新浪财经

马考林久期与修正久期

债券信息网

关注

对于给定的到期收益率的微小变动,债券价格的相对变动与其马考利久期成比例。当然,这种比例关系只是一种近似的比例关系,它的成立是以债券的到期收益率很小为前提的。为了更精确地描述债券价格对于到期收益率变动的灵敏性,又引入了修正久期模型(Modified Duration Model)。修正久期被定义为:

从这个式子可以看出,对于给定的到期收益率的微小变动,债券价格的相对变动与修正久期之间存在着严格的比例关系。所以说修正久期是在考虑了收益率项 y 的基础上对 Macaulay 久期进行的修正,是债券价格对于利率变动灵敏性的更加精确的度量。

修正久期大抵抗利率上升风险强,下降弱;久期小抵抗利率上升风险弱,下降强。也就是说判断利率上升,买修正久期大,也就是长期债券判断利率下降,买修正久期小的,也就是短期债券。

EXCEL可以通过财务函数mduration计算。

久期(Duration)

久期(Duration)的概念

久期的概念最早是马考林(Macaulay)在1938年提出来的,所以又称马考林久期(简记为D)。马考林久期是使用加权平均数的形式计算债券的平均到期时间。它是债券在未来产生现金流的时间的加权平均,其权重是各期现金值在债券价格中所占的比重。

具体的计算将每次债券现金流的现值除以债券价格得到每一期现金支付的权重,并将每一次现金流的时间同对应的权重相乘,最终合计出整个债券的久期。

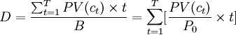
马考林久期的计算公式

(公式1)

其中,D是马考林久期,B是债券当前的市场价格,PV(Ct)是债券未来第t期可现金流(利息或资本)的现值,T是债券的到期时间。需要指出的是在债券发行时以及发行后,都可以计算马考林久期。计算发行时的马考林久期,T(到期时间)等于债券的期限;计算发行后的马考林久期,T(到期时间)小于债券的期限。

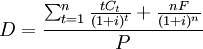
任一金融工具的久期公式一般可以表示为[1]:

(公式2)

其中:D为久期;t为该金融工具现金流量所发生的时间;Ct为第t期的现金流;F为该金融工具的面值或到期日价值;n为到期期限;i是当前的市场利率。实际上,公式(公式3)的分母正是该金融工具的市场价值,因此,久期公式又可表示为:

(公式3)

其中:P表示该金融工具的市场价值或价格。

久期的计算过程举例[1]

下面试举一例来说明久期的计算过程。假设面额为1000元的3年期变通债券,每年支付一次息票,年息票率为10%,此时市场利率为12%,则该种债券的久期为:(年)

如果其他条件不变,市场利率下跌至5%,此时该种债券的久期为:(年)

同理,如果其他条件不变,市场利率上升至20%,此时久期为:(年)

再者,如果其他条件不变,债券息票率为0,那么:(年)

从上面的计算结果可以发现,久期随着市场利率的下降而上升,随着市场利率的升而下降,这说明两者存在反比关系。此外,在持有期间不支付利息的金融工具,其久期等于到期期限或偿还期限。那些分期付息的金融工具,其久期总是短于偿还期限,是由于同等数量的现金流量,早兑付的比晚兑付的现值要高。金融工具到期期限越长其久期也越长;金融工具产生的现金流量越高,其久期越短。

马考林久期定理

1、只有贴现债券的马考林久期等于它们的到期时间

2、直接债券的马考林久期小于或等于它们的到期时间

3、统一公债的马考林久期等于[1+1/Y] ,其中y是计算现值采用的贴现率

马考林久期与债券价格的关系

对于给定的收益率变动幅度,马考林久期越大,债券价格的波动幅度越大:

到期时间、息票率、到期收益率是决定债券价格的关键因素,与久期存在以下的关系:

1、零息票债券的久期等于到它的到期时间。

2、到期日不变,债券的久期随息票据利率的降低而延长。

3、息票据利率不变,债券的久期随到期时间的增加而增加。

4、其他因素不变,债券的到期收益率较低时,息票债券的久期较长。

债券凸性与马考林久期之间的关系

债券的凸性准确地描述了债券价格与收益率之间非线性的反向关系;而久期将债券价格与收益率之间的反向关系视为线性的,只是一个近似公式。

修正马考林久期

久期的用途

在债券分析中,久期已经超越了时间的概念,投资者更多地把它用来衡量债券价格变动对利率变化的敏感度,并且经过一定的修正,以使其能精确地量化利率变动给债券价格造成的影响。修正久期越大,债券价格对收益率的变动就越敏感,收益率上升所引起的债券价格下降幅度就越大,而收益率下降所引起的债券价格上升幅度也越大。可见,同等要素条件下,修正久期小的债券比修正久期大的债券抗利率上升风险能力强,但抗利率下降风险能力较弱。

正是久期的上述特征给我们的债券投资提供了参照。当我们判断当前的利率水平存在上升可能,就可以集中投资于短期品种、缩短债券久期;而当我们判断当前的利率水平有可能下降,则拉长债券久期、加大长期债券的投资,这就可以帮助我们在债市的上涨中获得更高的溢价。

需要说明的是,久期的概念不仅广泛应用在个券上,而且广泛应用在债券的投资组合中。一个长久期的债券和一个短久期的债券可以组合一个中等久期的债券投资组合,而增加某一类债券的投资比例又可以使该组合的久期向该类债券的久期倾斜。所以,当投资者在进行大资金运作时,准确判断好未来的利率走势后,然后就是确定债券投资组合的久期,在该久期确定的情况下,灵活调整各类债券的权重,基本上就能达到预期的效果。

久期是一种测度债券发生现金流的平均期限的方法。由于债券价格敏感性会随着到期时间的增长而增加,久期也可用来测度债券对利率变化的敏感性,根据债券的每次息票利息或本金支付时间的加权平均来计算久期。

久期的计算就当是在算加权平均数。其中变量是时间,权数是每一期的现金流量,价格就相当于是权数的总和(因为价格是用现金流贴现算出来的)。这样一来,久期的计算公式就是一个加权平均数的公式了,因此,它可以被看成是收回成本的平均时间。

决定久期即影响债券价格对市场利率变化的敏感性包括三要素:到期时间、息票利率和到期收益率。

不同债券价格对市场利率变动的敏感性不一样。债券久期是衡量这种敏感性最重要和最主要的标准。久期等于利率变动一个单位所引起的价格变动。如市场利率变动1%,债券的价格变动3,则久期是3。

债券的久期与剩余期限

实际上,久期在数值上和债券的剩余期限近似,但又有别于债券的剩余期限。在债券投资里,久期被用来衡量债券或者债券组合的利率风险,它对投资者有效把握投资节奏有很大的帮助。

一般来说,久期和债券的到期收益率成反比,和债券的剩余年限及票面利率成正比。但对于一个普通的附息债券,如果债券的票面利率和其当前的收益率相当的话,该债券的久期就等于其剩余年限。还有一个特殊的情况是,当一个债券是贴现发行的无票面利率债券,那么该债券的剩余年限就是其久期。这也是为什么人们常常把久期和债券的剩余年限相提并论的原因。

另一种说法:

久期是债券平均有效期的一个测度,它被定义为到每一债券距离到期的时间的加权平均值,其权重与支付的现值成比例。

久期是考虑了债券现金流现值的因素后测算的债券实际到期日。价格与收益率之间是一个非线性关系。但是在价格变动不大时,这个非线性关系可以近似地看成一个线性关系。也就是说,价格与收益率的变化幅度是成反比的。值得注意的是,对于不同的债券,在不同的日期,这个反比的比率是不相同的。

加载中...