提出要“适时推出国债期货”,十八大也明确指出要“深化金融体制改革,加快发展多层次资本市场,推进金融创新,维护金融稳定”。具体来看,推出国债期货的作用主要有五个方面:
第一,有助于促进国债顺利发行,完善国债管理体制,落实财政政策与宏观调控目标。2013年两会政府工作报告提出要适当增加财政赤字和国债规模,2013年拟安排财政赤字1.2万亿元,比去年预算增加4,000亿元,因此国债的顺利发行就至关重要。而国债期货可以为国债发行定价提供重要参考,并增强承销商的积极性,进而提高国债发行效率,降低国债发行成本,保证国债顺利发行,从而更好地支持实体经济发展及改善民生。
第二,有助于完善债券市场体系,构建起国债一级市场发行、二级市场交易以及与之相配套的、专业的利率风险管理市场,推动债券市场长远发展。国债期货市场的建立,将满足市场对利率风险管理的迫切需求,构建起完整的债券市场体系,使债券的发行、交易和风险管理环节形成良性互动,增强投资者持有债券的信心,提高市场流动性。这对于完善我国债券市场结构、健全债券市场功能、扩大直接融资比例、促进债券市场长远发展具有深远意义。
第三,国债期货具有套期保值功能,能够为债券市场乃至整个经济体提供高效率、低成本的利率风险管理工具,增强实体经济抵御利率风险的能力。目前,我国国债余额高达7万亿元,利率每上升1个百分点,国债市值将损失约3,000亿元,市场避险需求十分迫切。而国债期货就是全球使用最广泛、效果最显著的利率风险管理工具,能够满足各类持债机构的避险需求,有效提高市场管理利率风险的能力和水平。
第四,国债期货具有价格发现功能,有助于提高国债定价效率,推动建立完善的基准利率体系,推进利率市场化进程。国债期货产品标准、报价连续、集中交易、公开透明,能够准确反映市场预期,形成全国性、市场化的利率参考定价,有助于构建起一条市场公认、期限完整的基准收益率曲线,并助推利率市场化进程。
第五,国债期货作为标准化、基础性的利率衍生产品,有助于完善金融机构创新机制,促进金融产品创新,增强金融机构服务实体经济的能力。国债期货上市后,可以为金融机构在期现货市场提供多种交易方式,丰富其投资策略;国债期货可以增加基于债券市场组合的投资产品,使金融机构的资产管理有更大的创新空间;同时,金融机构在进行业务创新、产品创新时,可以通过期货市场管理利率风险,增强创新动力。
8、我国金融机构是否有参与国债期货的需求?
我国债券市场的快速发展与利率市场化进程的加快,使我国债券市场面临着一定的利率风险,金融机构作为债券市场的主要参与者,迫切需要国债期货等衍生产品。
(1)商业银行
作为国债的主要持有者,商业银行的利率风险与国债的发行和交易相关。一方面,我国商业银行作为最主要的国债承销商,在承销过程中面临着利率上升所带来的市场风险;另一方面,商业银行承担着因大量持有国债而带来的利率风险。以银行间市场为例,截至2012年末我国商业银行持有国债约4.78万亿,占银行间市场国债存量的69.44%,是我国国债市场的最主要持有者,希望能够利用国债期货等债券衍生品来规避利率风险。
(2)非银行金融机构
非银行金融机构主要在资本市场上开展业务。为了赚取预期的收益或管理投资组合风险,其参与债券市场的程度日益加大。
①保险公司:利率风险是保险公司特别是寿险公司资产管理中出现的首要风险。由于保单偿付期较长、现金流量比较稳定,因此寿险公司的资金主要用于投资银行存款和购买中长期限固定利率债券,而这类资产价值对利率变化高度敏感。
②证券投资机构:截至2012年末,我国证券公司和证券投资基金持有国债约1073亿元,是位于商业银行和保险机构之后的第三大国债投资机构。在各类金融机构中,证券公司是最活跃的交易者,其交易意愿十分强烈,在银行间市场月均买卖总额达1,406.29亿元[5],占比10.38%,年度换手率高达628.40。基金类投资者交易也较活跃,月均买卖总额为165.90亿元,占比1.22%,年度换手率为2.6。因此,证券投资机构对债券价格的波动较为敏感,需要利率衍生品来锁定成本。
(3)非金融机构和境外投资者
非金融机构在经营过程中一般都会通过从银行贷款或发行各种类型信用债券来融资,由于其信用债券的收益率与该企业的信用等级和同期限国债收益率密切相关,因此也同样面临着利率风险的规避问题。随着我国金融市场对外开放的程度日益加强,合格境外机构投资者(QFII)投资国内债券市场的兴趣也日益浓厚,也有较强的避险需求。
9、利率市场化程度与开展国债期货的关系怎样?
相关研究表明,国债期货不仅在利率完全市场化之后可以推出,而且在利率市场化进程中也可以推出国债期货。国债期货的运行可以完善债券市场的收益率曲线,促进基准利率的形成,进一步推进利率市场化进程。
第一,国际经验表明开展国债期货并不必然需要利率完全市场化。美国是世界上首个推出国债期货的国家,它于1976年推出90天期国库券期货交易,1年后推出长期国债期货交易,但是直到1986年,美国才实现了利率的完全市场化。日本于1985年推出国债期货,但直到1994年才实现了利率的完全市场化。因此,从国际经验来看,国债期货完全可以在利率市场化进程中推出。
第二,我国利率市场化程度已经具备推出国债期货基础。在1988年,随着财政部在全国部分城市进行国债流通转让试点,我国逐渐放开了债券二级市场的交易利率,实现了我国国债二级市场的利率市场化。此后,银行间债券市场在1999年9月进行国债市场化招标发行,我国国债一级市场利率也实现了市场化。目前,我国国债一、二级市场已经实现了利率市场化,国债二级市场已经形成了较为完善的收益率曲线,这些都为我国重推国债期货交易打下了良好的基础。
此外,在利率市场化进程中开展国债期货交易,不仅可以为投资者提供规避利率风险的有效工具,也将有助于我国利率市场化进程的顺利进行。
10、我国商品期货和股指期货市场的发展对国债期货的推出起到哪些积极作用?
经过20年探索发展,我国商品期货市场逐步进入了稳定健康发展、经济功能日益显现的良性轨道,在服务国民经济和实体经济过程中发挥了日益重要的作用,为国债期货的推出提供了坚实的市场基础和制度保障。同时,随着股指期货的平稳上市和安全运行,也为管理国债期货积累了宝贵的经验。
一是商品期货市场持续稳定健康发展,构建了期货市场法规制度框架和风险防范及化解机制。我国商品期货市场成交量迅速增长、交易规模日益扩大,已经成为全球最大的商品期货市场。同时,产品创新速度明显加快,形成了较为完备的商品期货品种体系。截至2012年末,已上市26个商品期货品种,覆盖农产品、金属、能源和化工等诸多产业领域。我国商品期货市场所构建的期货市场法规制度框架和风险防范及化解机制,成功抵御了国际金融危机的重大冲击,建立了期货保证金安全存管制度和以净资本为核心的期货公司监管体系,实施了期货公司分类监管、开户实名制、统一开户等多项制度。与此同时,期货公司资本实力、抗风险能力以及合规经营水平均得到提高。因此,我国商品期货市场平稳快速发展,为国债期货的推出提供了坚实的市场基础和制度保障。
二是股指期货的平稳上市和安全运行为国债期货的推出积累了经验,具有重要的借鉴意义。2010年4月16日股指期货成功上市,运行一直十分平稳。为筹备股指期货,市场各方开展了大量富有成效的工作:修订《期货交易管理条例》及一系列配套制度,将规范的内容由商品期货扩展到金融期货和期权交易,为重推国债期货提供了较充足的法律依据;建立适应金融期货业务发展需要的跨市场监管协作机制,有效地联系了期现货市场,在信息交换、风险预警、共同风险控制、联合调查等方面进行了良好的合作,对市场风险进行有效监控控制;构建了期货市场内的“五位一体”监管协调机制、投资者适当性制度及IB制度等制度安排;开展了仿真交易和大范围的投资者教育。
股指期货上市后,中国金融期货交易所有针对性地采取措施抑制日内过度频繁交易,大力推动证券公司、基金公司等机构投资者入市,建立并完善符合股指期货交易特点的套期保值和套利管理制度。经过市场各方的共同努力,股指期货市场实现健康、平稳、规范的良好局面:开户平稳有序增长;交易活跃,流动性好;期现价格关联性好;持仓稳定增长;会员分级结算平稳,风险控制较好;交割平稳顺利;市场监管严格规范;机构投资者有序参与,市场功能逐步发挥。股指期货的成功经验,为包括国债期货在内的其他金融衍生产品的推出提供了良好的借鉴与参考。
11、国债期货合约标的与可交割券有什么区别?
国债期货合约设计中采用了国际上通用的名义标准券概念。所谓“名义标准券”(Hypothetical Standardized Bond)是指票面利率标准化、具有固定期限的假想券。名义标准券设计的最大功能在于,可以扩大可交割国债的范围,增强价格的抗操纵性,减小交割时的逼仓风险。
实物交割模式下,如果期货合约的卖方没有在合约到期前平仓,理论上需要用“名义标准券”去履约。但现实中“名义标准券”并不存在,因而交易所会规定,现实中存在的、满足一定期限要求的一篮子国债均可进行交割。中金所选择中期国债作为国债期货合约的标的,剩余期限在4-7年的国债都可以用于交割,截至2012年末该期限的国债存量合计约1.9万亿元,在各期限中存量最大、抗操纵性最好,是市场上的主要交易品种,被机构投资者广泛用作资产配置和风险管理。
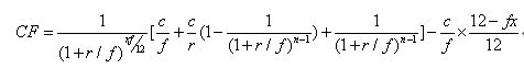
12、转换因子的定义及计算是怎样的?
可交割债券和名义标准券之间的价格通过一个转换比例进行换算,这个比例就是通常所说的转换因子。转换因子的计算是面值1元的可交割国债在其剩余期限内的所有现金流量按国债期货合约票面利率折现的现值,这是国债期货合约中最重要的参数之一。国债期货转换因子的具体计算公式如下:
其中:
r表示国债期货标的票面利率,目前定为3%;
x表示交割月距离下一个付息月的月份数(当交割月是付息月时,x=6或12);
n表示剩余付息次数;
c表示可交割券的票面利率;
f表示可交割券每年的付息次数。
国际期货市场中,一般都由期货交易所定时公布国债期货可交割国债的转换因子,投资者只需查询交易所公告即能得到每一个可交割国债的转换因子。
13、国债期货交割货款的定义及公式是什么?
国债期货合约交割时,卖方要向买方支付可交割债券,买方也要向卖方支付一定的金额,此金额即为交割货款。由于卖方选择用于交割的券种和交割时间不同,买方向其支付的金额也有差别。
交割货款=交割数量×(交割结算价×转换因子+应计利息)×(合约面值/100元)
14、什么是最便宜可交割债券?
在一篮子可交割债券制度下,剩余年限在一定范围内的国债都可以参与交割。由于收益率和剩余期限不同,可交割国债的价格也有差异。即使使用了转换因子进行折算,各种可交割国债之间仍然存在细微差别。一般情况下,由于卖方拥有交割券选择权,合约的卖方都会选择对他最有利,通常也是交割成本最低的债券进行交割,对应的债券就是最便宜可交割国债。理论上,一般可以通过比较不同券种的隐含回购利率寻找最便宜可交割债券。
15、如何计算隐含回购利率?
隐含回购利率是指购买国债现货,卖空对应的期货,然后把国债现货用于期货交割,这样获得的理论收益就是隐含回购利率。具体公式为(假定组合中的国债到交割期间没有利息支付):
一般来说,隐含回购利率最高的券就是最便宜可交割债券。
16、如何利用久期寻找最便宜可交割债券?
根据海外实践经验,在一定前提条件下通过比较久期和收益率可大致寻找最便宜可交割债券:
(1)久期:对收益率在国债期货合约票面利率[6]以下的国债而言,久期最小的国债最可能是最便宜可交割债券。对于收益率在国债期货合约票面利率以上的国债而言,久期最大的国债最可能是最便宜可交割债券。
(2)收益率:对具有同样久期的国债而言,收益率最高的国债最可能是最便宜可交割债券。
17、国债期货理论价格是怎样计算的?
假定最便宜可交割国债和交割日期已知,国债期货每日的理论价格计算可以分为四步[7]:
第一,根据当日最便宜可交割国债现货的净价,加上当日该券的应计利息,算出当日该交割国债全价。
第二,运用期货持有成本定价公式,算出最便宜可交割国债的期货价格:
其中,S为最便宜券的全价,r为无风险利率,T-t为从当前至交割日的年化时间。
第三,将最便宜可交割券的期货价格减去交割日该券的应计利息,得到最便宜可交割券期货的理论报价。
第四,将最便宜可交割券期货的理论报价除以转换因子,得到合约对应名义券的期货理论报价。
18、影响国债期货价格的因素有哪些?
影响国债期货价格的主要因素是国债现货价格,而国债现货价格主要受市场利率影响,而影响市场利率的主要因素有:
(1)货币供给量
货币供给量由狭义货币M1(流通现金M0+支票存款)和广义货币M2(M1+储蓄存款)组成,金融市场发达国家还会计算更广义的M3(M2+其他短期流动资产)。
(2)宏观经济政策
主要包括货币政策和财政政策,除了本国的宏观经济政策外,全球主要经济体、本国主要对外贸易伙伴、主要投资输入输出地的宏观经济政策都对利率有着重要影响。
(3)汇率
某国汇率币值上升,在其他因素不变的情况下,该国利率会相对下降。这是因为更多的外资会流入该国市场,降低资金成本,即降低无风险利率,反之亦然。
[1] 此处的GDP为2013年初国家统计局对2012年全年初步核算值。
[2] 德国期货交易所后与瑞士期货期权交易所合并为欧洲期货交易所。
[3] 悉尼期货交易所后被澳大利亚证券交易所收购。
[4] 韩国期货交易所后与韩国证券交易所、韩国创业板市场合并为韩国交易所。
[5] 证券公司和证券投资基金交易数据均根据银行间市场2011年1月至2012年11月数据统计。
[6]目前5年期国债期货合约票面利率为3%。
[7] 这里忽略交割期权的价值。
国债期货交易的误区
目录
1、 误认为国债期货交易时间与现货市场一致
2、 误认为国债期货的当日结算价就是收盘价
3、 误认为国债期货当日结算就是当日平仓
4、 误认为国债期货的最后交易日在月末
5、 误认为国债期货类似于股指期货采用现金交割
6、 误认为5年期国债期货合约只能以5年期、3%票面利率的中期国债进行交割
7、 误认为国债期货的交割结算价和交割货款相同
8、误认为投资者可以全权委托期货公司进行国债期货易
9、 误认为市价指令总能以最快时间和最优价格成交
10、误认为国债期货保证金低,更加适合散户参与
11、误认为国债期货满仓操作就能挣大钱,忽略了满仓操作的风险
12、误认为国债期货开仓后无需每日盯盘
1、误认为国债期货交易时间与现货市场一致
我国国债期货与现货市场的交易时间并非完全一致。国债期货的交易时间为:交易日的9:15-11:30(第一节)和13:00-15:15(第二节),最后交易日的9:15-11:30。然而一般来说,我国交易所债券市场的交易时间为9:30-11:30,13:00-15:00;银行间债券市场交易时间为9:00-12:00,13:30-16:30。
因此,国债期货市场与现货市场的交易时间并非完全吻合,投资者需要注意。
2、误认为国债期货的当日结算价就是收盘价
国债期货的当日结算价是指合约最后一小时成交价格按照成交量加权的平均价,计算结果保留至小数点后三位。
如果合约最后一小时无成交的,以前一小时成交价格按照成交量加权的平均价作为当日结算价。若该时段仍无成交的,则再往前推一小时,以此类推。合约当日最后一笔成交距开盘时间不足一小时的,则取全天成交量的加权平均价作为当日结算价。
国债期货的收盘价是指合约当日的最后一笔成交价格。
3、误认为国债期货当日结算就是当日平仓
投资者参与国债期货交易,要注意当日结算与当日平仓的区别,不要误认为自己的持仓会因当日结算而发生变化。
根据《中国金融期货交易所交易规则》规定,国债期货实行当日无负债结算制度。当日交易结束后,根据当日结算价进行合约盈亏、交易保证金及手续费、税金等费用的计算,对应收和应付的款项实行净额一次划转,相应增加或减少投资者保证金账户的资金。当日结算只涉及资金在盈余账户和亏损账户之间的划转,并不影响投资者持有的合约头寸。不过需要注意的是,如果当日结算后投资者的保证金不足,且在规定时间内没有补足,那么下一个交易日投资者的持仓可能被部分或者全部强行平掉。
因此,投资者应当注意当日结算与当日平仓不是同一个概念,并需时刻关注自己的持仓盈利变化及保证金情况。
4、误认为国债期货的最后交易日在月末
一提到国债期货合约的最后交易日,投资者往往联想到最后交易日在月末,其实不然。从国际市场上看,国债期货的最后交易日一般根据各国期货交易所的惯例而定。欧洲期货交易所将其国债期货的最后交易日定在交割月份的中上旬。美国芝加哥商业交易所、澳大利亚证券交易所、东京证券交易所等则将国债期货的最后交易日定在交割月份的下旬。
从我国国情上看,由于我国资金市场在季末容易出现异常波动。为了避开每季度下旬这一时期,保证国债期货交割的安全和顺畅,国债期货的最后交易日定于合约到期月份的第二个星期五。
5、误认为国债期货类似于股指期货采用现金交割
国债期货采用实物交割的方式进行交割,当合约到期进行实物交割时,可用于交割的债券包括一系列符合条件的国债品种,其票面利率、到期时间等各不相同。可交割国债和名义标准券之间的价格通过一个转换比例进行换算,这个比例就是通常所说的转换因子,类似于商品期货交割时的升贴水概念。
因此,国债期货的交割方式与股指期货并不相同,股指期货采用现金交割,而国债期货采用实物交割。
6、误认为5年期国债期货合约只能以5年期、3%票面利率的中期国债进行交割
实际上,5年期国债期货是建立在一篮子可交割国债的基础上的,而且这些国债的票面利率、剩余期限等特征各不相同。根据相关规定,在交割月首日剩余期限为4至7年,且满足其他交割条件的记账式附息国债均可以用于交割。
7、误认为国债期货的交割结算价和交割货款相同
国债期货采用滚动交割方式,自交割月首日至最后交易日前一个交易日的交割结算价为当日结算价,最后交易日的交割结算价为该合约最后交易日全部成交价格按照成交量加权的平均价。交易所有权根据市场情况对国债期货的交割结算价进行调整。
交割货款是以交割结算价为基础,按照不同可交割国债的转换因子和应计利息调整计算后得出。交易所只对结算会员进行结算,买方客户的款项须通过买方结算会员转付,卖方客户的款项须通过卖方结算会员转收。
交割货款的计算公式:交割货款(百元面额)=交割结算价×用于交割国债的转换因子+用于交割国债的应计利息。
因此,国债期货的交割结算价并不等于交割货款,投资者不应将两者混淆。
8、误认为投资者可以全权委托期货公司进行国债期货交易
一些投资者误认为可以全权委托期货公司及其工作人员决定其交易指令的全部内容,为其进行国债期货交易。
实际情况并非如此,按照规定,期货公司不得接受客户的全权委托,投资者也不得要求期货公司以全权委托的方式进行期货交易。换句话说,投资者在下达交易指令时,需明确说明买卖合约的种类、数量及交易方向等内容。
因此,投资者不得全权委托期货公司进行国债期货交易。
9、误认为市价指令总能以最快时间和最优价格成交
有些投资者误认为以市价指令下单,就能够以最快的速度和最满意的价格成交。
其实不然,市价指令是指不限定价格的、按照当时市场上可执行的最优报价成交的指令。市价指令的未成交部分自动撤销。市价指令只能和限价指令撮合成交,成交价格等于即时最优限价指令的限定价格。
因此,投资者需注意市价指令是以第一时间成交为目的,成交价格仅以当时市场上可执行的最优报价,并不意味着都能以最快速度和最优价格成交。
10、误认为国债期货保证金低,更加适合散户参与
国债期货计划采用的最低交易保证金比例是2%,如果按100万人民币的合约标的计算,买卖一张合约大约需要2万元人民币的初始资金投入。表面上看,与股指期货相比,国债期货交易的门槛并不高,不过投资者需要满足适当性制度的要求。通俗地说,投资者要想参与国债期货交易,不仅要有50万元开户门槛,还必须通过相关的资格测试,也就是需要具备一定的专业知识。此外,由于国债期货价格波动远小于股指期货,国债期货的主要功能在于提供一种风险管理工具,因此对于通常进行趋势投资的散户来说,国债期货并不特别合适。
从另外一个角度看,参与债券交易的投资者群体一般以专业的机构投资者为主。我国推出国债期货主要是为了完善我国的金融市场体系,健全金融产品系列,提高我国金融体系的整体抗风险能力。2012年末国债余额超过7万亿,其中商业银行持有国债4.7万亿,其余部分也主要是以保险、证券、基金、信托等机构持有为主。因此,国债期货的推出,一方面可以完善我国的利率市场化机制,另一方面也是在我国利率市场化过程中,方便机构投资者借助国债期货进行套期保值,以规避国债价格波动的风险,达到健全我国金融市场体制的目的。
因此,投资者需特别注意,国债期货相对较低的交易保证金比例,并不意味着更适合散户参与。
11、误认为国债期货满仓操作就能挣大钱,忽略了满仓操作的风险
由于国债期货采用保证金交易,具有杠杆效应,因此有些投资者难免会认为满仓操作可以挣大钱。
其实殊不知,当投资者以满仓进行国债期货交易时,若行情朝相反的方向发展,可导致投资者的可用资金出现负数。国债期货杠杆交易的特性会使得投资者的亏损放大,从而可能造成保证金不足,被要求追加保证金或者强行平仓。另外,由于国债期货实行当日无负债的结算制度,如果当日结算后,投资者可用资金是负数,且未能在规定时间内补足,那么在下一交易日将会被部分强行平仓或者全部强行平仓,可能导致投资者无法继续开新仓交易。
因此,国债期货交易必须坚持风险控制为先,不宜盲目乐观,做到合理控制仓位,尽量避免满仓操作。
12、误认为国债期货开仓后无需每日盯盘
在股票市场上,投资者在购买股票后,一般情况下不需要时刻盯着盘面,甚至可以长期持有。但是,投资者在参与国债期货交易时,需要有足够时间盯盘。
由于国债期货采取保证金交易制度,保证金比例较低,既放大了盈利也放大了亏损,一旦行情不利,投资者面临的风险相当大。另外,国债期货采用当日无负债结算制度,当日计算盈亏。如果行情出现不利变化,当日结算后,投资者可能需要追加保证金。若不在规定时限内补足保证金,投资者将会面临被强行平仓的风险。
因此,投资者参与国债期货交易时,可能会需要有大量的时间观察市场走势,并及时关注自己的仓位和资金的变化。
国债期货交易策略入门
目录
1、国债期货套期保值的基本原理是什么?
2、如何利用国债期货进行多头套期保值?
3、如何利用国债期货进行空头套期保值?
4、什么是债券的修正久期、基点价值?
5、国债期货套期保值比率如何计算?
6、如何计算国债期货合约的久期及基点价值?
7、如何利用国债期货对国债现货组合套期保值?
8、国债期货套利的基本原理是什么?
9、如何利用国债期货进行跨期套利交易?
10、如何利用国债期货进行跨品种套利交易?
11、如何利用国债期货做基差交易?
12、如何利用国债期货进行收益率曲线套利?
1、国债期货套期保值的基本原理是什么?
在国债期货套期保值操作中,投资者会根据现货头寸反向建立期货头寸,其目的是使得期货和现货的组合头寸风险尽量呈现中性。如此操作的原因主要在于:一是期货和标的现货价格之间会存在较强的相关关系;二是随着期货合约到期日的临近,现货市场与期货市场价格趋向一致。
2、如何利用国债期货进行多头套期保值?
多头套期保值,又称买入套期保值,是指准备将来某一时期投资于国债的投资者担心因价格上涨而使购买国债的成本增加,而先在国债期货市场上买入一笔期货合约,以便对冲未来价格的不确定性。
例如,某机构投资者4月份预计在6月份将购买800万元面值的某5年期A国债,假设该债券是最便宜可交割债券,相对于5年期国债期货合约,该国债的转换因子为1.25,当时A国债价格为每百元面值118.50元,为防止到6月份国债价格上涨,锁住成本,该投资者在国债期货市场上进行买入套期保值,具体操作策略参见表1。
表1、多头套期保值示例
| 国债现货市场 | 国债期货市场 | |
| 当前 | 4月6日,5年期的A国债每百元价格118.50元 | 4月6日,以每百元94.55元的价格购入10份6月份交割的5年期国债期货合约,每份合约面值100万元,共计1000(800×1.25)万元 |
| 价格上涨 | 6月6日,国债现货市场价上涨至119.70元,买入面值800万元的A国债 | 6月6日,以95.55元价格平仓10份面值100万元5年期国债期货合约 |
| 上涨时购入成本 | 国债现货购入成本 - 国债期货盈利
=80000×119.70-10×10000×(95.55-94.55)=9476000元 (原购入成本80000×118.50=9480000元,按市价购入成本为80000×119.70=9576000元) |
|
| 价格下跌 | 6月6日,国债现货市场价下跌至117.30元,买入面值800万元的A国债 | 6月6日,以93.55元价格平仓10份面值100万元的5年期国债期货合约 |
| 下跌时购入成本 | 国债现货购入成本 + 国债期货亏损
=80000×117.30+10×10000×(94.55-93.55) =9484000元 (按市价购入成本为80000×117.30=9384000元) |
|
为了方便计算,在上例中假设套期保值比率等于转换因子,要对冲800万面值的现券则须用1000万的期货合约对冲。6月6日,无论利率上行或是下行,投资者实际购入成本与4月6日118.50×80000=9480000元接近,而与当前国债现货的购入成本无关。也就是说,投资者利用国债期货价格的变动锁定现货价格的变动,实现了套期保值。
3、如何利用国债期货进行空头套期保值?
空头套期保值,又称为卖出套期保值,是指投资者准备将来某个时期卖出国债以变现,担心到时候价格下跌而受损失,于是先卖出一笔期货合约,届时再买入等额期货合约,以便对冲价格的不确定性。
例如:某机构投资者4月份拥有800万元面值的某5年期B国债,假设该国债是最便宜可交割债券,并假设转换因子为1.125。当时每百元价格为107.50元,该公司预计6月份要用款,需将其卖出,为防止国债价格下跌,该投资者在市场上的操作如表2所示。可以看到,空头套期保值依然是用国债期货价格的变动冲销现货价格的变动,以达到套期保值的目的。
表2、空头套期保值示例
| 国债现货市场 | 国债期货市场 | |
| 当前 | 4月6日,拥有800万元5年期的B国债,当时每百元价格107.50元 | 4月6日,以94.55元的价格售出9份6月份交割的5年期的国债期货合约,合约总面值900万元(800×1.125) |
| 价格下跌 | 6月6日,国债现货市场价下跌至106.30元,卖出面值为800万的5年期B国债 | 6月6日,5年国债期货价格下跌至93.55元,将4月6日卖出的合约平仓 |
| 下跌时获得资金 | 卖出国债现货收益 + 国债期货盈利
=80000×106.30+9×10000×(94.55-93.55) =8594000元 |
|
| 价格上涨 | 6月6日,国债现货市场价上涨至108.60元,卖出面值为800万元的5年期B国债 | 6月6日,以95.55元的国债期货价格将4月6日的900万面值合约平仓 |
| 上涨时获得资金 | 卖出国债现货收益 - 国债期货亏损
=80000×108.60-9×10000×(95.55-94.55)=8598000元 (按市值变现获得资金量为80000×108.60=8688000) |
|
4、什么是债券的久期、修正久期和基点价值?
久期是一种以现金流量的相对现值为权重的加权平均到期期限。从货币的时间价值角度来看,债券久期计算的是收回债券投资所需要的时间。
修正久期是基于时间价值因素对久期的动态调整,它主要用于估算在收益率微小变化时对应的债券价值变化。
基点价值(DV01)是指当收益率变动1个基点(0.01%)时债券价格的变化量。
5、国债期货套期保值比率如何计算?
对于理想的套期保值需要达到如下的目标:
在一定利率变化下,期货合约数量×每个期货合约价值的变化=国债组合价值的变化。
因此,
6、如何计算国债期货合约的久期及基点价值?
根据国债期货与最便宜可交割国债(CTD)之间的关系,国债期货合约的久期和基点价值计算方法如下:
(1)期货合约的基点价值约等于最便宜可交割国债的基点价值除以其转换因子(CF)。这是由于,到期日时期货价格收敛于最便宜可交割国债的转换价格,在到期日可知:
期货价格=最便宜可交割国债价格/对应的转换因子
7、如何利用国债期货对国债现货组合套期保值?
对现货组合进行套期保值时,应考虑到现货组合的结构:
(1)子弹型国债组合:子弹型组合中各债券的久期接近于组合久期。这时可使用久期接近于组合久期的国债期货合约进行对冲以完成对该组合的套期保值。
(2)哑铃型国债组合:哑铃型组合由长、短两种久期的国债组合而成,而完全没有中间久期的国债。对这类组合进行对冲,要使得所采用国债期货合约的数量,可以确保期货与国债组合的基点价值相近似。
8、国债期货套利的基本原理是什么?
理论上,国债期货与相关国债现货之间、国债期货不同品种或不同月份合约之间都应保持一定的合理价差,当价差偏离合理水平时,买进相对低估的产品,并卖出相对高估的产品,等待这种不合理的价差回归合理水平后,再进行平仓了结,以获取套利利润。
9、如何利用国债期货进行跨期套利交易?
跨期套利交易是国债期货套利交易中最常见的,是指交易者利用标的物相同但到期月份不同的期货合约之间价差的变化,买进近期合约,卖出远期合约(或卖出近期合约,买进远期合约),待价格关系恢复正常时,再分别对冲以获利的交易方式。例如,2011 年11月份,某投资者发现,2012 年3月份到期的5年期国债期货价格为106元,2012年6月份到期的5年期国债期货价格为110元,两者价差为4元,投资者若预测一个月后的3月份到期的5年期国债期货合约涨幅会超过6月份的5年期国债期货合约,或者前者的跌幅小于后者,假设一张期货合约面值100万元,那么他可以进行跨期套利,具体操作策略参见表3。
表3、跨期套利示例
| 2012年3月份到期的5年期
国债期货合约 |
2012年6月份到期的5年期
国债期货合约 |
|
| 当前(11月份) | 2011年11月14日,买进5张2012年3月份到期的5年国债期货合约:价格106元 | 2011年11月14日,卖出5张2012年6月份到期的5年期国债期货合约:价格110元 |
| 12月份(假设价格上涨) | 2011年12月14日,卖出5张3月份到期的5年期国债期货合约:价格109元 | 2011年12月14日,买入5张2012年6月份到期的5年期国债期货合约:价格112元 |
| 获利 | (109-106)×10000×5-(112-110)×10000×5=50000元 | |
| 12月份(假设价格下跌) | 2011年12月14日,卖出5张3月份到期的5年期国债期货合约:价格104元 | 2011年12月14日,买入5张6月份到期的5年期国债期货合约:价格107元 |
| 获利 | (104-106)×10000×5-(107-110)×10000×5=50000元 | |
10、如何利用国债期货进行跨品种套利交易?
一般来说,跨品种套利是在同一交易所、相同到期月份、但合约标的债券不同的国债期货合约之间进行的。这两种品种间的关联度强,价格影响因素大致相同,在正常情况下价差比较稳定。例如2011年11月份某交易者发现2012年3月份到期的10年期国债期货价格为111元,而同样是2012年3月到期的5年期国债期货价格则为106元。他认为此价差高于正常价差,一个月后此价差会回落,于是该交易者在市场上卖出5张10年期国债期货合约,买进5张5年期国债期货合约,具体参见表4(假设每张合约面值100万元):
表4、跨品种套利示例
| 以5年期国债为标的物的合约,2012年3月份到期 | 以10年期国债为标的物的合约,2012年3月份到期 | |
| 当前(11月份) | 11月14日,买入5张5年期国债期货合约:价格106元 | 11月14日,卖出5张10年期国债期货合约:价格111元 |
| 一个月后(12月份) | 12月14日,卖出5张5年期国债期货合约:价格109元 | 12月14日,买入5张10年期国债期货合约:价格113元 |
| 获利 | (109-106)×10000×5-(113-111)×10000×5=50000元 | |
11、如何利用国债期货做基差交易?
国债期货基差是指国债期货和现货之间价格的差异,用式子表示如下:
基差=现券价格-期货价格*转换因子
基差交易者时刻关注期货市场和现货市场间的价差变化,积极寻找低买高卖的套利机会。做多基差,即投资者认为基差会上涨,现券价格的上涨(下跌)幅度会高于(低于)期货价格乘以转换因子的幅度,则买入现券,卖出期货,待基差如期上涨后分别平仓;做空基差,即投资者认为基差会下跌,现券价格的上涨(下跌)幅度会低于(高于)期货价格乘以转换因子的幅度,则卖出现券,买入期货,待基差如期下跌后分别平仓。
12、如何利用国债期货进行收益率曲线套利?
国债期货的价格和最便宜交割券相应期限的收益率是密切相关的。当投资者预期收益率曲线发生平坦化或陡峭化的变化,即不同期限间的利差发生变化时,通过国债期货可以进行基于收益率曲线形态变化的套利交易。例如,当投资者预期收益率曲线将更为陡峭,则可以买入短期国债期货,卖出长期国债期货,实现“买入收益率曲线”;相反,当投资者预期收益率曲线将变得平坦时,则可以卖出短期国债期货,买入长期国债期货,实现“卖出收益率曲线”。
国债期货交易策略概述
国债期货是债券市场投资者用于规避利率风险的一种常用的金融衍生工具。自1976年美国芝加哥商业交易所(CME)推出第一个国债期货合约以来,国债期货产品一直蓬勃发展,如今已成为全世界成交量最大的金融期货产品之一。国际经验表明,国债期货的出现和发展,不但丰富了债券市场的交易方式,提高了债券市场的安全性和流动性,同时对进一步完善一国金融市场体系也有重要的推动作用。与其他期货产品一样,国债期货的交易策略也主要包括套期保值策略、套利策略和投机策略。以下将重点讨论国债期货套保和套利交易策略的原理和操作。
一、套期保值
套期保值是国债期货最基本、最重要的市场功能之一。所谓套期保值是指现货持有者利用期货市场来对冲现货价格波动的风险。
(一)套期保值的原理
在期货套期保值操作中,投资者会根据现货头寸反向建立期货头寸,其目的是使得期货和现货的组合头寸风险尽量呈现中性。如此操作的原因主要在于,期货和标的现货价格之间会存在较强的相关关系。
1.期货与标的现货价格走势基本一致
虽然现货市场与期货市场是两个各自独立的市场,但由于期货价格最主要的影响因素就是标的现货的价格,因而一般情况下两个市场的价格变动趋势是基本一致的。如果期货与标的现货价格的走势出现偏离,有无风险套利机会存在,则市场套利者会进行操作,最终使得期货与标的现货价格回复到无套利的市场均衡价格上。
2.随着期货合约到期日的临近,现货市场与期货市场价格趋向一致
期货合约的交割制度,保证了标的现货与期货价格随期货合约到期日的临近而趋于收敛。如果在交割日,期货价格与现货价格不同,例如期货价格高于现货价格,那么套利交易者就会卖出高价的期货合约,同时买入低价的现货,在无风险的情况下交割获利。这种套利交易最终使国债期货价格和现货价格趋向一致。
正是上述经济原理的作用,一旦投资者建立了与现货市场相反的期货头寸,则无论市场价格朝哪一方向变动,构建的现货与期货组合均可避免风险,实现保值。
需要说明的是,投资者在套期保值中,也失去了价格朝有利方向变动而获利的机会,这是因为一个市场上获得的利润将被另一个市场上的损失所抵消。因此,套期保值在锁定风险的同时,也锁定了未来交易的损益。
(二)套期保值的操作原则
套期保值应大致遵循标的品种相同、交易方向相反、数量相当、月份相同或相近等原则。
1.标的品种相同或相近原则
在做套期保值交易时,选择的期货品种应尽量和所需套保的现货品种相同,若没有完全相同的期货品种时,应选择最相近的期货品种来保值。只有期货标的和所需套保的现货品种相同或相近时,期货价格和所需套保的现货价格之间才有可能形成紧密的关系,从而在两个市场上采取反向操作才能有效规避风险。
2.交易方向相反原则
交易方向相反原则是指在做套期保值交易时,套期保值者应在现货和期货市场上采取相反的买卖行动,即在两个市场上处于相反的买卖头寸位置。由于期货和相应现货价格变动趋势相同,只有遵循交易方向相反原则,交易者才能在一个市场上亏损的同时在另一个市场上盈利,从而达到风险中性的目的。
3.数量相当原则
这里的数量相当并不是指期货数量与现货数量一致,而是指为达到套期保值目的所需的期货合约数量是与现货数量有一定关系,必须依据现货数量合理确定期货合约数量。
4.月份相同或相近原则
月份相同或相近原则是指在做套期保值交易时,所选用的期货合约的交割月份最好与交易者将来在现货市场上实际买进或卖出现货的时间相同或相近。因为随着期货合约交割期的到来,期货价格和现货价格趋向一致,套期保值的损益受期末期货和现货差异的影响较小,而是完全由期初建仓时期货和现货价格决定。
(三)套期保值的基本类型
按照套期保值者在期货市场上买卖方向的不同,国债期货套期保值的基本类型有两种,即买入套期保值、卖出套期保值。
1.买入套期保值
买入套期保值涉及买入期货合约,通常被用来锁定利润,它是指交易者先在国债期货市场买入期货,以便将来在固定收益债券现货市场买进现货时不致因利率下降而给自己造成经济损失。这种用期货市场的盈利对冲现货市场亏损的做法,可以将未来的买入价格固定在预计的水平上。买入套期保值是需要现货商品而又担心价格上涨的客户常用的保值方法。
例1:某投资者在3个月后(4月20日)将收到100万元的资金,该笔资金可用于投资,于是他打算买入长期国债,该投资者认为目前(1月20日)4.76%的利率水平已经较高,到时利率可能会下跌,买入国债的价格会上涨。为锁定未来买入国债的成本,他在期货市场上买进1张长期国债期货合约,每个合约的面值为100万元(见表1)。
3个月后,当他把这笔资金投资到长期国债上时,利率实际上已经降低,国债价格随之上升。在这个例子中,机会损失是20000元。同时,他卖出了1张期货合约,平仓了结期货头寸。由于现货利率降低,期货价格随着现货价格上升而上升,卖出期货合约获得收益,冲抵了现货市场上的损失。
表1、买入套期保值交易策略与结果
| 现货市场 | 期货市场 | |
| 1月20日 | 投资者将于4月20日投资100万于长期国债市场,息票利率4.25%、收益率是4.76%。国债市场价格是95.16元。 | 投资者买入1张5月份面值100万长期国债期货,价格为95.00元。 |
| 4月20日 | 投资者买入100万长期国债,息票利率4.25%,由于利率下降,使国债价格上升为97.16元。 | 投资者卖出1张5月份面值为100万长期国债期货合约,价格为97.00元。 |
| 交易结果 | 现货市场损失=10000元
×(97.16-95.16)=20000元 |
期货市场盈利=10000×(97.00-95.00)=20000元 |
注:这里假定基差不变,并且不考虑交易成本和保证金成本,还假定期货合约名义利率与长期国债票面利率相同,这样就不需要转换因子调整。
在买入套期保值交易中,也可能会出现投资者的预测与市场实际走势不一致的情况,即利率出现不降反升的相反情况,则投资者的损失会因在国债市场上的盈利而加以补偿,因此仍能达到保值目的。
2.卖出套期保值
卖出套期保值是与买入套期保值相反的一种交易。它是指交易者先在期货市场卖出期货,当利率上升,债券现货价格下跌时以期货市场的盈利来弥补现货市场的损失,从而达到保值目的的一种交易方式。卖出套期保值主要适用于持有债券的投资者,他们担心将来债券价格下跌使自己遭受损失。卖出套期保值的另一种情况是,需要在将来借入款项的投资者用来防范利率的上升,控制借款成本。
例2:1月20日,一个投资者持有长期国债,票面价值为100万元,打算三个月后卖出这项资产。在此期间,投资者面临着利率提高的风险,这将引起固定收益证券价格下跌,从而持有这项资产就会蒙受损失。为了避免预期利率提高的风险,这个投资者本可以立即卖出长期国债,投资到两个月的定期存款上,但他却进行了国债期货交易,因为国债期货交易成本较低,信用风险较小。这样他在现货市场上的多头资产就与期货市场上相反的空头资产损益相抵(见表2)。
三个月后,投资者在现货市场上卖出长期国债,由于利率像预测的那样提高了,投资者在现货交易中受到了损失。同时,他结清了期货交易。由于利率提高,期货合约的价格与现货价格一样下跌,投资者买进合约所支付的价格,比他在卖出合约时所得到的价格低(见表2),因此,在期货市场上的交易获得了一定的利润,抵补了现货市场的亏损。
如果假设与交易者的预测相反,在这期间利率降低了,卖出现货债券本来可以获利,但是随着现货价格的上升,期货价格也上升了,要以更高的价格买回期货合约,这冲销了现货市场上的利润。因此,交易者不受利率变动影响的目标达到了,但也无法享受利率变动带来的利润,如果不进行套期保值的话,其境况会更好些。
表2、卖出套期保值交易策略与结果
| 现货市场 | 期货市场 | |
| 1月20日 | 投资者拥有息票利率4.25%、票面价值总共10万元的长期国债,该国债的市场价格为95.16元,收益率为4.76% | 投资者卖出一个5月份的长期国债合约价格为95.00元 |
| 4月20日 | 卖出息票利率为4.25%、票面价值为10万元的长期国债,卖价为92.16元 | 投资者买入一个5月份的长期国债合约价格为92.00元 |
| 交易结果 | 现货交易损失=(95.16-92.16)×1000=3000元 | 期货交易盈利=(95-92)×1000=3000元 |
注:假定基差不变,并不计交易成本和保证金成本,还假定期货合约名义利率与长期国债票面利率相同,这样就不需要转换因子调整。
(四)套期保值比率
为规避债券现货市场风险,套期保值者在建立交易头寸时需要确定的适当的参与保值交易的期货合约数量。因此,确定合适的套期保值比率是减少套期保值风险,达到最佳套期保值效果的关键。
1.套期保值比率的概念
套期保值比率(HedgeRatio)是指债券现货组合价格变动与一张期货合约价格变动的比例。由于各种债券对利率变动的敏感程度不相同,在运用国债期货对固定收益债券进行套期保值时,固定收益债券现货的价值与所需国债期货合约的价值之间并不是1:1的关系。在完美套期保值下,由于利率波动引起的现货价格波动的损失应正好被期货头寸的盈利冲抵,即:
债券组合价格变化=每个期货合约价格变化×套期保值比率
由此可得套期保值比率的计算公式为:
套期保值比率=债券组合价格变化/每个期货合约价格变化
2.套期保值比率的计算
确定国债期货套期保值比率最重要的因素是现货债券与国债期货合约价格变化的计算。在债券分析中,衡量债券价格波动性的指标主要有久期和基点价值,相应地,国债期货套期保值比率的计算方法有修正久期(Duration)法和基点价值法等。
(1)修正久期法
久期度量了债券价格随利率变动时的波动特征,因此可以用来计算国债期货套期保值比率。由于在交割日,国债期货合约价格约等于最便宜可交割债券价格除以转换因子,因此国债期货合约的修正久期可以用最便宜可交割债券的修正久期得到。从而可以计算出最优的套期保值比率:
其中:
St:现货债券价格
SCTD,t:最便宜可交割债券价格;
Dm:现货债券修正久期;
Dm,CTD:最便宜可交割债券修正久期;
例3:2002年3月,某养老基金经理决定在5月中旬用价值10,000,000瑞士法郎(CHF)的短期存款购买债券组合,由于预计利率将会下降,从而造成债券价格上涨,因此决定用CONF期货(瑞士联邦长期政府债券期货,合约标的为面值CHF100,000的瑞士联邦长期政府债券)进行套保,将债券价格锁定在目前的价格水平上。3月份市场情况见表3。
表3、3月份市场情况
| 债券组合市场价值 | CHF 10,000,000 |
| CTD债券价格 | CHF 98.74 |
| CONF期货2002年6月合约价格 | CHF 120.50 |
| 债券组合修正久期 | 7.00 |
| CTD债券修正久期 | 7.56 |
| CTD债券转换因子 | 0.819391 |
利用修正久期法计算得套期保值比率:
因此该基金经理在3月中旬以CHF 120.50的价格买进94张2002年6月到期的CONF期货合约。到5月中旬,市场利率果然下降,债券价格上扬(见表4)。于是该基金经理以每张合约CHF 123.27的价格将持有的CONF期货合约平仓,并在债券市场上买回价值CHF 10210000的债券组合。结果该基金经理在期货市场上所获利润不仅弥补了在债券上的亏损,而且还有盈余CHF50380,套期保值是成功的(见表5)。
表4、5月份市场情况
| 债券组合市场价值 | CHF 10210000 |
| CTD债券价格 | CHF 101.01 |
| CONF期货2002年6月合约价格 | CHF 123.27 |
表5、交易策略与结果表
| 日期 | 债券组合现货 | 期货 |
| 3月15 | 市场价值CHF10000000 | 以CHF 120.50的价格买进94张CONF期货合约 |
| 5月15日 | 市场价值CHF10210000 | 以CHF 123.27卖出94张CONF期货合约 |
| 交易结果 | 亏损CHF 210000 | 盈利CHF260380 |
(2)基点价值法
除了久期外,另一种衡量债券价格波动性的指标就是基点价值(Basis Point Value,BPV),即债券收益率变化一个基点(0.01个百分点)时,债券价格的变化幅度(这里的变化幅度指的是价格的变动额,而不是百分比),即:
债券基点价值=债券价格变化幅度/收益率变化幅度
利用债券的基点价值,也可以计算出对债券进行套期保值的套期保值比率。根据公式有:
由于在交割日,国债期货合约价格近似等于最便宜可交割债券除以转换因子,因此国债期货合约的基点价值近似等于最便宜可交割债券的基点价值除以其转换因子,即:
期货合约BPV=CTD债券BPV/转换因子
因此,
事实上根据公式,可以发现债券BPV与久期是密切相关的,即:
债券BPV≈债券修正久期×债券价格×0.0001
对照公式计算,可以发现用基点价值法计算的套期保值比率与用修正久期法计算的套期保值比率是较接近的。
例4:在2002年3月份,某机构投资者持有价值EUR 40,000,000的债券组合,并决定在2个月后进行减持。3月份市场情况见表6。如果市场利率上扬,那么该投资者将会有债券价格下跌的风险,为消除这一担心,该投资者决定用欧洲债券期货(每张合约包含1000张面值EUR100的德国联邦政府债券)进行套期保值,以锁定价格,规避利率风险。
表6、3月份市场情况
| 债券组合市场价值 | EUR 40,000,000 |
| CTD债券价格 | EUR 95.12 |
| 欧洲债券期货2002年6月合约价格 | EUR 106.00 |
| 债券组合基点价值 | EUR 32,800.00 |
| CTD债券基点价值 | EUR 0.06763 |
| CTD债券转换因子 | 0.897383 |
利用基点价值法计算,可得套期保值比率:
因此,该机构投资者持有债券组合可以通过在3月份以EUR 106.00的价格卖出435张6月到期的欧洲债券期货合约即可达到保值的目的。到5月份,利率果然上涨,债券组合价格下跌,五月份的市场情况见表7。于是该投资者卖出所持有的债券组合,同时以EUR 103.73买进435张欧洲债券期货合约,将持有的期货合约对冲。该投资者在债券价格上的损失在期货市场上得到了弥补,见表格8。
表7、5月份市场情况
| 债券组合市场价值 | EUR 39,016,000 |
| CTD债券价格 | EUR 91.10 |
| 欧洲债券期货2002年6月合约价格 | EUR 103.73 |
表8、交易策略与结果表
| 日期 | 债券组合现货 | 期货 |
| 3月15日 | 市场价值EUR 40000000 | 以EUR 106.00的价格卖出435张欧洲债券期货合约 |
| 5月15日 | 市场价值EUR 39016000 | 以EUR 103.73买进435张欧洲债券期货合约 |
| 交易结果 | 亏损EUR 984000 | 盈利EUR987450 |
3.套期保值比率的调整
在上面的分析中没有考虑各种被保值债券自身的其他特点,如不同债券的信用等级、利率水平、期限特征等都会不同,这会使得被保值债券和国债期货最便宜可交割券的收益率并不会同步变化。因此,在实际应用中,需要对前面计算得到的套期保值比率按照被保值债券的特征进行适当调整。常用的方法就是收益率β系数法。具体做法是,用历史数据,建立被保值债券收益率与最便宜可交割债券收益之间的回归方程:
其中rb表示被保值债券的收益率,rCTD表示期货对应CTD债券的收益率,ε是误差项,α和β分别是截距和回归系数。
利用回归分析可以得到系数β的估计值,称为收益率β(yield beta),表示被保值债券与CTD债券收益率间的相对变动率,即CTD债券收益率变动1%时,被保值债券收益率变动β%。进而,利用收益率β对套期保值比率进行调整,以消除被保值债券因信用风险等因素而造成的与CTD债券收益率之间的差异:
其中,h'表示调整后的套期保值比率,h表示用修正久期法或基点价值法计算的套期保值比率。
4. 基差与套期保值
现货价格与期货价格之间的关系变化是以基差的形式表现出来的。对于国债期货而言,基差就是经转换因子调整后的国债期货价格与相应的现货价格间的差额,即:
基差=现货价格-期货价格×转换因子
这里以对债券进行买入套期保值为例,套保策略的收益可以表示为:
其中,S1、F1表示期初的国债现货与期货价格,S2、F2表示套期保值结束时的国债现货与期货价格,HR表示套期保值比率。
总之,在套期保值中基差起到了关键的作用。套期保值者将绝对现货价格风险管理,转变为相对的基差风险管理。在实际中,完美的套期保值,往往是很难达成的。这是由于基差风险可能会来自以下几个方面:一是需要对冲价格风险的资产与期货合约的标的资产可能并不完全一致,这时需要利用交叉套期保值而不是直接套期保值,但两个市场上的收益率差异存在着诸多不确定性因素;二是套保者可能并不确定资产买入及卖出的时间;三是套保者可能需要在期货到期月之前将期货进行平仓。
因此,为了尽量规避基差风险,套保者在选择期货合约时,主要需要考虑两个因素:一是选择期货合约的标的资产;二是选择交割的月份。具体来说,首先如果被对冲资产刚好与期货标的资产吻合,第一个选择就很容易,其他情况下需要确定哪一种可以使用的期货合约与被对冲资产的价格有最密切的相关性。然后,交割月份的选择与几个因素有关。如果需要套保的时间与期货交割月份一致,就应直接选择该交割月份的期货合约。在实际操作中,套保者通常会选择一个随后月份交割的期货合约,这是为了避免交割月份期货价格的不稳定,以及期货多头在交割月份持有合约而面临不得不接受资产交割的风险。如果需要套保的时间与期货交割月份并不一致,则尽量选择与需要套保时间最接近的交割月份合约。
二、国债期货套利交易
套利是指投资者利用不同资产之间的价差,同时买入定价偏低资产,卖出定价偏高资产,待价差回归合理后进行平仓了结,从而获取无风险收益的交易行为。
对于国债期货而言,所谓的不合理价差关系包括多种情况。第一种情况是同种国债期货与现货间的不合理价差;第二种情况是同一市场、同种国债期货合约在不同交割月之间的不合理价差;第三种情况是同一市场、同一交割月的不同国债期货合约之间的不合理价差;第四种情况是不同市场、同一种国债期货合约之间的不合理价差。所有这些不合理的价格关系一般只存在于一个较短的时间中,通过套利者的套利活动,这些不合理的价格关系将很快地得到矫正或拉平。相应地,套利交易通常也分为四种类型:期现套利、跨期套利(Calendar Spreads)、跨品种套利(IntercommoditySpreads)与跨市场套利(Intermarket Spreads)。
(一)期现套利
国债期现套利即套利者发现期货和现货价差出现偏离后,同时买进(卖出)现货债券并且卖出(买进)国债期货的交易。这样的交易方式,和基差交易(Basis Trading)较为一致,因此也可视为国债基差交易,以下从基差交易的角度来阐述国债期现套利策略。
1.国债基差的概念
对于国债期货而言,基差就是用适当的转换因子调整后的国债期货合约价格与相应的现货价格间的差额,即
基差=现货价格-期货价格(经适当的转换因子调整)
基差是期货价格与现货价格之间实际运行变化的动态指标。若现货价格低于期货价格,基差呈负值,称之为远期升水或现货贴水;反之,现货价高于期货价,基差呈正值,称之为远期贴水或现货升水。
2.影响基差的因素
在不考虑交易成本的情况下,基差应该等于持有成本(即拥有可交割债券而支付的融资所得利息与筹措这项投资的成本之间的净利息差额)与交割期权价值之和。影响国债期货基差的因素非常复杂,因为基差决定于现货价格与期货价格,凡是可以影响这两者的因素最终都会影响基差,一般包括可交割债券近期、远期的市场供需状况、距期货合约到期期限、持有成本变化、市场预期、政策因素等。
具体来说,可交割债券特别是最便宜可交割债券的供求关系是影响国债期货合约基差的重要因素。这是因为市场上短期利率水平与长期利率水平的关系经常会出现变动,这使得交割债券供求关系出现变化,从而影响不同期限可交割债券的持有成本。期货合约到期期限也是影响基差的一个重要因素。至合约到期的时间愈长,持有成本愈大,反之则愈小,因此到期期限较长的期货合约的基差也往往较大。而随着合约到期日的临近,持有成本逐渐降低,基差也逐渐缩小。当非常接近期货合约到期日时,期货市场对应的现货价格应与最近期的期货价格接近,持有成本等于0,基差亦缩小至0,即所谓的基差收敛。
当投资者观察基差变化,发现其偏离合理价位时,即可进行买入低估基差或卖出高估基差的交易,从而进行期现套利。
3、基差交易方式
基差交易方式主要包括买入基差交易和卖出基差交易两种。
(1)买入基差交易
当投资者预期国债基差将要扩大时,他可进行买入基差交易。买入基差
(long the basis),是指同时购买现货国债并卖出总值等于现货国债量乘上转换因子的国债期货,待基差如期扩大后再进行平仓。由于一般来说,国债收益率曲线向上倾斜,买入国债就相当于拥有了国债的正持有期收益,而期货卖方拥有交割选择权,因此买入基差的利润来源于国债的持有期收益和收益率波动带来的交割期权价值升高。总之,买入基差可能收益较好而风险有限。
(2)卖出基差交易
当投资者预期国债基差将要缩小时,他可进行卖出基差交易。卖出基差
(short the basis),是指同时卖出现货国债并买入总值等于现货国债量乘上转换因子的国债期货数量,待基差如期缩小后再进行平仓。由于当国债收益率曲线向上倾斜时,卖出国债就要付出国债正的持有期成本,而期货买方相当于卖出交割选择权,因此卖出基差的利润来源于交割期权费减去付出的国债持有期收益,风险来自收益率波动带来的交割期权价值升高。总之,卖出基差可能收益不高却承担较大的风险。
(二)跨期套利
跨期套利是套利者在同一交易所,利用同一期货品种不同交割月份合约之间价差变化进行交易获取利润的交易方式,是套利交易中最为普遍的一种套利交易策略。国外各期货交易所进行交易的国债期货的交割月份一般是3、6、9、12四个季月。跨期套利就是利用远期与近期的价差变化在期货市场上同时买、卖两个不同月份的同一品种期货合约,利用价差的扩大和缩小来赚取利润。在跨期套利中,客户一般不用关注单一月份期货合约的涨跌,而只需关注合约之间价差的变动。
根据前面的分析,国债期货合约的均衡无套利价格应该等于用转换因子调整之后的最便宜可交割债券的价格减去持有成本,债券持有成本等于债券利息收入与购买债券的短期融资利息成本的差额。由于债券利息收入一般都是固定的,因此短期融资利息成本即市场短期利率是影响债券持有成本的主要因素。短期利率水平的改变会导致最便宜可交割债券持有成本的改变,进而影响到不同国债期货合约间的价差。投资者可以根据市场短期利率以及由此决定的最便宜可交割债券的持有成本的可能变动方向进行跨期套利。
(三)跨品种套利
所谓国债期货的跨品种套利则是指投资者买进或卖出一个国债期货合约,同时卖出或买进另外一个不同品种的国债期货,利用这两个不同品种国债期货合约价差变化获取利润的交易方式。套利者进行跨品种套利交易时,着眼点不在于债券现货市场上涨或下跌的整体运动方向上,关键是相对于另一种国债期货合约而言,某种国债期货合约在多头市场上是否上涨幅度较大或在空头市场中下跌幅度较小,由此确定该种国债期货合约是否为相对强势合约。
对信用级别相同或相近的债券品种期货而言,跨品种套利的交易策略主要是利用不同期限债券对市场利率变动的不同敏感程度而制定的。一般来讲,期限长的债券对利率变动的敏感程度要大于期限短的债券对利率变动的敏感程度,也就是说,当市场利率上升或下跌时,长期债券价格的下跌或上涨幅度将大于短期债券价格的下跌或上涨幅度。依据投资者对市场利率变动趋势的预测,投资者可以选择买入或卖出长期债券期货合约,同时卖出或买入短期债券期货合约,等到市场利率出现预期变动时,再对冲获利。
在芝加哥期货交易所,国债期货的跨品种套利交易是非常流行的,其中最为普遍的是以10年期的中期国债与长期国债期货间的跨品种套利交易(NOB)、5年期的中期国债与长期国债期货间的套利交易(FOB)、10年期的中期国债与5年期国债期货间的套利交易以及市政债券期货与长期国债期货间套利交易(MOB)等。
例5:5年期国债期货与长期国债期货之间的套利。这种套利交易旨在利用5年期国债期货合约与长期国债期货合约之间的价差变化来获利。其具体做法有两种形式:
(1)当预期5年期国债期货合约价格上涨幅度将大于长期国债期货时,或5年期国债期货合约价格下跌幅度将小于长期国债期货时,买进5年期国债期货,卖出长期国债期货。
(2)当预期长期国债期货价格上涨幅度将大于5年期国债期货合约时,或长期国债期货价格下跌幅度将小于5年期国债期货合约时,卖出5年期国债期货,买进长期国债期货。
譬如,2003年第一季度以来,某投资者认为美国联邦储备局可能会进一步降低利率以抵制潜在的通货紧缩,引起中长期债券价格的大幅波动,使得5年期国债和长期国债价差扩大,于是该投资者决定在5年期国债期货和长期国债期货之间进行跨品种套利交易,他在4月中旬买进一份9月份交割的长期国债期货合约,同时卖出一份9月份交割的5年期国债期货合约。到6月26日,美联储果然宣布将利率降低25个基点,5年期国债期货合约价格上涨幅度明显低于长期国债期货价格的上涨幅度,价差缩小。于是该投资者在6月底将所持有的国债期货合约对冲获利,套利结果见表9。
表9、国债期货跨品种套利交易结果(单位:美元)
| 5年期国债期货合约 | 长期国债期货合约 | 价差 | |
| 4月15日 | 110.25(卖出) | 102.15(买入) | 8.10 |
| 6月28日 | 122.23(买入) | 117.04(卖出) | 5.19 |
| 盈亏 | -11.98 | 14.89 | 2.91 |
(四)跨市套利
所谓跨市套利就是利用同一品种期货合约在不同市场上存在的价差和这种价差关系的变化,在一个交易所买入(或卖出)某一交割月份的某种期货合约,同时在另一个交易所卖出(或买入)同一交割月份的同种期货合约,以期在有利时机分别在两个交易所对冲在手的合约获取利润的交易活动。这种套利可以在国内交易所之间进行,自然也可以在国内交易所与国外交易所之间进行。
例6:在2003年初,美国地方政府发行的免税市政债券为投资者带来的收益几乎与同类美国国债完全一样。但某投资者注意到美国经济复苏有望,联邦利率很有可能在将来某个时候调高,而市政债券更容易受市场利率上升的影响。因此该投资者决定利用这一机会在市政债券现货和10年期美国国债期货之间进行跨市套利交易。他于2月份在OTC债券现货市场以99.05美元的价格卖空2张免税市政债券,同时在期货市场以102.2美元的价格买进2张10年期美国国债期货9月合约,二者价差为3.15美元。到8月份,美联储果然宣布提高联邦基金利率,市政债券和国债价格都出现下跌,分别跌至95.6美元和99.95美元,二者价差扩大至4.35美元。于是该投资者从OTC市场上买进市政债券,并将国债期货合约平仓,套利结果见表10。
由于该投资者准确预见了利率变动趋势,套利是成功的。如果投资者仅卖空市政债券,那么他就能获取更高的利润,但也将自己置于很大的风险中,如果他判断失误,利率不升反降,那么他将遭受很大损失。进行跨市套利就能避免这一风险,即使出现利率下降的不利局面,投资者在市政债券上的损失也将会得到期货收益的弥补,因此虽然跨市冲销了部分利润,但同时也降低了可能面临的风险。
表10、债券期货跨市套利交易结果(单位:美元)
| 市政债券 | 10年期国债期货合约 | 价差 | |
| 2月15日 | 99.05(卖出) | 102.2(买入) | 3.15 |
| 8月15日 | 95.6(买入) | 99.95(卖出) | 4.35 |
| 盈亏 | 3.45 | -2.25 | 1.20 |
(五)套利的风险
从理论上说,当国债期货出现确定的套利机会时,套利者进行操作,就已经锁定了利润,它便是实际价差与理论价差之差额。但是,金融市场是在不断地发展变化的,无论是利率还是汇率,都不可能一成不变,各市场之间的关系也会受到众多因素的影响。这样,就不可避免地造成收益的不确定性,从而套利交易在市场实际操作中也有各种各样的风险,包括每日结算制度、融资融券限制、市场冲击成本等的不确定性,都会使套利中的收益发生变化,甚至冲销了全部收益,以致变为亏损。
1.每日结算的资金风险
对于各种期货合约而言,套利交易在执行上都会有每日结算的风险。每天交易结束后,交易所都要对每笔交易的盈亏进行计算,如果保证金不足,则需追加;若有超额保证金,可以退还。因此,在套利头寸持有期间,如果市场价格发生不利于套利者的变动,则必须随时追加保证金,从而增加了对保证金融资的成本,导致套利者最初锁定的利润将会因为额外资金所产生的利息收入(或损失)而变得不确定。
2.融资、融券的限制
融资、融券是有限制的,因此超过期限的套利组合将面临再融资或再融券的风险。但一般说来,套利交易的期限一般不会太长,往往会控制在半年以内,因此融资融券限制的影响还不是很大。但对一些跨期套利者而言,还是可能会因为这方面的限制而无法进行套利交易或必须付出较高的成本。
3.市场冲击成本
在建立套利交易头寸时,套利者必须同时迅速地调整债券现货以及国债期货头寸,以致在市场流动性不是十分充足的时候会对市场造成冲击,可能无法以所要求的价格成交,而是须以较高的价格买入或以较低价格卖出。
4.资产的可分割性
期货合约是标准化的合约,因而在金融期货市场中无法买到少于l手的期货合约。理论计算中无风险套利中所得的合约数只能近似地以整数代替,这样必有一部分金额的现货或期货头寸成为敞口头寸。在市场状况变化时,会影响套利的利润水平。
5.交割的复杂性
虽然国债期货的交割月份是完全确定的,套利者应交割的期货合约的数量也是确定的,但是交割仍面临多种选择。套利者可以在国债期货合约可交割的国债中进行选择,还可以选择在交割月份的那一天进行交割。不同的选择可能带来不同的最终套利收益。
总而言之,实际中的套利远不是理论上所说的那样是无风险的,只有考虑到各种可能的风险因素,才能实现成功的套利。
[1]如果非最便宜券进行套保,由于套保比率不是转换因子,因此不能完全表示为基差变动的形式,但基差变动仍然是主要的影响因素。
免责声明
本文字材料仅供学习交流所用,仅为提供信息而发布,概不构成任何广告、业务内容和投资建议。
本文字材料的信息来源为已公开的资料,本公司对文字材料内容及相关信息的准确性、完整性或者可靠性不做任何保证。
任何机构、个人根据本文字材料或所载相关内容所做的一切行为引起的任何直接或间接损失,不承担任何责任。
版权声明
本文字材料版权仅为本公司所有,未经书面许可,任何机构和个人不得以任何形式转载、翻版、复制、发表、翻译、引用或者以其它方式使用本文字材料。如征得本公司同意使用报告,需在授权范围内使用并注明出处为“中国金融期货交易所”,且不得对本文字材料进行任何有悖原意的引用、删减和修改。违反上述声明者,本公司将追究其相关法律责任。