新浪财经

我国商业银行信用风险度量

新浪财经

关注

我国商业银行信用风险度量研究

李贵彪

商业银行作为金融市场中的重要组成部分,在发展中面临的风险很多,而信用风险始终是其面临的最主要风险之一,也是影响一国经济发展的主要因素。1995年巴林银行倒闭、2008年美国次贷危机等金融事件的发生让人们更加认识到加强信用风险有效管理的重要性和迫切性。因此,如何科学有效地度量信用风险已成为商业银行信用风险管理实践进程中的关键环节。

一、信用风险特征

市场经济中,信用风险可以说无处不在。了解信用风险自身的特征是进行信用风险度量和管理的有效前提。

(一)损失与收益之间存在不对称性。信用风险的不对称性是指预期收益与预期损失之间存在不对称性。持有债券时,所获得的最大收益是该笔债券带来的利息,所承担的最大损失却是本金与利息之和,显然两者之间是不对称的。信用风险的不对称性,这一特征使得信用风险难以得到充分分散和转移,从而容易出现“信用风险集中”问题。

(二)累积性特征。信用风险具有累积性特征,具体含义是指信用风险一旦发生,就具有引发不断累积,接着发生连锁反应,形成恶性循环,并最后有可能在一定临界点引发经济危机的这种可能性[1]、。

(3)信用风险具有不确定性。信用活动本身存在损失的可能性,说明信用风险就存在,但信用活动本身也存在收益的可能性,因此信用风险既可能给当事人带来一定的损失,也可能给其带来一定的收益,因此使得信用风险具有不确定性。

(4)非系统性特征。杨军(2004)在《银行信用风险》一书中,通过对影响银行信用风险的因素进行实证分析得出,借款人的管理水平和技术能力、风险内控制度等非系统性因素是导致银行信用风险发生的主要因素。正是由于信用风险的非系统性,信用风险无法通过期权、期货、掉期、远期等金融工具进行充分转移和分散,从而只能通过信用风险度量分析、抵押担保等方法进行防范。

(5)数据获得比较困难。一般情况下,信用资产的持有期较长,流动性比较差,二级市场不活跃,加之银企之间信息存在明显的不对称性,使得衡量信用风险的数据难以获得。

由上述分析我们看出,信用风险自身的特点决定了信用风险的度量和管理的特殊性,因此备受业界人士们关注。

二、银行信用风险度量的必要性

对于银行机构特别是商业银行来说,信用风险几乎是与信贷业务相生相随的,是商业银行面临的最重要的风险。以国际银行业为例,Mckinsey公司的研究表明:信用风险占银行总体风险敞口的60%,是导致5家银行破产的最主要因素,也是导致区域性金融危机甚至全球性金融危机的根本原因之一[2]。2008年由美国次贷危机引发的全球性的金融风暴后,人们更加关注信用风险,其原因是多方面的。

(一)客户结构变化和客户破产率上升。据统计数据表明,自20世纪90年代起,美、日、欧等国家的企业破产案开始增加,美国的公众公司在20世纪80年代的经营状况就比较差,度过了相对平静的十年之后,90年代起美国公众公司的违约问题相继涌现出来;日本在过去十年间,则有十万家之多的非上市公司纷纷违约破产,银行客户破产率的上升大大增加了银行的信用风险[3]。

此外,随着大企业融资“脱媒”现象逐日增多,商业银行面向的客户对象逐渐由信用级别高、信用风险低的大中型企业转向信用级别较低、信用风险较高的中小型企业,中小型企业在商业银行客户对象中所占的比重逐渐上升,由此需要商业银行更加注重信用风险的度量和管理。

(二)表外信用风险有逐日增高趋势。近几年,金融衍生市场迅速发展,金融衍生业务不断拓展,表外信用风险逐渐增长。国际清算银行于1993年将风险资本引入为基础的资本要求之中,主要就是因为表外信用风险增长。在BIS体制下,在每一份场外衍生合约的现行盯住市场价值上,商业银行为了规避表外信用风险,使资本数额在要求的额度之内,必须加上一个针对未来可能的风险敞口的附加值[4]。

(三)市场因素影响。随着全球经济一体化的迅速发展,金融市场也逐渐实现了全球一体化,金融市场交易价格波动更为频繁和剧烈。在商业银行发放贷款,特别是抵押品贷款时,抵押品价值难以准确估计,特别是作为抵押品的房产等实物资产的价值下降使得商业银行利用抵押品规避信用风险的有效性大大降低。近年来,我国商业银行客户群中,由于汇率波动、商品市场价格波动等原因而导致资不抵债、难以按期偿还商业银行贷款的现象屡有发生,使得信用风险在商业银行经营中所占的比重越来越大。

(四)金融监管部门认可银行内部信用风险管理模型的有效性。随着金融全球化的发展,金融创新不断发展,金融衍生品种不断增多,商业银行信用风险管理中出现许多新问题和新情况,依靠《巴塞尔协议》难以得到全部解决,因而新的商业银行信用风险度量方法需要得到国家和金融监管部门的认可。2004年,巴塞尔委员会发布《巴塞尔新资本协议》,承认商业银行内部自行建立的金融风险度量和管理模型的合法性,提出最低资本要求、外部监管、市场约束“三大支柱”,引入计量信用风险的内部评级法。

(五)技术进步提高商业银行信用风险管理技术。随着经济技术的迅速发展,计算机与信息技术不断进步,大大提高了数据搜集、整理与计算的效率,降低了了数据搜集和计算的成本,为金融机构建立历年贷款违约数据库和采用现代信用风险计量模型提供了有利的技术条件。

上述情况表明,商业银对行信用风险进行度量和管理有一定的必要性,同时也具备一定的可行性,因此,我国商业银行为降低信用风险,应对信用风险进行有效地度量、管理和控制。

三、我国商业银行信用风险度量的实证研究

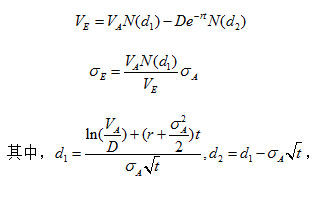
KMV模型是著名的风险管理公司Kealhofer、Mcquown和Vasicek(KMV)公司研制出的信用风险计量方法,是基于股票市场度量信用风险的违约预测模型。该模型以布莱克(Black)、斯科尔斯(Scholes)和默顿(Merton)模型为理论基础,以企业资本结构与企业资产价值为依托,通过建立企业长期历史违约数据库,来计算企业的预期违约概率(EDF),并推导出预期违约概率与企业资产价值、企业资本结构和资产回报率波动性之间的关系[5]。

KMV模型侧重于预测公司未来违约概率,强调重点是公司本身的特征。该模型基于股票市场的实时行情,在度量信用风险的过程之中纳入市场信息,采用企业股票市场价格分析法,及时更新输入数据,计算出动态的企业预期违约概率,便于我国商业银行更好地做好信用风险度量和管理工作。故本文采用KMV模型,在在沪深两市选取数家ST公司和非ST公司,采用KMV模型来实证度量样本公司信用风险,验证KMV模型在我国商业银行信用风险度量中的有效性。

(一)数据采集

依据KMV模型的思想,本文在在沪深股市中选取30家上市公司作为实证研究对象,其中,15家公司属于非ST公司,15家属于ST公司。计算基准日为2010年6月30日,数据截止日期为2010年12月31日,数据来源于新浪财经网站。30家公司的基本财务和市场数据见下表1和表2。且为了便于实证分析,我们做了如下假定:

1、公司违约实施点=流动负债+0.5长期负债;

2、到期日(T-t)为半年,计算半年期样本公司的违约距离;

3、无风险利率r=3.25%;

4、公司股票价格服从正态分布;

(二)实证过程

1、股权价值波动率

计算股票日收益率和年收益率,以恒源煤电为例对计算过程进行说明。

假定股票价格服从对数分布,则股票日收益率为:

其中,表示第n天的股票价格(已复权的收盘价),

其中,

将股票价格带入公式(1)式和(2)式,得出股票日收益率。

其中,N表示一年中的交易天数,一般为250天,故本文选择为250天。将日收益率带入(3)式,可以计算出股票年收益率。

同理,计算出其他股票年收益波动率。

2、违约点(DPT)和公司股权价值(VE)

违约点(DPT)=短期债务(STD)+1/2长期债务(LTD)          (4)

将样本公司基本数据带入公式(4)和(5)中,将得出非ST公司和ST公司的违约点(DPT)和公司股权价值(VE)。

3、资产市场价值(VA)及资产市场价值波动率()

本文讨论基于假定上市公司资产价值符合标准正态分布,且资产市场价值增长率为零的情况。

D表示t时刻该公司债务的账面价值;

利用Matlab软件计算,即可得出每个上市公司的资产价值和资产波动率。

(4)违约距离

将上述数据带入公式(8)计算可得出公司违约距离。可以得出违约距离散点图:

ST公司和非ST公司违约距离对比图ST公司和非ST公司违约距离对比图

(三)实证结果分析

我们可以看出,整体上非ST公司的违约距离大于ST公司的违约距离,非ST公司的违约距离普遍较长,ST公司的违约距离普遍较短。由图1我们可以更清晰地看出,非ST公司的违约距离明显大于ST公司的违约距离,因此,我们认为,KMV模型在度量我国上市公司信用风险方面具有较好的适用性。

四、完善我国商业银行信用风险度量度量体系的建议

(一)强化政府支持

我国政府要继续完善我国信用风险管理环境的建设,为商业银行信用风险度量和管理建立良好的外部环境。

1、政府应在全国范围内建立完善的信用制度

完善的信用制度有助于规范经济主体交易行为,稳定市场秩序,优化信用环境,防范和降低信用风险:政府应注重完善信用法制建设;政府应大力鼓励发展信用中介机构。

2、政府应建立健全的信用保险制度

我国政府应建立健全的信用保险制度,来促进建立完善的信用管理体系:加强信用保险立法;大力发展保险再保险;完善信用保险监管机制。

3、政府应大力发展信用文化建设

为努力提高全体社会信用文化建设,降低信用风险,政府应当大力发展信用文化建设:加强信用文化宣传;强化企业信用文化建设;政府应有意识地在社会精神文明建设中引入信用文化建设[6]。

(二)强化金融监管

在商业银行信用风险管理过程中,监管当局起着重要作用,强化金融监管,建立有效的监管体系,对于商业银行防范和降低信用风险具有重要的意义。

1、明确银行监管职责,提升监管机构的监管力度

我国金融监管机构应明确监管职责,对发放和吊销银行营业执照、清算或关闭银行、制定和执行各项业务规则、发起处罚评判和紧急行动、发起停职命令或罢免管理层等监管职责进行明确分类。为保证监管能力和监管效率的提高,监管当局须有充分的人力、物资资源来确保监管目标的实现,同时监管当局应有一定的自主权和执行权,在受到来自政府、股东、借款者、银行、存款者和授信者等的无理要求时,应当坚决抵制。

2、加强现场检查和非现场监督

非现场监督以银行事先提供财务报告为基础,系统地搜集、分析与资本充足率、信贷资产流动性、信贷资产质量、信用风险、信用风险暴露以及集中程度、信贷资产盈利性、外汇风险等有关的数据,同时还要求每日或每周提供一次流动性报告,每个季度提供一次财务报表等,努力为商业银行承担信用风险能力提供更为详细的报告,其实质是在银行财务数据的基础上建立起来的信用风险早期预警系统。现场检查是非现场监督的补充,使监管当局在非现场监督的基础上进一步对细节进行检查,以此判断银行未来的生存和发展能力。现场检查可以帮助监管者对银行总体经营状况、信用风险度量控制系统、报告的准确性、内控程序以及高层管理者素质和胜任能力等进一步进行充分性评估,从而对银行提供信息的准确性进行验证,对银行出现的问题进一步进行诊断,进而对银行经营能力和发展进行全面评估。

3、健全早期预警系统

我国监管当局应建立健全的早期预警系统,结合定性和定量因素,对商业银行进行信用风险评估并识别潜在问题,防范和降低信用风险。

(三)强化商业银行信用风险度量与控制能力

在我国商业银行信用风险管理流程的实践环节之中,信用风险识别是其基础环节,信用风险度量是其核心环节,因此,在我国商业银行信用风险管理流程当中,应对信用风险的识别和度量能力给予高度重视。

1、稳定银企长期合作关系

从客户角度来说,客户与银行的长期合作,能够拓宽融资渠道,降低融资成本;客户发生违约时,会使其的信誉度降低,从而降低自身的融资能力,因此,客户通过权衡眼前利益和长远利益,会尽量避免违约。从银行角度来说,与客户保持长期的联系,会对客户过去的资金周转、还贷守信等情况比较了解,减少客户信息搜集成本,从而更容易识别信用风险。

2、强化商业银行信用风险度量和控制

逆向选择风险的存在使得我国商业银行应加强对客户财务信息、非财务信息、经营状况等真实信息的掌握。同时,我国商业银行应加强对客户所在行业的信用风险分析,并在贷款信用风险管理过程中纳入专家分析法、统计分析法等,通过上述分析方法来判断行业之间的相关性,从而建立起准确的信用风险度量模型来对预期损失进行精确地估算;同时,商业银行应借鉴国外商业银行先进的管理经验,对不同客户采取不同的信息搜集战略。

3、努力健全商业银行内部评级制度

我国商业银行应借鉴国外银行先进的的理念,结合我国实际情况建立适合我国商业银行发展的健全的内部评级系统。第一,完善现有基础数据库,不断充实信息数据库。我国商业银行应高度重视行业研究,对不同行业分别进行系统的研究,并关注国内外最新发布的各项相关信息,为不断充实信息数据库做好基础准备工作,从而促使信用评级工作效率提高。同时,在考察受评对象偿债能力时,不仅要考虑受评对象的营利能力、现金流量的充足性、资产负债等因素,还要考虑受评对象的产权结构和管理水平、所处行业特点、市场竞争态势等,为完善客户基础数据库提供更加全面的信息,为内部评级工作的顺利开展做好充足的准备工作。第二,进一步完善违约概率模型。针对信用评级结果建立专门的检验系统,在检验信用评级结果时,其唯一标准是违约概率,同时,它也为投资者做出决策提供重要依据。第三,健全商业银行计算机网络系统。在我国商业银行内部建立从营业网点、支行、分行到总行的完整的信息网,使其能够对数据进行更加集成、稳定、及时的分析,为市场营销和管理决策、行业分析提供针对性更强的技术支持;为避免道德风险和内部风险,应建立全面的风险内控机制,以此强化信用风险监督控制的权威性和效力;建立一定的决策支持系统,加强对产品生命周期、客户技术的预测,以此来提高商业银行信用风险防范和度量能力[7]。

4、加快内部评级法技术研发速度,不断完善信用风险度量模型

《巴塞尔新资本协议》中明确规定了内部评级法的重要性。《巴塞尔资本协议Ⅲ》与《巴塞尔资本协议Ⅱ》相比,在信用风险度量方面提出一些新的标准:银行使用内部评级法计量资产证券化监管资本要求应给予再证券化风险暴露更高的风险权重,标准法下的再证券化风险暴露的风险权重也应有所保证,同时银行不得使用基于自身保证的评级;引入融资流动性监管的全球基本标准;在最低资本要求之上建立逆周期超额资本框架;发布跨境银行风险处置的建议原则;修改交易账户资本计提准则,以更高的资本要求来反映复杂交易活动的信用风险,同时引入压力条件下的风险价值要求;引入杠杆率作为新资本协议的最低保障机制;拓宽了资本计量范围;《稳健的压力测试实践和监管原则》建议银行侧重于对金融危机中凸显的风险缓释和风险传递予以关注;等等。当前国际商业银行界大都将违约率和违约损失率作为信用风险度量和管理的主要指标,违约率和违约损失率模型又是内部评级法的核心,其可以较为全面地、准确地度量信用风险。但我国商业银行在其信用风险管理和资产负债管理过程中则仍主要采用不良贷款率指标,但不良贷款率指标作为一个时点数值,在度量信用风险时具有一定的局限性。因此,我国商业银行应积极向西方发达国家学习,学习国外商业银行在信用风险度量和管理过程中所采用的先进技术,加快对内部评级法技术的研发,建立健全的信用风险评级系统和完整的信用评级标准以及健全的商业银行信用风险管理预警体制,为我国商业银行业全面实行《巴塞尔新资本协议》奠定坚实的制度基础。

5、强化商业银行风险管理文化

良好的信用风险管理文化有助于努力防范和降低信用风险。我国商业银行应注重信用风险管理文化的培养,将信用风险管理理念深植于每一员工意识之中,以此强化信用风险管理文化理念和意识,使信用风险得到有效防范。

   作者:中国农业发展银行巨野县支行

加载中...