新浪财经

将时间转化为金钱——如何通过“点时成金”组合来获取时间价值?

财经自媒体

关注

原标题:将时间转化为金钱——如何通过“点时成金”组合来获取时间价值?

来源:期权时代

根据时间价值衰减的特性,我们构建了“点时成金”组合以借助期权来获取时间价值。

本文我们就来看看这种组合在历史回测中表现如何,它又有什么值得我们学习和借鉴的地方呢?

文本要点:

(1)期权价格包含内在价值与时间价值的两部分,随着期权临近到期日,其时间价值逐渐衰减。期权价格变动是我们所不能掌握的,但时间的流逝是必然规律,因此我们可以根据期权时间价值随时间变化的特征,构建策略获取期权的时间价值。

(2)期权的时间价值不仅跟时间的长度有关,还跟生命周期内的波动率变化等因素有关,其影响因素主要包括剩余期限、标的资产的波动率、行权价格等。

随着时间的流逝,期权会不断损失时间价值;临近到期日,平值期权的时间价值损失比实值期权或者虚值期权更快。

波动率越小则期权的时间价值越低;波动率对平值期权的时间价值的影响几乎是线性的,而对于实值期权和虚值期权来说,波动率较小时,期权的时间价值几乎不变。

相同到期日,平值期权的时间价值大于虚值期权和实值期权,并且随着行权价格偏离平值,时间价值逐渐减小。

(3)根据时间价值衰减的特性,我们构建了“点时成金”组合以借助期权来获取时间价值。回测期间(2015.2.9-2016.5.5)“点时成金”组合净值从1上升到了1.71,组合年化收益率为57.56%,最大回撤率仅为24.03%,远远战胜了同期的上证50ETF。尤其进入2016年以来,“点时成金”组合业绩平稳创新高,显然这种表现在“投资资产荒”的现阶段极为耀眼。

1

期权的时间价值

期权交易是一种权利的交易,权利金(期权价格)是指期权买方为获得期权合约所赋予的权利而向期权卖方支付的费用。

而期权价格主要包括内在价值和时间价值两部分,期权的内在价值是指期权价格中反映期权行权价格与标的资产市场价格之间的关系的那部分价值;期权的时间价值是指期权买方为购买期权而实际付出的期权费超过期权的内在价值那部分价值。

对期权买方来说,期权的时间价值反映了期权内在价值在未来增值的可能性;对期权卖方来说,期权的时间价值反映了期权交易期限内的时间风险。

也就是说随着时间的延长,标的资产价格波动可能使期权增值,因而期权买方愿意支付高于内在价值的权利金;期权卖方由于要冒时间风险,也要求高于内在价值的权利金。

通常,期权的有效期越长,时间价值就越大。随着期权临近到期日,其时间价值逐渐变小,期权到期时,其时间价值将变为零。因此,我们可以利用期权时间价值的变化规律,来设计多元的投资策略。

1、 期权时间价值的定义

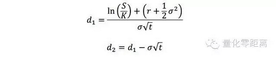
根据期权定价理论,期权价格等于内在价值与时间价值的和,因此期权的时间价值是指投资者为购买期权而支付的超过期权内在价值的那部分权利金,定义如下:

时间价值 = 期权价格 - 内在价值

根据Black Scholes模型,欧式期权的价格为

其中,

而期权的内在价值为

因此,期权的时间价值定义如下:

期权买方希望标的资产价格朝着对他有利的方向变动,而标的资产价格的变动需要时间成本,期权买方为了获得“期权增值的可能性”要付出一个“时间成本”;而期权卖方由于面临标的资产价格变动所带来的“时间风险”而获得一个“时间收入”。

2、期权时间价值的影响因素分析

根据期权定价公式,期权价格主要取决于标的资产价格、行权价格、剩余期限、波动率、无风险利率五个因素。其中,标的资产价格与行权价格的差值决定了期权的内在价值,而剩余期限和波动率则直接影响了期权的时间价值。而无风险利率变化较小,对期权时间价值的影响可以忽略。因此,我们从期权合约的剩余期限、标的资产波动率和期权的行权价格几个方面出发,分析这些因素对期权时间价值的影响。

(1)期权合约的剩余期限

首先,我们考虑剩余期限对期权时间价值的影响。一般来说,剩余期限越长,期权的时间价值越高。正如前文所述,随着到期日的临近,期权增值的可能性会越来越小,期权买方愿意支付的“时间成本”也越来越小,期权卖方获得的“时间收入”也越来越小。因此,随着期权剩余期限逐渐减小,期权的时间价值也将逐渐减小。

图表1给出了期权时间价值与剩余期限的关系,时间价值的特征总结如下:

剩余期限越短时间价值越小,即随着时间的流逝,期权会不断损失时间价值。

临近到期日,平值期权时间价值对剩余期限的斜率比虚值期权或者实值期权更大,即临近到期日,平值期权的时间价值损失比实值期权或者虚值期权更快。

我们以50ETF期权真实交易数据来观察期权时间价值的变化规律。图表2给出了2015年8月26日至2016年3月25日的“50ETF购2016年3月1.80”、“50ETF购2016年3月2.20”和“50ETF购2016年3月2.60”期权时间价值的走势。其期权时间价值计算公式如下:

从图中可以看出,随着到期日的临近,期权时间价值整体呈现下降趋势,而由于实值期权合约的交易比较不活跃,有些期权合约的时间价值为负值,说明期权合约存在着定价偏误,有理论上的套利空间,但实际操作上由于手续费以及冲击成本的存在,实际套利操作可能无利可图。

(2)标的资产的波动率

波动率越大,期权的时间价值也越高。在期权到期之前,波动率越大,则标的资产价格朝着对期权买方有利的方向运动的可能性越高,在其他条件保持不变的条件下,标的资产的波动率越高,期权的价值越高,相应的期权时间价值越高。

图表3给出了期权时间价值与波动率的关系,时间价值的特征总结如下:

波动率越小,则时间价值越低,如果未来标的资产价格一成不变,期权的时间价值就为零。

对于平值期权而言,波动率对期权时间价值的影响几乎是线性的,即波动率越大则平值期权的时间价值也相应地越高;而实值期权和虚值期权的结果与平值期权不同,波动率较小时,时间价值几乎不变,当波动率大于某一水平时,波动率对时间价值的影响逐渐增加,最后趋近于线性影响。

我们以50ETF期权真实交易数据来观察期权时间价值的变化规律。图表4以“50ETF购2016年3月2.20”为例,给出期权时间价值关于波动率的走势。其期权时间价值计算公式如下:

从图中可以看出,波动率越大,期权时间价值整体呈现上涨趋势,标的资产价格的波动增加,会使期权增值的可能性增加,因此会增加期权的时间价值。

(3)期权的行权价格

期权的行权价格不同,期权的时间价值也不同。一般来说,平值期权的时间价值会大于虚值期权或者实值期权。

图表5给出了期权时间价值与剩余期限的关系,时间价值的特征总结如下:

相同到期日,平值期权的时间价值大于虚值期权和实值期权,并且随着行权价格偏离平值,时间价值逐渐减小。

深度虚值期权的时间价值几乎为零,而实值期权的时间价值一般大于零,而临近到期的深度实值的期权的时间价值有可能等于零。

我们以50ETF期权真实交易数据来观察期权时间价值的变化规律。图表6给出了2016年3月2日当月、次月、当季和次季交割的期权合约的期权时间价值。其期权时间价值计算公式如下:

2016年3月2日50ETF收盘价为2.049,因此行权价格为2.05的期权合约是平值期权。从图表6中可以看出,平值期权合约的时间价值明显高于虚值期权和实值期权,并且随着行权价格偏离平值,时间价值逐渐减小。

2

时间轴上的期权希腊字母变化分析

拥有不同剩余期限的期权合约价格对于不同影响因素的敏感程度截然不同,从而我们在构造期权跨期组合的时候会有不同程度的风险暴露,当然这也方便我们根据自己的需求保留相应的风险敞口以谋取相应的风险报酬。

从期权的定价公式可以看出,期权价格主要由标的资产价格、行权价格、剩余期限、波动率、无风险利率五个因素决定,因此衍生出了Delta(Δ)、Gamma(Γ)、Theta(Θ)、Vega(ν)、Rho(ρ)等期权价格的敏感性指标。

1、 Delta变化分析

首先,我们来看Delta在时间轴上的变化情况。根据期权定价公式,可以得出Delta公式如下

Delta衡量了标的资产价格变动时,期权价格的变化幅度。图表7给出了Delta与标的资产价格和剩余期限的三维图,Delta的变化规律可以总结如下:

(1)认购期权的Delta是正值,认沽期权的Delta是负值,认购期权的Delta范围介于0到1之间。对于认购期权来说,标的资产价格上涨,期权价格也会随之上涨,两者同向变化,而认沽期权是反向变化。

(2)平值期权的Delta为0.5;深度实值期权的Delta趋于1;深度虚值期权的Delta趋于0。

(3)随着到期日的临近,实值期权的Delta逐渐趋于1,虚值期权的Delta逐渐趋于0,平值期权的Delta逐渐趋近于0.5。

2、Gamma变化分析

其次,我们来看Gamma在时间轴上的变化情况。根据期权定价公式,可以得出Gamma公式如下

Gamma衡量了Delta变化对期权价格的影响,即标的价格变动对期权价格的二阶影响。图表10给出了Gamma与标的资产价格和剩余期限的三维图,Gamma的变化规律可以总结如下:

(1)无论认购期权,还是认沽期权,期权多头的Gamma都是正的。

(2)平值期权的Gamma大于实值期权或者虚值期权的Gamma。

(3)对于平值期权,Gamma随期限的减小而增大,短期限平值期权的Gamma奇高;而实值期权和虚值期权,随着到期日的临近,Gamma先增大后减小。

3、Theta变化分析

再次,我们来看Theta在时间轴上的变化情况。根据期权定价公式,可以得出Theta公式如下:

Theta衡量了期权价格在时间维度上的变化,体现了时间流逝带来的期权时间价值。图表13给出了Theta与剩余期限和标的资产价格之间的三维图,Theta的变化特征可以总结如下:

(1)Theta基本上为负值,在投资组合中卖出期权,随着时间的流逝,将获得时间价值;而买入期权,随着时间的流逝,会不断损失时间价值。

(2)平值期权的Theta绝对值较大,即随着时间的流逝,平值期权比虚值期权或者实值期权损失的时间价值更多;反之,如果是卖出期权,则随着时间的流逝,卖出平值期权比卖出虚值期权或者实值期权可以获得更多的时间价值。

(3)Theta是非线性的,期权越接近到期日,平值期权的Theta绝对值越大,即时间价值损耗越快;而实值期权和虚值期权随着到期日的临近,Theta绝对值先变大之后又变小。因此,卖出平值期权可以更快地获得时间价值。

4、Vega变化分析

最后,我们来看Vega在时间轴上的变化情况。根据期权时间价值的公式,可以得出Vega公式如下

Vega衡量了波动率对期权价格的影响,由于内在价值主要取决与标的资产价格和行权价格,因此Vega也体现了标的资产波动带来的期权时间价值。图表16给出了Vega与剩余期限和标的资产价格之间的三维图,Vega的变化特征可以总结如下:

(1)Vega基本上为正值,即标的资产的波动率越高,期权的时间价值越大。

(2)平值期权的Vega较大,因此当标的资产价格等于行权价格时,波动率的细微变化都将引起期权时间价值较大的变动。而深度实值或者深度虚值的期权,波动率的变化并不会引起期权时间价值太大的变动。

(3)距离到期日越近,Vega越小,即波动率对期权时间价值的影响越小。因为当距离到期日的时间较长时,如果标的资产的波动率发生变化,标的资产价格会有充分的时间发生改变,从而影响期权的时间价值;当临近到期时,即使波动率变化较大,也没有足够时间让变动资产价格发生变化,因此临近到期时,波动率对期权时间价值的影响较小。

5、期权希腊字母的综合分析

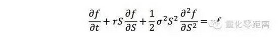
根据BSM微分方程,期权价格应满足以下公式

代入以上希腊字母,BSM微分方程转化为

Theta衡量了期权价格对时间变化的敏感程度,主要体现了期权的时间价值。为了赚取期权的时间价值,我们考虑对冲掉期权的Delta风险和Gamma风险。而无风险利率变化较小,Rho风险基本上可以忽略不计。此外,Vega衡量了期权价格对标的资产波动率的敏感程度,说明波动率会影响期权价格,从而间接地影响期权的时间价值。

期权的时间价值不仅跟时间的长度有关,还跟生命周期内的变化有关。如果未来股票价格一成不变,那么期权的时间价值等于零。因此,期权的时间价值主要体现在Theta和Vega两方面。

3

期权时间价值:时间与波动的较量

根据本文2.5节的分析,期权的时间价值主要体现在Theta和Vega两方面,即时间流逝带来的时间价值和标的资产波动带来的时间价值。然而,时间与波动对期权时间价值的作用是相反的。

随着时间的流逝,期权买方要损失期权的时间价值,而期权买方同时也是波动率的买方,期权买方可以获得标的资产波动带来的时间价值。同样地,期权卖方获得时间流逝带来的时间价值,但是损失资产波动带来的时间价值。

前文已经给出了Theta的公式,公式中时间以年为单位,为了讨论方便,将其转化为以天为单位,因此Theta表示经过一天期权价格的变化幅度。对于期权买方来说,由于Theta通常为负值,表明随着时间的流逝,期权合约不断贬值。前文同样给出了Vega的公式,期权Vega为正值,表明波动率的增大会提高期权的价格。

我们以“50ETF购6月2.05”合约为例,2016年3月1日期权的Theta等于-0.2715,假设一年的交易天数为252天,则Theta/天等于-0.0011,说明每经过1个交易日,期权合约就贬值11元;而Vega为0.0044,说明波动率每增加1%,期权合约就增值44元,因此1%波动率增长带来的时间价值增量会在4天内被消耗掉。因此,期权买方希望标的资产价格波动足够大,这样才能抵消时间流逝损耗的时间价值;而期权卖方希望标的资产价格波动较小,这样才能保证获得时间流逝带来的时间价值。

从时间轴上来看,随着到期日的临近,Theta绝对值不断变大,即期权时间价值的衰减速度逐渐加快,相应地抵消波动率1%的变动所需的天数逐渐变少。而且时间能够消耗掉波动率带来的任何影响,到期时期权的时间价值等于零。

总之,短期来看,波动率的变化对期权时间价值的影响更大;但长期来看,时间才是最终影响期权时间价值的核心因素。

4

时间的玫瑰:借期权“点时成金”

北岛的《时间的玫瑰》中有这样一首诗:

当守门人沉睡,你和风暴一起转身,拥抱中老去的是时间的玫瑰。

当鸟路界定天空,你回望那落日,消失中呈现的是时间的玫瑰。

当刀在水中折弯,你踏笛声过桥,密谋中哭喊的是时间的玫瑰。

当笔画出地平线,你被东方之锣惊醒,回声中开放的是时间玫瑰。

镜中永远是此刻,此刻通向重生之门,那门开向大海,时间的玫瑰。

作者描摹出了时间的痕迹,窥见了时间的美好,然而时间总是匆匆而过,如何去拥抱时间,掌握时间的脚步呢?我们能否直接将时间转化为金钱呢?接下来我们便借助期权来实现“点时成金”的梦想。

1、一寸光阴一寸金,期权可买寸光阴

前文我们花了很大篇幅介绍了期权的时间价值及其变化特征,发现期权的时间价值包括了“时间风险补偿”与“期权增值潜力”两部分,即可以从时间和标的资产价格的波动两方面来衡量期权的时间价值。而标的资产价格变动是我们所不能掌握的,但时间的流逝是必然的规律,因此我们可以根据期权时间价值随时间变化的特征,构建策略获取期权的时间价值。

随着时间的流逝,期权的时间价值逐渐减小,近月期权的时间价值变动更快,而远月期权的时间价值变动较慢,因此卖出近月期权合约,买入远月期权合约,从而赚取期权的时间价值。

尤其,平值期权合约的时间价值最大,因此我们构建“点时成金”组合:卖出当月平值跨式期权组合,买入次月平值跨式期权组合(跨式期权组合指的是相同行权价格的认购、认沽期权)。该组合暴露的方向性风险较小,旨在赚取Theta变动的收益。“点时成金”组合到期损益图可见图表20。

2、“点时成金”组合:收获期权衰减的时间价值

我们用50ETF期权历史数据(2015.2.9-2016.5.5)对策略进行业绩回测,回测设置如下:

(1)初始成本:1000万元。

(2)投资组合:卖出当月平值跨式期权组合,买入次月平值跨式期权组合,保持期权行权价格相等;持有至当月期权到期日,则平仓所有头寸,次日重新开仓。

(3)组合调整:

换仓条件:50ETF收盘价超出1档行权价格,换仓为新的平值合约;

对冲方式:当组合Delta绝对值大于1.3时,用50ETF进行Delta对冲。

(1)合约数量:每次建仓时,根据成交金额相等来配比期权合约数量。

(2)策略计算:换仓时,以收盘价平仓期权合约,同时以收盘价重新构建组合,组合净值以收盘价计算。

(3)手续费:期权手续费为5元/张,买开、买平、卖平收取手续费,卖开不收手续费;50ETF双边手续费为0.0005。

3、“点时成金”组合业绩展示

业绩回测结果(图表22)显示,“点时成金”组合从2015年2月9日运行至今(2016.5.5),组合净值为1.71,而同期上证50ETF净值仅为0.92。截止至2016年5月5日,组合年化收益率为57.56%,而同期上证50ETF年化收益率为-6.25%;2016年以来的组合收益为31.48%,同期上证50ETF收益为-11.37%。并且,组合的最大回撤率较小,仅为24.03%,组合净值基本上呈现上涨趋势。

由于“点时成金”组合基本上对冲掉了Delta风险,因此无论大盘是涨是跌,组合净值的走势一直比较平稳。因为“时间的玫瑰”组合主要赚取的是期权的时间价值,而时间的流逝是必然的,期权时间价值的蒸发也是必然的,因此组合能够持续稳定地获得收益。

4、“点时成金”组合分析

(1)组合希腊字母分析

图表23给出了“点时成金”组合的希腊字母符号。与理论分析一致,“点时成金”组合几乎对冲掉了Delta风险,因此组合Delta几乎为0。组合Theta为正值,即随着时间的流逝,组合能够赚取正的收益。

组合的Gamma为负值,即存在标的资产价格变动的二阶风险。组合Vega为正值,即标的资产价格波动一定程度上能够增加组合收益。Gamma和Vega都是衡量标的资产价格变动对组合净值的影响,“点时成金”组合中Gamma的作用更强,因此标的资产价格的剧烈变动对组合净值存在负的作用。

(2)波动率影响分析

图表28给出了“点时成金”组合净值与波动率的关系,可以看出,组合在波动率低位时的表现明显优于波动率高位时的表现。去年9月份之前,股票市场从“快牛”到“疯熊”的快速转变下,标的波动率也一直处于高位,此时“点时成金”的表现并不尽如人意;然而9月份之后标的波动率回归至低位,“点时成金”组合净值也相应得以平稳提升。

虽然“点时成金”具有正向的vega,波动率水平的提升对组合净值有正向作用,但其受gamma的影响更大。8月中下旬50ETF那波断崖式下跌给组合净值带来了致命的打击,gamma的迅速暴涨对组合的负面影响远胜于当时波动率上升对组合的正面影响。

反映到组合净值上,2015.8.21-2015.8.24两天时间,“点时成金”净值曲线回撤幅度超过了17%,gamma风险不容小觑。

另外,我们也可以从“点时成金”组合的到期损益图看出,当50ETF波动较小时,即到期时的50ETF价格落在行权价格附近,则组合能够获取正的收益;而当50ETF波动较大时,即到期时50ETF价格落在远离行权价格的区域,则组合可能获得负的收益。

5

风险提示

对于持有“卖近买远”的期权日历价差投资者来说,由于其头寸的Gamma是负值,“黑天鹅”事件是最大的风险所在,在本报告第3节的“点时成金”组合业绩展示中就可以看到这一点。其中,2015年8月19日50ETF价格开始的崩溃式下跌给组合净值造成了严重的打击,组合遭受了有史以来最大的业绩回撤。

组合持有期权空头的头寸,由于目前交易所还没有实施组合保证金措施,在期权价格剧烈波动时,投资者要警惕保证金风险。

加载中...