探究中证1000股指期权,无风险套利策略
期权时代
01
情况介绍
作为中金所推出的第二个指数期权,中证1000股指期权延续了沪深300股指期权制度的优点,如欧式期权、现金交割等优点。一方面,从目前全球最活跃的指数期权情况来看,欧式期权明显较美式期权更活跃,减少期权卖方风险,有利于期权客户进行策略交易、套利交易,提高期权交易的流动性。另一方面,中证1000股指期权和股指期货的最后交易日均为合约到期月份的第3个星期五,遇国家法定节假日顺延,最后交易日即为交割日,交割方式均为现金交割。这样一来,中证1000股指期权和中证1000股指期货的交割效率将高于已上市的ETF期权和商品期权,期权买卖双方账户只需要准备好足够现金,到期如有未平仓期权合约,将以现金划转的方式来完成交割,而不需要购买一揽子股票用于交割,节省了交割成本。此外,中证1000股指期权和中证1000股指期货的结算价均为标的中证1000指数最后2个小时的加权平均价,这为交割套利提供了理论基础。
理论研究
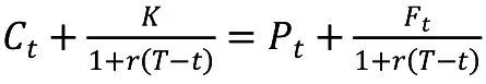
由于中证1000股指期权为欧式期权,且和中证1000股指期货的交割结算价、到期日相同,根据期权平价理论,在到期日,中证1000股指期权的市场表现应满足方程式(1)。若市场不满足方程式(1),则说明市场无效,投资者可以通过套利交易策略获得无风险收益。

(1)
其中,当前时间为t,T为到期日,C为看涨期权的价格,K是期权的执行价格,r为无风险利率,F为股指期货的价格,P为看跌期权的价格,(1)为期权执行价格无风险贴现值,(1)为股指期货无风险贴现值。
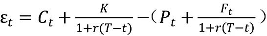
根据市场有效性假设和交割原理,在交割时间点看涨期权和看跌期权不存在套利空间,即看涨期权相对于看跌期权不存在高估现象,反之也成立。因此,定义(2),当(2)≠0且不考虑交易费用时,意味着期权市场可实现无风险套利。
对方程式(1)进行移项,可以得到方程式(2):

(1)
其中,当前时间为t,T为到期日,C为看涨期权的价格,K是期权的执行价格,r为无风险利率,F为股指期货的价格,P为看跌期权的价格,(1)为期权执行价格无风险贴现值,(1)为股指期货无风险贴现值。
根据市场有效性假设和交割原理,在交割时间点看涨期权和看跌期权不存在套利空间,即看涨期权相对于看跌期权不存在高估现象,反之也成立。因此,定义(2),当(2)≠0且不考虑交易费用时,意味着期权市场可实现无风险套利。
对方程式(1)进行移项,可以得到方程式(2):
(2)
当(2)>0时,看跌期权相对于看涨期权被高估,可以进行反转套利(又称正套),考虑中证1000股指期货合约乘数为200元/点,中证1000股指期权合约乘数为100元/点,即买入2份看涨期权,同时卖出2份看跌期权,并卖出1份中证1000股指期货,持有至到期交割。
当(2)<0时,看涨期权相对于看跌期权被高估,可以进行转换套利(又称反套),即买入2份看跌期权,卖出2份看涨期权,并买入1份中证1000股指期货,持有至到期交割。
在实际交易过程中,股指期权开平仓成本为15元/手,股指期货开仓成本为0.23?。因此,考虑交易成本后,定义股指期权和股指期货的建仓成本为costt,costt=60+0.36%Ft(单位:元/对),在统一单位为元/点计算套利空间,反转套利存在利润则有:

02
统计检验
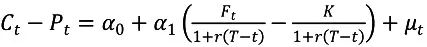
考虑到中证1000股指期权的市场流动性正在逐步发展,分析我国中证1000股指期权在上市初期的有效性,需检验股指期权市场价格是否满足期权平价关系再进行检验,即假设股指期权和股指期货存在如下回归特性:

02
统计检验
考虑到中证1000股指期权的市场流动性正在逐步发展,分析我国中证1000股指期权在上市初期的有效性,需检验股指期权市场价格是否满足期权平价关系再进行检验,即假设股指期权和股指期货存在如下回归特性:
(3)
由零值假设,若期权平价关系成立,则有a0=0,a1=1 。
为了对期权平价关系的稳定性进行检验,需要检验中证1000股指期权和中证1000股指期货的价格是否存在长期稳定的均衡关系,即检验Ct-Pt序列和(3)序列的稳定性。
本文采用2022年7月22日至11月18日4个月中证1000股指期权和中证1000股指期货的交易数据,共80个交易日,选择交易时间的每5分钟K线收盘价(一天48个数据)。很多研究显示,为避免最后交易日期权末日轮的影响,利用平价理论套利在平值期权状态套利次数最多。本文选择期权每日平值期权数据,是因为中证1000股指期权14:57—15:00为收盘集合竞价,避免集合竞价对套利买卖价差的影响。因此,剔除每天收盘最后5分钟数据,再剔除无交易的数据及最后交易日下午2个小时数据,共剩下3666个数据。
表为平稳性检验结果
从上表可以看出,在1%的显著性水平上,中证1000股指期权与中证1000股指期货的价格序列统计量均小于其临界值,因而拒绝原数据序列的单位根假设,也就是Ct-Pt序列和
利用普通最小二乘法(OLS)对回归模型进行零值检测,检验结果如下表所示。回归结果显示R2的值为0.359358,这表明拟合效果不佳, 显著不等于0, 显著不等于1,意味着中证1000股指期权和中证1000股指期货之间不存在长期的线性关系。由此说明,在中证1000股指期权上市初期,存在可以通过期权平价公式获得无风险套利机会。

表为回归分析结果
03
套利分析
在中证1000股指期权上市的前4个月里,共存在3653次套利机会,套利机会占比为49.82%,其中反转套利机会有1472次,转换套利机会有2181次。转换套利机会远大于反转套利机会,转换套利百分比为59.49%,反转套利百分比为40.15%,并且转换套利平均利润大于反转套利机会,反转套利平均套利价差为95.73点,转换套利平均套利价差为172.63点。由此说明,看涨期权相对看跌期权被高估,这可能是中证1000股指期货长期贴水运行所致。

下面对反转策略和转换策略进行月度分析,对比发现,中证1000股指期权在上市一个月内,套利机会相对不足,但套利空间较大。在中证1000股指期权上市1—2个月内,套利机会相对增加,且套利空间未出现收窄的情况。在中证1000股指期权上市3—4个月内,套利机会增加,其中反转套利机会增加明显,但套利空间收窄。

表为回归分析结果
03
套利分析
在中证1000股指期权上市的前4个月里,共存在3653次套利机会,套利机会占比为49.82%,其中反转套利机会有1472次,转换套利机会有2181次。转换套利机会远大于反转套利机会,转换套利百分比为59.49%,反转套利百分比为40.15%,并且转换套利平均利润大于反转套利机会,反转套利平均套利价差为95.73点,转换套利平均套利价差为172.63点。由此说明,看涨期权相对看跌期权被高估,这可能是中证1000股指期货长期贴水运行所致。

下面对反转策略和转换策略进行月度分析,对比发现,中证1000股指期权在上市一个月内,套利机会相对不足,但套利空间较大。在中证1000股指期权上市1—2个月内,套利机会相对增加,且套利空间未出现收窄的情况。在中证1000股指期权上市3—4个月内,套利机会增加,其中反转套利机会增加明显,但套利空间收窄。
图为中证1000股指期权套利机会对比
随着时间推移,一方面,市场投资者逐步熟悉中证1000股指期权的交易规则;另一方面,随着中证1000股指期权的流动性逐步提高,更多不同种类的投资者愿意参加期权交易,使得期权套利机会增大,但一旦套利机会出现后,又被追求稳定套利的机构抓取。
为了更清晰地探究期权套利机会的日内分布模式和集中度,本文将中证1000股指期权套利机会按照交易时间重新统计。
由上表统计结果可以看出,反转策略的套利机会集中在日内时间段10:45—11:30,并且此策略的套利利润在14:15—14:55最大,即将收盘时,投资者由于对整日所获得的信息反应速度不同,对未来市场的预测不同,导致价格出现较大偏移。
转换策略的日内套利机会集中在开盘9:30—10:15和13:00—13:45,并在收盘14:40—14:45套利机会最多,此策略的套利利润在14:40—14:55较大。
根据反转策略和转换策略的套利机会汇总发现,两种套利机会并没有呈现出在开盘和收盘时间段集中的现象,并且每一阶段的机会概率在0.5上下波动,其中上午时段(9:45—11:30)的套利机会相对较多。具体来看,反转策略的套利空间呈现上午时段低于下午时段,并且套利利润主要集中在下午时段,但转换策略的套利空间在开盘后就呈现逐步上升状态,并且上午时段略微低于下午时段。
图为套利机会日内统计
图为平均套利空间对比04
总结
本文利用期权平价理论,探究中证1000股指期权无风险套利机会,发现在上市初始的4个月内,投资者可以利用反转套利和转换套利进行无风险套利。不过,本文出于计算简便和交易数据易获得处理的考虑,在进行套利过程中没有考虑资金成本和滑点成本,而实际套利过程中这些因素对套利效果有着显著影响。此外,本文只选取4个月内交易时间的5分钟高频数据,未采用Tick数据及更长时间的数据,时间过短使得实证结果体现的信息效率降低。后期笔者将继续关注中证1000股指期权和期货的无风险套利机会,更准确地反映市场的真实情况。