新浪财经

期权定价之B-S模型

上交所期权之家

关注

期权定价之B-S模型

期权价格是如何得来的?当然是通过交易得来。那么决定期权价格的影响因素有哪些呢?一般认为影响期权价格的因素主要有六个,分别是标的价格、行权价格、无风险利率、标的价格的波动率、距离到期日的时间和股息率。正是这六个因素的千变万化使得期权的价格在市场上时时刻刻发生变化。那么,这六个因素具体如何影响期权价格?是不是有一个关系式能够直接刻画期权价格与这六个影响因素的关系呢?

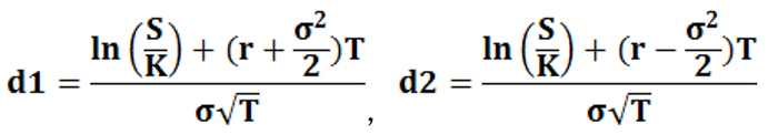
其实,自从期权交易产生以来,尤其是股票期权交易产生以来,学者们一直致力于对这一关系式的探讨。1973年,美国芝加哥大学教授 Fischer Black和Myron Scholes发表《期权定价与公司负债》一文,提出了著名的Black-Scholes期权定价模型,在学术界和实务界引起了强烈的反响,Myron Scholes因此获得了1997年的诺贝尔经济学奖。B-S模型利用复制资产和无套利假设的方法,得出了反映期权价格与标的价格、时间之间的微分方程,并求解出著名的B-S期权定价公式:    

注:N(.)表示为标准正态分布函数,公式中的r、σ、T都是年化后的值。

实务中我们最关心的是如何运用B-S模型?其实非常简单。当我们输入B-S模型中所要求的期权行权价格、标的证券价格、无风险利率、到期时间和波动率,就能得到期权的价格;而在我们输入期权行权价格、标的证券价格、无风险利率、到期时间和期权价格时,就能得到期权当下的隐含波动率。隐含波动率作为期权里非常重要的一个的指标,是衡量期权价格高低的一个重要参考因素。譬如,某一期权合约的隐含波动率高于历史波动率达到一定程度,且明显超过其他行权价合约的隐含波动率,那么该期权合约的价格可能存在高估的现象。

加载中...