新浪财经

期权交易的“艺术”:波动率如何预测?

期权时代

关注

01

期权波动率主要类型及相互关系

波动率通常定义为价格连续复利收益率的标准差,是衡量价格波动的百分比,只体现价格波动幅度的大小,而不考虑价格变动的方向,即价格波动的剧烈程度。

当其他因素不变,波动率越高期权的价格也越高,即与期权权利金成正相关关系。

通常,波动率可以分为以下四类:

历史波动率,是对一个特定时段里,每日回报年度化的标准偏差。计算历史波动率时要确定时间段和价格取值方式,时间段可以是最近的30天、90天或任何适当天数;价格通常采用每天的收盘价。计算步骤为先计算出每天的对数收益率,然后取这段时期的对数收益率的标准差,最后进行年化调整。

未来价格波动率,指的是在未来某个时段里每日回报年度化的标准偏差,一般是指从现在到一个期权的到期日。在利用B-S期权定价模型计算期权理论价格时,原定义需要的是未来价格波动率,不幸的是,期货的波动率只有在变为历史波动率才是可知的。因此在期权定价公式里的波动率只是对期货波动率的估量。

预期价格波动率,是期权交易者根据市场情况与历史数据对未来的价格波动率做出的一种预测。是对未来波动率的一种估量,交易者将它用在期权定价公式里,对一个期权的理论价格做评估。

隐含波动率,是指实际期权价格所隐含的波动率。它是利用B-S期权定价公式,将期权实际价格以及除波动率σ以外的其他参数代入公式而反推出的波动率。期权的实际价格是由众多期权交易者竞争而形成,因此,隐含波动率代表了市场参与者对于市场未来的看法和预期,从而被视为最接近当时的真实波动率。

在以上四类波动率中,历史波动率最易获得,隐含波动率最接近真实波动率,因此是实际应用最多的两种波动率。不过,隐含波动率是利用实际期权价格倒推而得,利用隐含波动率计算当时的实际期权价格便成为一种不现实。计算期权理论价格时最常用的仍然是历史波动率。

02

波动率斜率:微笑与偏斜

(1)波动率斜率

波动率斜率描述在标的物相同、到期日相同,但执行价格不同的期权按不同的隐含波动率进行交易。每一个执行价的同月份期权都会对应一个隐含波动率,如果我们把横轴取为执行价,而纵轴取为隐含波动率,则我们可以发现隐含波动率关于执行价格的函数不是一条水平的直线,而是一个曲线。

(2)波动率微笑

而波动率微笑(volatility smile) 表示波动率在保持到期日不变的情况下随执行价格变化情况,进一步解释是虚值期权(out of money) 和实值期权(in the money)的波动率高于平值期权(at the money)的波动率,形成一条中间低两边高的向上半月形,形状像“微笑”。波动率微笑多出现在外汇期权市场。

图 波动率微笑

(3)波动率偏斜

在大多数情况下,波动率并不总是微笑的,我们称之为波动率偏斜。波动率偏斜也分为两种,一是广义的波动率偏斜,指的是各种形状的波动率曲线。二是狭义的波动率偏斜, 专指低执行价的隐波高于高执行价隐波的波动率曲线。

图 波动率偏斜

造成波动率偏斜现象的原因解释主要有三种:

指数短期暴涨的概率要低于暴跌的,市场交易者对下方的保护要求多于对上方投机的贪婪。

期权交易策略中有人偏好卖出较高执行价的看涨期权,同时买入较低执行价认沽,当作股价下行风险的保险,这样的供需关系也就决定了低执行价期权具有高的隐含波动率,而高执行价期权具有低的隐含波动率。

隐含波动率可以视为市场未来收益的不确定性。股市下跌时将产生更多的恐慌与不确定性。例如,变化相同绝对值的数量,下跌时其跌幅会越来越大,而上涨时其涨幅会变得越来越少,如此会引起人们对下跌时产生更多恐慌。

(4)为什么会有斜率存在

一种可能的解释为,因为期权的价格是由供求关系决定的,对不同的期权有不同的供求力量。因为期权可以同保险相比,而执行价可以同折扣相比,这就使不同执行价的期权有不同的保护,可以有不同的供给和需求的因素。这就可能像“便宜的保险”有更多的需求一样,绝对价格较低的保险有更多的需求。

为了满足更大的需求,按照这个推理,低成本保险的出售者就要求有“高风险的保证金”。这就意味着较高的隐含波动率,而不是较高的决定价格。

(5)波动率斜率是如何影响交易决策的

交易者做预测时必须考虑到波动率斜率的存在。譬如,假定相对平值期权执行价A来说,虚值期权桥定价O在较高的的隐含波动率上交易。随着期货的价格从执行价A运动到执行价O,很可能会有这样的倾向——使用执行价O 的看涨期权和看跌期权的隐含波动率会下降,而是用执行价A 的看涨和看跌期权的隐含波动率会上升。

如果其他因素都不变,波动率斜率的存在对虚值期权的买家来说,往往是一个不利因素。当然,其他因素可能保持不变,出现这种情况的机会也是微乎其微的。隐含波动率的总体水平可能会UI发生变化,波动率斜率的坡度也可能发生变化。

这两种市场情况的变化都会产生对具体期权策略有利的或不利的影响。因此,期权的交易者必须考虑到波动率斜率的存在,以及隐含波动率的总体水平。

03

期权波动率的度量方法

历史波动率的估计思路一般是根据资产价格时间序列数据,计算出相应的波动率数据,然后运用统计推断方法估算回报率的标准差,从而得到历史波动率的估计值。

资产价格时间序列数据处理

在处理资产价格时间序列数据时,一般有两个方法:百分比价格变动法和对数价格变动法。

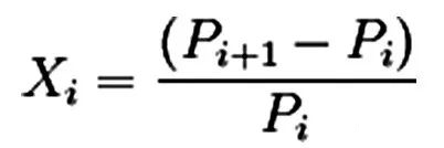
百分比价格变动法(即价格的环比增长速度)计算公式为:

其中,Xi是资产的百分比收益,Pi是基期资产的价格,Pi + 1是报告期资产的价格。

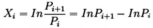
对数价格变动法计算公式为:

其中,Xi是资产的对数收益,Pi是基期资产的价格,Pi + 1是报告期资产的价格。

值得注意的是,上述两个公式的假定不一样,百分比收益公式假定有固定的不连续间隔价格变化,而对数收益公式假定价格是连续的变化。在Black-Scholes模型中,假定价格变动是连续的。所以,在研究估计波动率时一般采用对数收益公式。

度量波动率常见方法

度量波动率的方法有很多,比较常见的是标准方差波动率、Parkinson估计量、Garman-Klass估计量和Yang-Zhang估计量。

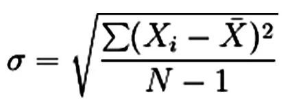
波动率的标准定义是方差的平方根,具体计算为针对资产的对数收益求其平均数 ,然后根据下面公式得到历史波动率的估计值。

这里,N是观察值的数量, σ代表对数收益的平均离差,即标准差。若将日、周等标准差转化为年标准差,需要乘以以年为单位的频数长度的平方根。如美国期权市场一年有252个工作日,Xi为日变量,则年波动率为:

标准方差波动率没有考虑一些具体情况,如股息的支付(或者拆股),仅是历史波动率粗糙的表征,但标准方差波动率是各种调整方法的基础,Parkinson估计量、Garman-Klass估计量和Yang-Zhang估计量等估计方法都是在标准方差波动率基础上进行了一定的改进。

Parkinson(1980)估计量采用了交易时段最高价和最低价两个价格数据,利用极差进行估计,该估计量只需要较少的时间周期就可以收敛于真实波动率。该估计量可以使价格波动区间在一定假设下比基于收盘价的估计量更能有效地估计回报波动率。

Parkinson(1980)估计量提供了一个对日最高与最低价格经验性质的探究性分析,建立了一个基于最高价和最低价时间序列预测模型,对未来价格波动区间的量化分析提供了重要的参考。

Garman-Klass(1980)利用了交易时段最高价、最低价和收盘价三个价格数据进行估计,该估计量通过将估计量除以调整因子来纠正存在的偏差,以便得到方差的无偏估计。但Garman-Klass(1980)估计量无法解决价格序列中存在跳空开盘的情况。

Yang-Zhang(2000)推导出了适用于价格跳空开盘的估计量,本质上是各种估计量的加权平均。

上述讨论的几种波动率估计量,每类估计量都克服了上类估计量的不足,因此每次更迭都比上一次更优。但值得注意的是,在仿真和实际环境下进行测试表明,没有任何迹象显示哪一个估计量是最好的,因为所有的度量方法都包含一定的信息量。

如果Parkinson波动率是50%,而标准方差波动率只有20%,至少可以认为真实波动率绝大部分是由较大的日内极差造成的,在决定对冲策略时,这些信息是很有用的。

04

预测波动率的常用模型

在实际交易层面,预测波动率是十分重要的,在了解了如何估计历史波动率后,以历史波动率作为初始预测值,根据定量资料和新得到的实际价格资料,不断调整修正,预测波动率就显得非常重要。

在预测波动率时,常见的模型有滑动窗口法、加权移动平均(EWMA)模型和广义自回归条件异方差(GARCH)模型。

滑动窗口法

滑动窗口法假设未来N天的波动率水平和过去N天的相同。因此只要我们估计出过去的历史波动率,就可以把历史波动率当作未来的预测波动率。但这种预测方法存在一个明显的问题,就是资产价格大幅变动会在波动率估计量的序列保持一段时间后突然消失,使得对波动率的预测存在较大的偏差。

指数加权移动平均(EWMA)模型

指数加权移动平均模型通过对最近一期的收益率的平方与前一期的方差进行加权平均,得到当前一期的方差。这种方法简单易用,便于理解,但不够灵敏。如果某一事件确实是异常事件,那么在预测未来波动率时,最好将这个异常数据删除,但指数加权移动模型假设事件的影响呈指数式递减,其实只是将这一问题简单回避掉了。

此外,该模型没有考虑最近的波动率估计量所处的市场环境,如指数加权移动模型忽略了高波动率后往往是低波动率的现象,对任何一天的预测值都是一样的,这与实际情况不太相符。

广义自回归条件异方差(GARCH)模型

广义自回归条件异方差(GARCH)模型族引入了预期回复的长期平均方差水平项,解决了EWMA无法实现波动率均值回归的问题。在实际期权交易中,常常用GARCH(1,1)模型预测波动率,该模型能够捕获一些方差随时间演变的因素,而且该模型能被大量简单的基于市场微观结构的论据所支持。

GARCH模型也存在一定的不足,如该模型不能解释资产收益和收益变化波动之间出现的负相关现象。GARCH(p,q)模型假定条件方差是滞后残差平方的函数,因此,残差的符号不影响波动。

但在实际交易和实证研究中发现,当利空消息出现时,即预期资产收益会下降时,波动率趋向增大;当利好消息出现时,波动率趋向减少。GARCH(p,q)模型不能解释该现象。

此外,由于GARCH模型中正的和负的对冲对条件方差的影响是对称的,GARCH模型不能体现收益率条件方差波动的非对称性。

通过上述介绍,可以看出,没有哪一种度量方法是万能的,具体使用哪一种方法依赖于具体的环境。预测更像一门艺术,而对估计量、采样频率和预测方法的选择往往需要依靠经验。

在适当的市场环境中,一些方法的效果要好于其他方法。但在判断波动率是否处于极端水平还是市场正常水平时,需要综合考虑整个市场的发展状况。

05

如何计算隐含波动率

隐含波动率是用市场上正在交易的期权现价求出的,所以表示为当前波动率。

我们把市场中的期权现价用CM表示,期权理论价函数为C(S, X, r, T, σ)。

计算隐含波动率的方法有很多种,但这些方法都是利用了期权波动率越大,期权价格也会越大的特性,具体计算过程包括以下4个阶段。

第一阶段

CM>C(S, X, r, T, 20%),在波动率参数代入20%后,理论价格仍小于市场价格,说明若要与市场价格相同,需要代入的波动率参数要大于20%。

第二阶段

CM

第三阶段

CM>C(S, X, r, T, 30%),在波动率参数代入20%与40%之间的值30%后,理论价格仍小于市场价格,所以需要代入30%与40%之间的值。 

第四阶段

CM = C(S , X, r, T, 35%),在波动率参数代入35%时,理论价格与市场价格相同,得出IV=35%。 

利用期权波动率越大,期权价格也会越大的特性,可以找出使期权市场价格与理论价格相同的波动率。

因此,隐含波动率是使期权市场价格和理论价格相同的波动率。隐含波动率是通过市场中正在交易的期权现价求出的,所以可以解释为当前波动率。

我们在期权交易时经常会提到“期权波动率”一词,值得注意的是,严格来说它并不是期权的波动率,而应该是期权标的资产的波动率。同样,前面提到的未来波动率和历史波动率也都不是期权本身的波动率,而是期权标的资产的波动率。 

那么,隐含波动率中的标的资产波动率具体是指什么呢?

在市场中交易的期权价格都是在市场参与者协商的基础上导出的值。在市场中参与的买卖双方协商的价格就是期权交易价格,也即期权市场价格。

此时的隐含波动率可以说是市场参与者协商或预测的当前时点到期权到期时标的资产的波动率。如果在某种特殊情况下隐含波动率为100%,那么市场中的买卖双方对当前时点到期权到期时标的资产的波动率达成的共识是100%。

若隐含波动率为15%,则说明市场参与者预测当前时点到未来到期期间的标的资产波动率为15%。虽然隐含波动率没有直接告诉我们未来波动率是多少,但它却是可以把当前情况最精确显示出来的指标。 

这里需要明白的是,即便对当前情况很明确,也无法预知未来,因此通过隐含波动率无法正确判断期权价格是被高估的还是被低估的。但波动率与股市中的其他指标不同的是,它有很高的平均回归性,即波动率极度上涨后就会下跌、极度下跌后就会上涨的特性非常明显。

如果不是只做趋势交易,而是通过看涨期权和看跌期权的组合进行策略交易,那么隐含波动率应该是重点考虑的要素。

加载中...