新浪财经

一文读懂雪球定价

市场资讯 2021.07.22 21:11

原标题:雪球结构定价与风险深度分析

来源:信达证券 于明明

导读

雪球如何定价。我们使用了蒙特卡洛模拟法和PDE方法对雪球的价格进行了测算,着重介绍了两种方法的原理及实现,并根据雪球产品收益的三大类情景将其拆分为多个奇异期权,分别计算这些期权的价格来获得雪球的价值。

影响雪球价格的因素。本文定量分析了股指期货贴水对雪球价格的影响,在年化11%贴水的背景下,雪球做市商在卖出时即存在大于3%的利润,根据雪球对冲原理,我们判断若雪球规模足够大,雪球卖方的对冲操作会加快股指期货的基差收敛速度。

雪球的Greeks。通过计算,我们得到雪球在期初各Greeks值的分布,分析了雪球投资者面临的风险敞口,当投资者买入雪球时,可以粗略等价于卖出看跌期权的风险敞口,但其后续变动呈现较强的路径依赖型奇异期权特征,与欧式期权有较大区别。

雪球的风险。我们对挂钩中证500指数的雪球合约进行了回测,在2013年3月至2021年7月的区间内,若每日滚动投资雪球产品,平均敲出时间4.56个月,其胜率可高达82.88%,但在该情况下的平均获利仅为5.36%,而在敲入后发生亏损的情况下,平均亏损为-20.9%。因此其收益为典型尖峰肥尾且左偏分布,当出现极端行情时,需要承担较大亏损,比较适合低波动或温和上涨的市场环境。

其他类雪球结构型产品。简要介绍了目前市场比较受欢迎的小雪球、不追保雪球和阶梯雪球的合约条款与收益规则。

发展趋势:虽然目前市场中雪球卖方报价偏高,获利空间较大,但雪球填补了市场中类固收产品的需求缺口,在市场波动较低的情况下,雪球类产品的需求可能会进一步增加。

风险因素:场外市场存在信用风险、操作风险、流动性风险等不确定性。

— 雪球结构定价与风险深度分析 —

1、雪球结构介绍

雪球(Snowball)结构属于路径依赖型奇异衍生品,其结构相对复杂,但自2019年开始,雪球这种非保本型收益凭证受到市场上越来越多的关注,各类金融机构纷纷以不同角色参与其中,雪球在市场中的影响也逐渐增强。雪球型收益凭证实际是卖出了敲入结构的看跌期权,只要标的不发生大幅下跌,持有该收益凭证的时间越长,获得票息收益越多,类似于滚雪球一样,只要地面不出现非常大的坑洼,雪球就会越滚越大。

不难发现,雪球类产品之所以受到热捧,与其具有固定收益的特征有极大的关系。在利率整体下行的市场环境中,极少有产品能像雪球一样提供年化20%左右的票息,但市场总是风险中性的,其高票息的背后必定隐藏着潜在的风险,本报告将带领读者对雪球结构逐层解析,揭开雪球类衍生品神秘的面纱。

1.1、雪球合约介绍

下表展示了雪球结构收益凭证的案例,该产品的期限为12个月,挂钩标的为中证500指数,根据产品的条款,敲出水平为标的资产期初价格的103%,敲入水平为期初价格的85%,雪球结构将从合约生效开始每月观察期权是否敲出,同时每日观察期权是否敲入,若在任一敲出观察日(月度),挂钩标的收盘价格大于或等于标的指数的期初价格*103%,即代表敲出事件发生,此时该合约提前终止,投资者可以获得全部本金和年化敲出票息。若在观察期限内既没发生敲出也没发生敲入,投资者获得全部本金和红利票息,产品到期自动结束。若在观察期内敲入且未敲出,则敲入名义本金与该收益凭证本金相同的看跌期权空头,到期时若标的价格高于期初标的价格,则该看跌期权为虚值,卖方无损失,投资者仅能收回全部本金,无票息和红利收益。若到期标的价格低于期初价格,则该看跌期权卖方发生亏损,投资者需要承担标的下跌带来的全部损失,其收益相当于在期初买入了与收益凭证本金相同金额的标的。

上表所示合约信息为当前场外市场中最常见的标准雪球结构,但也有个别产品对合约条款进行了微小调整,比如某些机构将开始观察敲出日期设置为一至三个月之后,这样减小了投资者刚买入合约即被敲出的可能性,变相增长了产品的寿命,但由于该改动本质上利于投资者获得更多的票息收益,因此在其他条款相同的条件下,做市商也下调了票息收益作为定价补偿。本文将以标准雪球结构为案例,进行后续的分析。

1.2、产品到期收益

基于以上合约条款,可以根据是否触发敲入或敲出界限将到期时的收益情况分为以下五个情景。

情景1:若在某一月度观察日,标的收盘价高于其敲出价格,则交易提前结束,客户获得年化票息。

情景2:若在存续期内任意交易日和观察日,标的都未碰触敲入和敲出界限,则合约到期自动结束,客户依然获得年化票息。

情景3:若在存续期的任意交易日,标的曾经跌破敲入界限,到期前所有观察日均未发生敲出事件,若到期时标的价格高于期初标的价格,则客户可获得全部本金,无其他收益。

情景4:若在存续期的任意交易日,标的曾经跌破敲入界限,且到期前所有观察日均未发生敲出事件,若到期时标的价格低于期初标的价格,则客户承受与期初名义本金对应市值的标的下跌造成的全部损失。

情景5:若在存续期的任意交易日,标的曾经跌破敲入界限,且到期前某个观察日再次发生敲出事件,则交易提前结束,客户获得年化票息。

在情景1中,标的从未发生敲入,但在第六个观察日发生了敲出事件,此时按照合约规定,该雪球类产品提前终止,投资者收益=年化票息率20%*合约持有期限年化(6个月/12个月)=10%,此时投资者可收回100万本金,并获得100万x10%=10万的票息收益。产品提前终止,可选择继续买入下期雪球类产品。

在情景2中,标的从未发生敲入,也未发生敲出事件,此时按照合约规定, 该雪球类产品到期自动终止,投资者收益=年化票息率20%*合约持有期限年化(12个月/12个月)=20%,此时投资者可收回100万本金,并获得100万x20%=20万的票息收益。

在情景3中,标的从未发生敲出,但于持有期观察日中发生过敲入事件,且合约到期时,标的价格高于期初标的价格,此时按照合约规定,该雪球类产品到期自动终止,敲入了看跌期权机制,投资者无法获得任何票息收益,但敲入的看跌期权为虚值,投资者也并未承担额外损失。因此到期时投资者仅可收回100万本金。

在情景4中,标的从未发生敲出,但于持有期观察日中发生过敲入事件,且合约到期时,标的价格低于期初标的价格,此时按照合约规定,该雪球类产品到期自动终止,敲入了看跌期权机制,投资者无法获得任何票息收益,但与情景3不同的是,此时敲入的看跌期权为实值,投资者需要承担标的下跌造成的损失,而该示例中,标的下跌10%,因此到期时投资者仅可收回90万本金。

在情景5中,标的于持有期观察日中发生过敲入事件,但在第十个观察日发生了敲出事件,此时按照合约规定,该雪球类产品提前终止,投资者收益=年化票息率20%*合约持有期限年化(10个月/12个月)=16.67%,此时投资者可收回100万本金,并获得100万x16.67%=16.67万的票息收益。

以上五种情景可进一步归纳为三大类情况,

第一类:发生了敲出事件(情景1,情景5)

第二类:从未发生敲出,也未发生敲入(情景2)

第三类:发了敲入事件(情景3,情景4)

后文将使用以上三类情况作为雪球产品的分析。

2、雪球的定价与风险分析

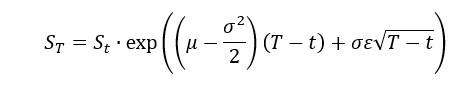
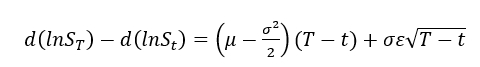
雪球结构具有敲入敲出边界,此类衍生品为路径依赖型产品,在金融工程定价领域中,对于路径依赖型产品,一般很难得到解析解,因此业内多使用蒙特卡洛模拟(Monte-Carlo Simulation)或者有限差分PDE方法,本文两种方式都有使用,但考虑到蒙特卡洛模拟法收敛性较差,对于二阶以上的Greeks值求解误差过大,效率较低且抖动明显,因此在计算Greeks值时,我们选择PDE方法。但仍需注意的是,对于路径依赖型产品,基础假设是在Black-Scholes模型下,标的价格S的SDE模式,即

其中,

是t时刻的股票价格,r为无风险利率,σ为标的波动

为标准正态分布。

2.1、雪球的定价

我们以上文提到的挂钩中证500指数的产品为例,介绍两种不同的方法对雪球进行定价分析。

2.1.1、蒙特卡洛模拟(MC Method)

MC方法是最为直观,也是最容易实现的定价方法。即利用BS假设,生成N条随机价格路径,该路径遵循初始条件波动率和无风险利率的设定,再根据合约条款设计的收益规则,计算出每条路径下的收益,最终贴现回初始时间,全部N条路径下的贴现平均值即为当前产品的合理价格。

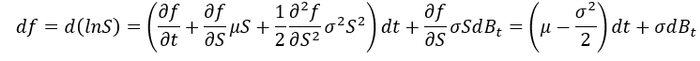
根据BS模型下的假设S满足上文公式(1)中的SDE,我们假设一个投资组合函数f(s) =ln(S)带入(1)中得到,

从而可以推出,

满足对数正态分布,

其中,

为标准正态分布,μ为无风险利率,σ为标的收益的标准差,(T-t)是到期时间,

是在t时刻的标的价格。控制

的关键变量是

,通过对

进行采样,就可以实现标的价格的模拟。

为了实现不同路径的模拟,首先我们需要得到标的年化波动率作为计算参数σ,下图统计了中证500指数的历史波动率走势。

从上图可看到,中证500指数波动率自2015年达到最高点之后开始快速回落,目前稳定在15%~10%区间,我们根据历史波动率情况,假设中证500的波动率σ=13%,其他条件按照下表中信息填入,此处我们将标的价格做标准化处理,设标的初始价格为1,即S0=1, Knock-in Barrier=0.85, Knock-out Barrier=1.03, 无风险利率r=3%,持有期T=1.0,票息率C=20%。我们使用模拟次数N=300000,即进行30万次路径模拟,得到雪球合约的初始价格。

经过模拟计算,结果如下表所示,超过七成的情况会在到期前敲出自动结束,平均2.59个月份就会被敲出,平均可获得4.32%的票息收益,是此前分析的第一类情况。虽然雪球的到期时间为一年,但结果显示平均存续时间仅为5.47个月,仅有13.58%的概率会持有到期,期间不发生任何敲入和敲出事件,此时投资者获得全部20%的票息收益,对应雪球收益的第二类情况。第三类情况则为敲入且未发生敲出,该类情况发生的概率为12.66%,其中若到期时刻标的价格低于期初标的价格,则发生亏损,我们发现这种情况有12.47%的概率会发生,也就是若发生了敲入事件,到期时会有93%以上的概率发生亏损,另外最大亏损为-43.27%,远大于可能获得的最大盈利。

最后我们得到了MC方法下的雪球产品价格为0.05086,即假设合约名义本金100万元,该合约价值为5.086万元,而做市商却以免费的价格与客户签订协议,侧面说明了雪球结构的实际操作并不是如理论一样,具体原因将在后文分析。此外,我们对MC方法的计算效率进行了记录,对于30万条路径模拟,平均计算耗时为13.29秒,基本可以胜任时效性要求不高的场景。

2.1.2、有限差分方法(PDE Method)

有限差分法也叫偏微分方程法,是一种通过有限差分来近似导数并求解偏微分方程的方法。对于金融衍生品,其价格至少跟标的价格(S)与时间(t)相关,因此该金融衍生品所对应的随机微分方程(SDE)一定含有S与t的偏导数,即为偏微分方程(PDE)。

有限差分方法效率要明显高于MC方法,但其缺点是相对复杂且不直观,需要运用矩阵计算,而BS模型下的PDE方法业内以有成熟的模型,仅需按照所需定价产品的具体收益规则对边界条件进行设置,即可得到初始时刻产品的价值。

PDE方法原理

在BS 模型下,原生资产(以股票价格为例) 的随机微分方程(SDE)如下:

根据费曼卡兹定理,可以将SDE转变为PDE,

其中V(S(t),t) ,可将V理解为是任意构建的投资组合,该组合仅与S和t相关,因此对于所有结构的衍生品,都符合上面的PDE方程。所以虽然要解的是这个PDE,但核心是不同的衍生品需要选取不同的的边际条件。边际条件的不同,相同的PDE解出来的就是不同衍生品的价格。此处提及的边际条件包括以下三条:

而衍生品在期初的价格即为V(S,t=0),即是我们希望定价得到的结果。

例如欧式看涨期权,它的边际条件就是:

对于边界条件(3),当时间t趋于T,即看涨期权在到期时刻,其边际条件就是看涨期权的到期收益方程。

对于边界条件(4),当标的价格S趋于0时,此时看涨期权代表的买权已经无任何价值,因此V=0。

对于边界条件(5),当标的价格S趋于无穷大时,此时看涨期权为深度实值期权,将其价值贴现到t时刻,则与(5)所列结果相同。

得到PDE和边界条件后,就需要使用网格搜索法进行从后向前定价推导。

我们将时间T作为横坐标,标的价格S作为纵坐标。然后将距离行权时间T等分成N份足够短的时间

;同时设定一个足够大的价格Smax ,使得Smax 远远超过行权价K,并且将Smax也等分为M份,使得

。此时,我们得到了一个MⅹN的矩阵,可以视作一个网格,网格的横纵坐标轴分别是时间维度和资产价格维度。

得到网格与边界条件后,我们需要得到t=0时,纵坐标上的所有点,即需要知道在定价初始时刻,不同标的S价格下的衍生品价格。因此PDE方法是从边界条件倒推出初始价格,是从后至前的推导过程。

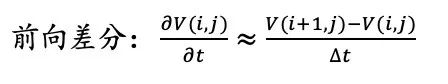
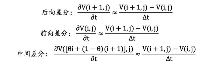
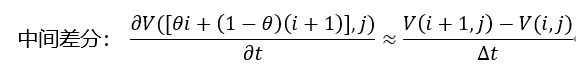
接下来就是有限差分法求解过程,可分为显式、隐式和半隐式方法。本文采用半隐式方法对PDE进行离散化处理,假设:

对于差分方式只能用近似非法,在时间维度上有以下三种差分方法:

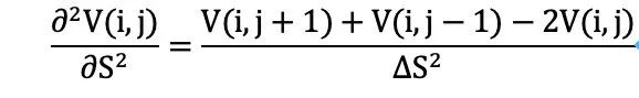
在空间维度上,通常使用中央差分方法:

带入PDE中,

而PDE方法的三种解,正对应了时间维度上的三种差分方式。

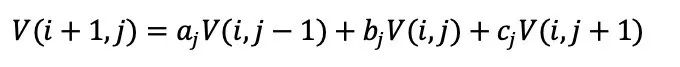
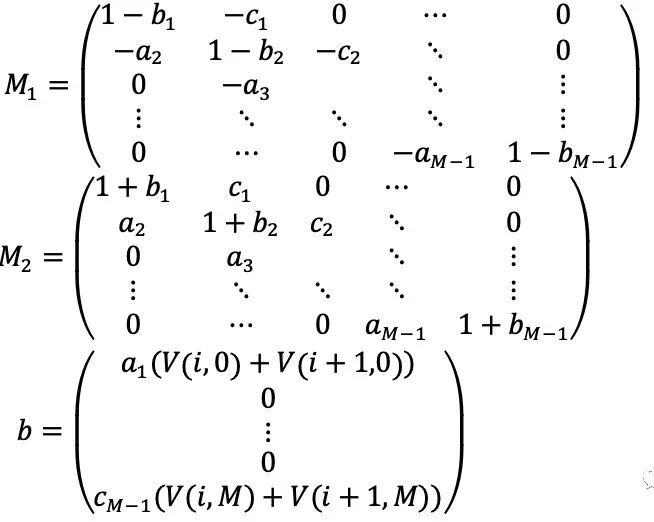
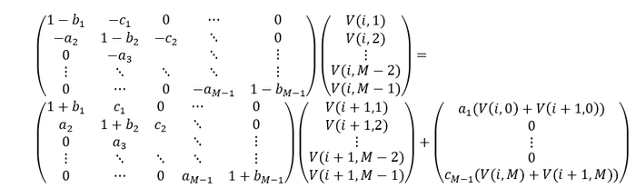
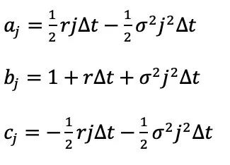
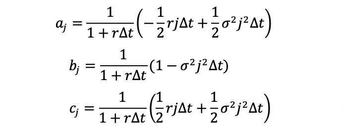
完全显式法对应后向差分,将上面向后差分表达式带入,再将

带入公式(2)的PDE方程中可求得

其中:

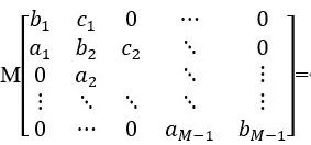
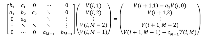
然后对所有i时刻v(i,j)和V(i+1,j)有如下关系,

其中V(i,0)和V(i,m)是边界条件。

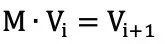
我们将矩阵

而我们需要至后向前推导,因此将上式转化为:

若我们已知M矩阵,及边界条件V(i,0)=0,V(i,M)=

即可从i=M,至后向前推导至i=0,即可得到V在t=0时刻价格。

完全显示法的优点是计算速度快,缺点是不够稳定,只有当

取到足够小的时候,才能收敛。与其对应的是完全隐式法和半隐式法。

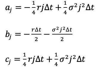
完全隐式法是使用了前向差分,

将上式带入可得到,

其中:

然后对所有i时刻v(i,j)和v(i+1,j)有如下关系:

其中V(i,0)=0,V(i,M)是边界条件。

我们将矩阵

与完全显示法相同,则可得到

,将上式转化为

,即得到V在t=0时刻价格。

可以看到,显示方法直接求解,隐式方法需要先求逆矩阵,再进行求解。

半隐式法是介于显示与隐式中间,试用中间差分实现,并令θ=0.5。

将上式带入可得到,

其中:

然后对所有i时刻v(i,j)和V(i+1,j)有如下关系,

其中V(i,0)和V(i,M)是边界条件。

我们将矩阵

与完全显示法相同,则可得到

,同理至后向前推导,即得到V在t=0时刻价格。

回到雪球产品的定价问题,核心是如何设置边界条件。

由于需要对产品的边界条件进行设置,如将雪球作为一个整体进行设定,将非常复杂,因此常用的方法是将产品拆解成相对简单的若干结构,对每种结构分别设定边界条件,再进行累加,得到组合的价格。对于雪球,我们也采用拆分的方式进行定价,而边界条件设定时,对于敲出结构往往要更简单,因为敲出后,在

边界条件设置为0,而敲入条件的边界相对复杂,此处常见的方式是进行等价替换,即:

向上敲出期权=向上敲出且向下敲入期权+向上敲出且向下敲出期权由此可得到,

向上敲出且向下敲入期权=向上敲出期权-向上敲出且向下敲出期权此时再进行定价,则不会引入任何敲入的合约,大大化简了边界条件的设定。

根据第一部分雪球结构的各类情景分析,我们最后将所有情景概况为三大类,

第一类情况下,标的发生了敲出事件,该情况相当于在期初持有了AutoCall,若标的价格在观察日超过敲出边界,则获得年化票息收益。

AutoCall的边界条件如下,

在T时刻,合约已经到期,无收任何益,此时边界条件为0,但由于到期日为最后一个观察日,在观察日S>敲出边界的部分,都获得

的票息收益。

同样的,当标的价格趋于Smax时,在敲出观察日会敲入看涨期权,此时获得年化票息。但由于敲出观察日是月度的,边界条件也需离散处理,在每个观察日发生敲出事件,才会获得年化票息,也就是在此边界上,t=月度观察日的点都可获得票息收益。

在S=0时,无论何时,产品的价值都为0,至此,我们已获得Up-Out Call期权的三条边界条件,可以通过PDE方法求得该合约的价值。假设Up-Out Call的价值为V1,根据计算,V1=0.04213。

第二类是既没有发生敲入,也没有发生敲出,该情况是双障碍敲出的期权(Up-Out and Down-Out),若标的没有在观察日碰触敲入边界与敲出边界,则获得全部票息收益。

双障碍敲出期权(Up-Out and Down-Out)的边界条件比较简单,在T时刻,当标的S价格趋于0时或趋于Smax时,都会触发敲出机制,这种情况下该期权价格为0,无任何收益,此时边界条件为0,但是当标的价格在Up-Barrier和Down-Barrier之间时,此时是需要付出全部票息收益的,因此该产品的边界条件是分段处理的。

在S=0时,无论何时,产品的价值都为0。

至此,我们已获得Up-Out Call期权的三条边界条件,可以通过PDE方法求得该合约的价值。假设Up-Out and Down-Out 的价值为V2,根据计算,V2=0.02633。

第三类是发生了敲入事件,但未发生敲出,此类情况属于卖出向上敲出且向下敲入看跌期权(Up-Out and Down-in Put),我们利用之前提到的等价替换公式,可以使敲入的部分消失,即卖出向上敲出看跌期权(Up-Out Put),同时买入向上敲出且向下敲出看跌期权(Up-Out and Down-out Put)。该投资组合的收益与第三类情况完全相同。此处分别对卖出Up-Out Put和买入Up-Out and Down-out Put 的边界条件进行设置。对于Up-Out Put合约,其与V1是AutoCall相似。

在T时刻,当标的S价格趋于0时,不会敲出看跌期权,因此该期权与持有看跌期权收益相等,而标的此刻价格为0,该看跌期权获得

,此时边界条件为

同样的,在T时刻,当标的价格趋于Smax时,会敲出看跌期权,此时无任何收益,但仅在敲出观察日才发生,此处边界是离散的。

在S=0时,无论何时,该产品都不会被敲出,产品的价值都与看跌期权相等,但若到期时发生敲出事件,S>敲出边界的部分,都因敲出为0。

至此,我们已获得Up-Out Put期权的三条边界条件,可以通过PDE方法求得该合约的价值。假设Up-Out Put的价值为V3,根据计算,V3=0.02501。

对于Up-Out and Down-out Put合约:

在T时刻,当标的S价格趋于0时或趋于Smax时,都会触发敲出机制,这种情况下该期权价格为0,无任何收益,此时边界条件为0。

在S=0时,无论何时,亦触发敲出机制,产品的价值都为0。

可以通过PDE方法求得该合约的价值。假设Up-Out and Down-out Put的价值为V4,根据计算,V4=0.00796。

以上三类情况相互并无覆盖,可以将拆分得到的产品直接相加,便得到雪球产品期初价格。因此雪球的价格V=V1+V2-V3+V4=0.05141

横向比较MC方法结果与PDE方法结果,可以看出误差在1%以内,结果可以接受,且侧面验证了两种算法的准确度。

2.2、雪球的风险剖析

当涉及到期权相关产品的风险时,我们常用Greeks来度量该合约在不同影响因素下的风险敏感度,雪球也可以视为一种奇异期权,因此我们也将对雪球的Greeks进行分析视为一种奇异期权,因此我们也将对雪球的Greeks进行分析。

2.2.1、Greeks分析

Delta是产品价格对标的价格的变动,对于一般香草期权,delta范围在[-1,1]之间,而奇异期权不再遵守该原则,下图则是雪球结构的Delta分布图,其中横轴为标的价格百分比,纵轴为delta值,从图中可以看到,标的价格在敲入边界0.85附近时,delta最大,约为1.6,而随着标的价格的上涨,delta快速下降,当标的价格超过敲出边界1.03后,delta趋于0,此时雪球的价格对标的价格已经不敏感。

标的价值再无任何关联,因此delta趋于0。而当标的价格下跌时,潜在的敲入生效看跌期权空头开始逐渐影响产品收益,此时delta开始变大,标的下跌,而雪球买方持有逐渐变大的正delta,亏损加速产生,最终与持有标的相等,即delta=1。

Gamma则是Delta随标的变动的速度,根据Delta的分布,我们可以推测Gamma在标的接近敲入与敲出边界时也会相对较大,而当标的价格上涨至敲出边界以外,或者标的价格下跌至敲入边界以下后,delta将趋于0或1并保持稳定,此时并无明显变动,因此Gamma为0。而在两边界中间时,Gamma表现波动较大,这也是路径依赖型结构共有的特征,此类产品Gamma稳定度较差,不论PDE还是MC方法都存在一定误差,而二阶Greeks对该误差过于敏感,因此一般在对此类产品风险评估时,二阶及二阶以上风险因子的影响较难估计,也较难对冲,通常仅对Delta进行对冲。

雪球结构的Vega基本为负值,这也是将雪球产品理解为做空波动率的原因之一,值得注意的是,在标的价格低于敲入边界附近时,vega表现为正值,这是由于当发生敲入事件后,若产品波动率上升,则有更高的概率发生敲出事件或者标的价格回升至初始价格附近,这样会使雪球产品亏损减少,因此在该区域会有vega转正的现象。

雪球的Theta保持在正值,这与雪球类固收结构相关,持有雪球产品会得到年化票息收益,潜在卖出的敲入看跌期权也贡献了一部分正theta,当标的价格继续上涨后,theta与年化票息收益率趋近。

2.2.2、雪球的对冲

雪球的卖方持有正Gamma敞口,在delta对冲中会产生类似于Gamma Scalping策略的收益,相当于不断进行高抛低吸操作,弥补需要付出的票息。此外后文会提到使用其他替代标的产品进行对冲也会获得额外收益,这也是我们此前测算雪球产品价格大于零的原因之一。

由雪球的Delta分布可以明显看到,标的价格在敲入与敲出边界时,会发生较大的波动,尤其在敲入边界(0.85)附近,此时若进行delta对冲,可能面临频繁调整对冲头寸的问题,在实际对冲中需要对边界附近的Greeks进行平滑,此类平滑方法业内有多种公开方式,常见的是对边界进行Shift,缺点是影响了远离边界值的Greeks,但是可以获得较好的平滑效果。

此外,雪球买方持有正Delta头寸,因此做市商对冲该头寸时,需要买入相同的Delta头寸进行动态调整,相当于需要在市场中做多,而当标的价格处于边界值附近时,可能发生对冲头寸快速增加的情况,且此时Delta甚至大于1,也就是需要立即在市场中买入大量标的,可能对市场造成一定冲击,尤其是雪球类产品合约设计相对趋同,若发行时间也比较接近,则同一时间段内批量产品趋近临界值的情况有较大概率发生,若卖方机构同时进行对冲交易,存在冲击市场的潜在风险。

2.3、价格影响因素

2.3.1、标的选择

目前市场最常见的雪球标的仍是三大指数(上证50,沪深300,中证500),其中以中证500指数为挂钩标的合约最为常见。在选取挂钩标的时,需要考虑以下几个因素。

合规要求

根据证监会及证券业协会要求,对场外衍生品个股期权可选标的有明确的规定,且各金融机构内部也对可交易对冲标的有一定限制,

对冲难度

由于雪球的做市商,即卖方,需要对雪球的主要风险敞口进行对冲,且大部分时候为买入对冲,因此需要选择流动性较好,买卖灵活无限制的产品进行挂钩。

标的波动率

雪球产品买方vega为负,做市商实为做多波动率,若标的波动上涨,则一方面可以在对冲过程中获得更多收益(Gamma Scalping),另一方面增加了对手方敲入敲出的概率,因此选择预估持有期波动率会上行的产品更有利于雪球卖方。

2.3.2、基差与分红

雪球类产品的卖方需要进行动态对冲,而最常见的标的为中证500指数,而使用IC股指期货进行替代对冲已成为最优方案。我们对IC股指期货合约历史数据进行简单测算,假设IC股指期货保证金率=15%,原本用来对冲的资金可以有85%提出投资固定收益类产品,按照固收4%的年化收益率计算,由于股指期货杠杆获得的额外收益=85%ⅹ4%=3.4%。

此外,股指期货存在长期贴水现象,即期货价格低于现货价格,但是由于期货特性,到期时期货与现货价格必然会收敛,因此使用股指期货替代现货多头,可以额外获得贴水收益,下表为当前股指期货贴水数据,

数据可以看到,IC贴水率最高,年化可以达到8.5%以上,而今年以来股指期货贴水率逐步下行,目前处于较低水平,此前贴水率长期维持在10%左右,我们仍以8.5%作为中证500合约对IC的净贴水率,累加此前因股指期货杠杆获得的收益率,实际可额外获得11%左右的收益,因此卖方在定价雪球产品时,可以做到“亏钱”交易。

为验证该数据的准确性,我们随机调取了2021年某日某机构的场外衍生品报价表,根据其相同挂钩标的平值香草期权报价,挂钩中证500指数(000905.SH)的1年期平值看涨期权价格为4.01%,看跌期权价格为11.38%,将基差和因杠杆获得的额外收益视作标的分红q,预估q=11%,带入该价格后,推算得到看涨期权隐含波动率IV=19.18%,看跌期权隐含波动率IV=18.91%,因此我们推算出该机构当时针对中证500的报价波动率约为19%。

基于以上条件,我们用PDE方法重新计算该雪球产品的价格,

可见,当我们考虑的股指期货基差贴水和杠杆等因素造成的额外收益后,该产品初始价格为负数,即客户在买入当时,就发生了亏损,以100万元本金计算,每买入一份,亏损3.731万元。

另一方面,股指期货市场与场外衍生品市场已形成了相互影响的趋势,随着雪球类产品规模的逐渐增长,卖方在股指期货市场中的对冲行为也会产生越来越明显的影响,对于雪球类产品,卖方需要对冲持有的风险敞口,而从我们此前对Greeks的分析可以知道,当市场下行时,卖方持有的delta敞口变大,需要买入标的进行对冲,而当市场上行时,持有的delta敞口变小,需要卖出标的,也就是卖方对冲的本质是持续在做高抛低吸的操作,当这种操作规模变大时,会对市场整体波动的增长起到一定的抑制作用,并加快了股指期货基差收敛的速度,目前期指贴水持续下行,不排除是此类AutoCall产品对冲造成的原因。

2.3.3、条款设置

雪球产品的合约条款相对复杂,有多个参数可以设置,其中市场中常见对敲入和敲出边界进行调整,以前文举例的某机构雪球的报价为例,针对中证500挂钩的雪球产品提供了两种不同的敲入和敲出边界,可以组成四种不同的产品。

上表报价可以得出以下结论,同等条件下,

敲出边界约低,票息率越高,

敲入边界约高,票息率越高

期限越长,票息率越高

标的波动率越高,票息率越高

分红率(股指贴水率)约高,票息率约高 

在所有条款固定的情况下,调整标的贴水率后,寻找计算雪球的价格趋于零时所用的票息率,即为公允价格。而目前市场中雪球报价空间较大,卖方报价整体偏高,但其特殊的收益结构仍可不断吸引买方入场,进一步刺激了卖方持续发行产品,这也是雪球类产品规模快速扩大的原因。

2.3.4、适合的投资环境

从定价的角度分析,任何衍生品的价格都是风险中性的,因此任何市场环境下衍生品价格都是公允的,但我们还是站在雪球类产品投资者的角度对该类产品的收益进行分析。

首先,雪球产品的买方是做空波动率,因此选择存续期内波动率下行的时间窗口更有利于获得收益。其次,上一章中列举的雪球结构五种情景中,只有一种会发生本金亏损,即为标的跌破敲入边界,因此若投资者可预判在存续期内标的价格不会发生较大幅度的下行,亦可进行投资,获得票息收益。

为验证该结论,我们对前文举例的雪球合约收益进行回测,数据选取范围是2013年3月15日至2021年7月2日,假设我们每日对该雪球合约进行投资,滚动测算收益,共有1776个交易日,其中收益率其分布如下:

由上表可见,12个月期限的雪球类产品平均4.5个月就会被敲出,仅有4.5%的概率会持有到期并获得全部票息收益。而雪球结构约七成的正收益都在10%以内,其分布为典型尖峰厚尾,且明显左偏,其收益特征与做空波动率相关的期权策略非常相似,以小概率发生较大亏损的代价,换取大概率下的稳定收益。此类产品非常适合市场无明显趋势,长期维持窄幅震荡的情况下持续投资,获得票息收益。

3、其他雪球类衍生品

3.1、小雪球

雪球结构产品虽然胜率高,但存在潜在亏损造成其无法保障本金安全的隐患,小雪球结构产品则满足了有保本需求的客户。小雪球本质上是一种类固收产品,相当于支付期权费获取票息收益,最大亏损为期权费。

某券商发行的500万名义本金小雪球收益凭证合约如下表,

情景1:在合约到期前任一观察日,挂钩标的收盘价高于敲出价格,则发生敲出事件,投资者获得年化票息收益,同时退还剩余期权费。

情景2:在合约到期前任一观察日,挂钩标的收盘价均未高于敲出价格,则投资者不能获得任何票息收入,且损失全部期权费。

3.2、不追保雪球

由于雪球是不保本类型产品,若发生敲入事件,会发生本金亏损,因此在传统雪球的基础上,不追保雪球添加了止损机制,通常保底水平与敲入水平一致,将最大亏损控制在一定范围内。

在合约存续期间,如果挂钩标的资产的收盘价格曾经低于“敲入”水平,则投资者的最终收益取决于标的资产价格后续是否能够在观察日期涨回“敲出”水平。否则投资者将面临挂钩标的资产的实际跌幅亏损,但最大亏损有限(通常约定最大亏损为期初保证金数额,本案例中为20%)。

由于最大亏损设置的保底,此类产品与传统雪球相比更有利于投资者,因此同等条件下,不追保雪球票息率会低于普通雪球。

3.3、阶梯雪球

标准雪球结构的敲出边界是固定的,而向上敲出机制让产品可以获利提前了结。阶梯雪球就是在传统雪球基础上,将敲出界限改为逐月下降,相当于逐步增加产品敲出概率。下图为阶梯式雪球的敲出边界示意图,

阶梯式雪球对于标的先跌破敲入边界,再反弹敲出的情况有很大的帮助,由于其敲出边界不断降低,标的更容易触底反弹敲出,将原本的亏损转为保本且能获得存续期内的票息收益。阶梯式雪球产品的合约如下表所示,

4、总结

本报告主要对国内场外衍生品市场热度较高的雪球类产品进行分析,第一部分介绍了雪球产品的合约规则与到期收益情景。在第二部分重点介绍了雪球类产品的两种定价方法与Greeks分布特征,并对雪球卖方的对冲模式进行了简单分析,定量分析了股指期货基差贴水对雪球定价的影响,并通过历史数据回测结果展现雪球投资的风险。最后列举了目前市场上常见的雪球类衍生产品,并对其收益支付结构,合约条款、产品构成进行简单说明。

此外,雪球期权也存在保证金交易模式,保证金率通常设置为20%~30%,参与者直接买入雪球结构期权,相当于提高了资金的杠杆,同等初始资金的条件下,若保证金率为20%,则可获得5倍的票息收入。部分参与雪球期权保证金交易的私募基金客户持有极高杠杆的该类衍生品,也是雪球类产品发行火爆的原因之一。

根据欧美成熟金融市场近几十年的发展规律,在利率整体偏低且权益类市场波动较大的背景下,最早发行的固收+买入期权类产品已经慢慢褪去光环,随之而来的是类似于雪球、凤凰这类带有敲入敲出性质,且具有卖出期权结构的复杂衍生品组合,此类产品收益结构本身带有固收类性质,能在本金亏损较小概率的情况下获得更高的票息收益。因此我们推断定制化程度较高,带有复杂敲入敲出结构的场外衍生产品将会有更多的需求和更大的发展空间。

风险因素:场外市场存在信用风险、操作风险、流动性风险等不确定性。

加载中...