新浪财经

关于发布上证企债30和上证海外上市A股等指数的公告

全景网络-证券时报

关注

采用派许加权综合价格指数公式进行计算,公式如上:
上证地方国有企业50指数和上证国有企业100指数采用派许加权方法,按照样本股的调整股本数为权数进行加权计算,计算公式为:
其中a为斜率,b为截距,t为以月份表示的年。
内部增长率G=净资产收益率×(1-红利支付率)
确定Z值的方法如上:
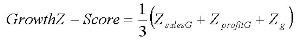
成长Z值的计算公式:
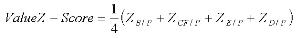
价值Z值的计算公式为:
上证全指风格指数系列采用派许加权综合价格指数公式进行计算,计算公式如上:
当样本券的市值出现非交易因素的变动时,采用“除数修正法”修正原除数,以保证指数的连续性。修正公式为:
五、指数计算与修正

为进一步丰富上证指数体系,推进产品创新,上海证券交易所和中证指数有限公司将于2010年1月第一个交易日正式发布上证企债30指数、上证海外上市A股指数、上证地方国有企业50指数、上证国有企业100指数、上证全指成长指数、上证全指价值指数、上证全指相对成长指数、上证全指相对价值指数和上证沪企指数等九条指数,指数编制方案详见上海证券交易所网站(www.sse.com.cn)和中证指数有限公司网站(www.csindex.com.cn)。

上海证券交易所

中证指数有限公司

2009年12月17日

附件一:

上证海外上市A股指数编制方案

上证海外上市A股指数从上海证券交易所上市的证券中挑选同时在上海证券交易所以及大陆以外交易所上市的上市证券组成样本,以反映上海证券市场上含有海外上市股份的证券的整体走势,同时为投资者提供新的分析工具和投资标的。

一、指数代码、名称

指数代码:000054

指数名称:上证海外上市A股指数

指数简称:上证海外

指数英文名称:SSE Overseas-listing A shares index

指数英文简称:SSE Overseas-listing

二、指数基期与基点

上证海外上市A股指数以2006年12月29日为基日,以该日所有样本的调整市值为基期,基点为1000点。

三、样本选取办法

1.样本空间

指数样本空间由同时满足以下条件的证券组成;

■在上海证券交易所上市交易,同时在其他大陆地区以外的交易所上市交易;

■上证180指数样本股

2.选样方法

选取所有样本空间内证券组成指数样本。

四、指数计算

采用派许加权综合价格指数公式进行计算,公式如下:

其中,调整市值 = ∑(股价×调整股本数×权重上限因子),调整股本数同该股票在上证180指数中的调整股本数。权重上限因子介于0和1之间,以使样本股权重不超过15%。

五、指数修正

需要修正的情况,参照上证180指数。

六、样本股调整

上证海外上市A股指数样本随上证180指数样本变化,发生相应变化。

七、权重上限因子调整

权重上限因子每年随样本股定期调整而调整两次,调整时间为每年1月和7月的第一个交易日,以调整前最后一个交易日收盘的调整市值来计算调整时的权重上限因子。当出现样本股临时调整时,以调整前最后一个交易日收盘的调整市值来计算调整时的权重上限因子;当样本股股本结构出现显著变化或者其它原因导致其权重发生突变时,将决定是否对权重上限因子进行临时调整。

附件二:

上证地方国有企业50指数和上证国有企业100指数编制方案

一、指数名称和代码

上证地方国有企业50指数简称上证地企,英文名称为SSE Local State-owned Enterprises 50 Index,英文简称为SSE Local State-owned 50,指数代码为000055。

上证国有企业100指数简称上证国企,英文名称为SSE State-owned Enterprises 100 Index,英文简称为SSE State-owned 100,指数代码为000056。

二、基日和基点

上证地方国有企业50指数和上证国有企业100指数基日为2009年6月30日,基点为1000点。

三、样本选取方法

上证地方国有企业50指数:

1、样本空间

上证地方国有企业50指数的样本空间由同时满足以下条件的沪市A股股票组成:

□在上海证券交易所上市的实际控制人为地方国资委、地方人民政府、地方国有企业的上市公司股票;

□上市时间超过三个月,除非该股票自上市以来的日均总市值排在沪市前18位;

□非ST,*ST股票,非暂停上市股票;

□经营状况良好,最近一年无重大违法违规事件,财务报告无重大问题;

□股价无明显的异常波动或市场操纵。

2、选样方法

第一,计算样本空间内股票最近一年(新股为上市以来)的A股日均成交金额与日均总市值;

第二,对样本空间内股票在最近一年的A股日均成交金额和日均总市值由高到低排名,然后将两指标的排名结果相加,所得和的排名作为股票的综合排名,原则上选取排名在前50名的股票作为指数样本。

上证国有企业100指数:

上证国有企业100指数样本由上证地方国有企业50指数和上证中央企业50指数样本组成。

四、指数计算与修正

上证地方国有企业50指数和上证国有企业100指数采用派许加权方法,按照样本股的调整股本数为权数进行加权计算,计算公式为:

其中:调整市值= ∑(股价×调整股本数×权重上限因子),调整股本数的计算方法同上证180指数。权重上限因子介于0和1之间,以使单个样本股权重分别不超过15%和10%。指数的修正同上证180指数。

五、定期调整

上证地方国有企业50指数依据稳定性和动态跟踪相结合的原则,每年定期审核两次样本股,并根据审核结果调整指数样本股。除非原样本股因上市公司实际控制人变更导致的调整比例超过10%,原则上每次调整比例不超过10%。样本股调整实施时间为每年1月份和7月份的第一个交易日。样本股定期调整时设置缓冲区,排名在40名内的新样本优先进入,排名在60名之前的老样本优先保留。

上证国有企业100指数样本随上证地方国有企业50指数和上证中央企业50指数样本的定期调整而随之进行调整。

六、临时调整

当上市公司股权关系发生变动导致其控股属性发生变化或者指数成份股出现吸收合并等事件时,将对上证地方国有企业50指数样本进行临时调整,两次定期调整之间,上证地方国有企业50指数的样本数量可多于或少于50只。

当上证地方国有企业50指数和上证中央企业50指数样本发生临时调整时,上证国有企业100指数样本随之调整。

七、权重上限因子调整

权重上限因子每年随样本股定期调整而调整两次,调整时间为每年1月和7月的第一个交易日,以调整前最后一个交易日收盘的调整市值来计算调整时的权重上限因子。

当出现样本股临时调整时,以调整前最后一个交易日收盘的调整市值来计算调整时的权重上限因子;当样本股股本结构出现显著变化或者其它原因导致其权重发生突变时,将决定是否对权重上限因子进行临时调整。

附件三:

上证全指风格指数系列指数编制方案

一、指数名称和代码

二、基日和基点

上证全指风格指数系列均以2003年12月31日为基日,基点为1000点。

三、样本选取方法

1、样本空间

上证全指风格指数以上证全指样本股为样本空间。

2、选样方法

2.1 计算价值因子与成长因子的变量数值

计算用于确定价值和成长特征的变量值。

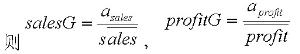
成长因子:主营业务收入增长率、净利润增长率和内部增长率

价值因子:D/P、B/P、CF/P、E/P

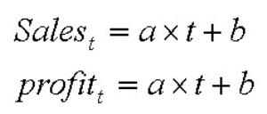
在计算主营业务收入和净利润增长率时,用过去3年主营业务收入与净利润数据采用回归方法确定长期增长趋势。

其中a为斜率,b为截距,t为以月份表示的年。

然后估算出主营业务收入增长率与净利润增长率的平均值■。

内部增长率G=净资产收益率×(1-红利支付率)

价值因子的计算:

D/P=过去1年的现金红利/过去1年的日均总市值

E/P=过去1年的净利润/过去1年的日均总市值

B/P=最近1期报表的净资产/过去1年的日均总市值

CF/P=过去1年的净现金流量/过去1年的日均总市值

2.2 极值处理

为确保用于标准化处理的市场均值不会因为极值而受到太大影响,首先需对变量进行极值调整。

计算每一个变量时,先对样本空间内所有股票的数值按照升序排列。对于处在下端5%或者上端95%等级的数值,分别设定为第5%等级与95%等级的数值。

2.3 缺省值处理

若某股票的一个或者多个成长因子或者价值因子缺失,则采用该股票同行业的平均值代替。

2.4 计算变量Z值

Z值是最常见的变量标准化处理方法,它是为了将其与计量单位不同或者标度不同的其他变量组合在一起。确定Z值的方法如下:

计算风格Z值

一个公司的成长Z值是3个成长因子Z值的均值,价值Z值是其4个价值因子Z值的均值。

成长Z值的计算公式:

价值Z值的计算公式为:

3确定指数样本股

3.3.1风格指数

第一步:选取成长Z值最高的150只股票作为成长指数样本股;

第二步:选取价值Z值最高的150只股票作为价值指数样本股。

3.3.2相对风格指数

第一步:将仅为成长指数样本股股票的成长风格权重设为1,价值风格权重设为0;

第二步:将仅为价值指数样本股股票的价值风格权重设为1,成长风格权重设为0;

第三步:将其他样本股按照成长排名/价值排名进行升序排列,并按照下述标准进行风格系数的分配:

成长排名/价值排名风格权重

前1/3 75%成长/25%价值

中间1/350%成长/50%价值

后1/3 25%成长/75%价值

四、指数计算与修正

上证全指风格指数系列采用派许加权综合价格指数公式进行计算,计算公式如下:

其中,调整市值 = ∑(股价×调整股本数)。

五、样本股调整

上证指数专家委员会一般在每年的6月及12月的中上旬开会审核上证全指风格指数系列,样本股调整实施时间分别是每年7月、1月份的第一个交易日。定期调整指数样本时,上证全指成长指数与上证全指价值指数每次调整比例一般不超过20%。

当上证全指指数中有样本股被剔除,那么它也将被立即调出相对风格指数。新进股票应按照相对风格指数中确定风格权重的方法加入到相应指数中。

上证全指指数样本股临时调整时,风格指数的处理原则是“只出不进”。即,如果上证全指指数中有样本股被剔除,且此样本股属于风格指数,那么它也将被立即调出风格指数,该股票调出后,不再增加新的股票来替代风格指数中被删除的样本股,风格指数样本股数量短期内少于(在样本股分拆情况下,可能多于150只)150只,在下一次定期调整时调整为150只。

附件四:

上证企债30指数编制方案

一、指数代码、名称

指数代码:000061

指数名称:上证企债30指数

指数简称:沪企债30

指数英文名称:SSE Corporate Bond 30 Index

指数英文简称:SSE Corporate Bond 30

二、选样

(一)样本空间

·债券种类:在上海证券交易所上市交易的非股权连接类的企业债券,包括公司债券和分离交易可转换债券。

·剩余期限:1年以上。

·付息方式:固定利率付息和一次还本付息。

·信用级别:AA级及以上。

(二)选样方法

步骤1在样本空间中,首先计算考查区间内日成交金额的中位数,然后将中位数位于后50%的样本剔除;

步骤2对剩余样本按成交金额、交易天数、发行规模综合排名,选取排名前30位的样本作为指数样本。

上证企债30指数的久期尽量与上证企债指数的久期保持一致,偏差幅度一般不超过10%。

三、指数计算

(一)基日

基日为2008年12月31日,基点为100 点。

(二)计算公式

以样本债券的发行量为权数,采用派许加权综合价格指数公式计算。公式为:

报告期指数=[(报告期样本债券的总市值 + 报告期债券利息及再投资收益)/基期]×基期指数

其中,总市值 = ∑(全价×发行量×权重上限因子)。权重上限因子介于0和1之间,以使样本券权重不超过15%。

全价=净价+应计利息

报告期债券利息及再投资收益表示将当月付息样本债券利息收入再投资于债券指数本身所得收益。

(三)取价规则

选取债券实际市场价格用于计算指数,若当日没有交易,则取最近交易日的价格计算指数。

四、指数修正

(一)修正公式

当样本券的市值出现非交易因素的变动时,采用“除数修正法”修正原除数,以保证指数的连续性。修正公式为:

其中,修正后的市值 = 修正前的市值 + 新增(减)市值;

由此公式得出新除数(即修正后的除数,又称新基期),并据此计算以后的指数。

(二)需要修正的几种情况

发生指数样本券调整时,在调整实施前一个交易日修正指数。

凡有样本债券发生发行量变动,在变动日前修正指数。

月末最后一个交易日,将当月样本债券利息及再投资收益从指数中去除。

五、样本调整

指数样本原则上每季度调整一次,实施时间分别为每年1月、4月、7月和10月份的第一个交易日。若某样本券在两次定期调整之间发生不满足选样条件的情况,指数公司将视具体情况进行处理。

附件五:

上证沪企指数编制方案

一、指数名称和代码

指数代码:000062

指数名称:上证沪企指数

指数简称:上证沪企

指数英文名称:SSE Shanghai enterprises Index

二、基日和基点

上证沪企指数以2005年12月31日为基日,基点为1000点。

三、样本空间

上海沪企指数的样本空间由同时满足以下条件的A股股票组成:

●在上海证券交易所上市,注册地在上海的上市公司;

●上市时间超过3个月,除非该股票自上市以来的日均总市值排在沪市前18位;

●非ST,*ST股票,非暂停上市股票;

●经营状况良好,最近一年无重大违法违规事件,财务报告无重大问题;

●股价无明显的异常波动或市场操纵。

四、选样方法

步骤1:计算样本空间内股票最近一年(新股为上市以来)的A股日均成交金额与日均总市值;

步骤2:对样本空间内股票在最近一年的A股日均成交金额由高到低排名,剔除排名后20%的股票,

步骤3:对剩余股票按照最近一年日均A股总市值由高到低进行排名,原则上选取排名在前50名的股票作为指数样本。

五、指数计算与修正

上证沪企指数采用派许加权方法,按照样本股的调整股本数为权数进行加权计算,计算公式为:

其中:调整市值= ∑(股价×调整股本数×权重上限因子),调整股本数的计算方法同上证180指数。权重上限因子介于0和1之间,以使单个样本股权重不超过15%。

六、定期调整

上证沪企指数依据稳定性和动态跟踪相结合的原则,每年定期审核两次样本股。样本股调整实施时间为每年1月份和7月份的第一个交易日。样本股定期调整时设置缓冲区,排名在40名内的新样本优先进入,排名在60名之前的老样本优先保留。

七、权重上限因子调整

权重上限因子每年随样本股定期调整而调整两次,调整时间为每年1月和7月的第一个交易日,以调整前最后一个交易日收盘的调整市值来计算调整时的权重上限因子。

当出现样本股临时调整时,以调整前最后一个交易日收盘的调整市值来计算调整时的权重上限因子;当样本股股本结构出现显著变化或者其它原因导致其权重发生突变时,将决定是否对权重上限因子进行临时调整。

加载中...