新浪财经

“概率思维看期权”:风险与收益的trade-off !

市场资讯 2021.07.09 16:00

原标题:“概率思维看期权”:风险与收益的trade-off !

来源:国泰君安期货

关于用概率思维看期权,我们将发表专题三部曲,本文是三部曲的首篇,在有效市场的假设下,采用随机漫步模型模拟期权标的价格,讨论不同期权策略的概率分布,然后再重复不同概率路径,观察累积资产的差异。

第二、第三篇将进一步思考如果拥有系统性优势会怎样、我们应该如何利用优势、实盘中如何获取优势以及实盘应用案例。

期权是概率学,是风险与收益的trade-off。用概率思维看事物的特点在于不把结果当成必然,而是看成可能发生的分布中的一个。

不同的期权策略就是选择了不同的概率分布,而要让自己能在结果中处于领先地位,要么拥有系统性优势、要么运气好。

系统性优势有助于提升下限和平均值,而运气在标准差越大的选择中越重要。选择风险水平是个人偏好的问题,但如果追求相对顺位,一定程度的风险似乎是必要条件。

但如果周期拉长,总是冒风险却不是好的选择,靠谱的方式还是稳健地寻找系统性优势。然而然到底存不存在系统性优势又是一个疑问,就像索罗斯所说“世界上只有已经被证伪和尚未被证伪的理论,没有正确的理论,因为我们无从得知所有的天鹅皆为白色。”

一个新诞生的王国里,所有居民的初始财富一样,没有人拥有系统性的优势,然而人们的风险偏好差别很大,有的人热爱冒险,有的人追求稳健,渐渐地,人们发现财富的差距逐渐扩大。

我们要讲的是一个类似的故事,期权本身不存在超额预期收益,但通过丰富的组合策略,可以获得各式各样的概率分布。不同风险偏好的投资者选择不同的概率分布,多次路径累积后的资产千差万别。

为了更形象地展示概率思维,我们先从理论层面进行讨论,方法是用随机漫步模型来模拟期权标的价格,然后根据标的变动轨迹计算出期权的收益,从而获取不同期权策略的收益概率分布。

这样做不是说认可随机漫步能够完全模拟现实情况,而是该模型简单有效地建立起标的资产和衍生品之间的定价关系,并且定价关系的核心并不是标的服从什么分布,而是假设市场有效,也就是任何时点买方或卖方都不存在超额预期收益。

简单介绍下随机漫步模型,它是一种数学统计模型,由一连串轨迹所组成,其中每个步骤根据概率分布跳转到另一个站点,而每一次跳转都不受之前结果的影响,保持独立同分布。

金融市场可以用随机漫步来模拟,主要逻辑是市场接近完全有效,现在的价格已经反映了包含预期的价值,并且市场上的买方与卖方同样的聪明机智,买卖双方都认为价格公平合理时,交易才会完成,不存在一方有系统性的优势。

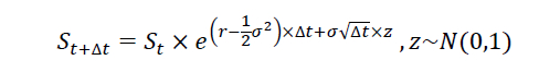
因此,市场价格的未来走势接近于随机漫步,具体的,我们用以下数学模型来模拟资产价格:

其中,St是t时刻资产价格,r是常数漂移项,代表市场平均预期收益率,σ是标准差,代表了概率分布的离散程度,z是随机项服从标准正态分布。

1

有效市场下,无论怎样的组合策略或者动态操作,预期收益是一致的,改变的是概率分布

我们将从简单的单腿策略、到多腿策略、最后结合各类操作分析各种情况下的预期收益与概率分布。

参数设置方面,我们设定50ETF期权的标的服从r=0,σ=0.2的随机漫步,策略持有周期为30个自然日,轨迹次数为20次(20个交易日),标的起始价格为2.50元。每一个完整周期产生一个有20个轨迹点的样本,然后我们再重复10000次这样的随机过程,总共产生10000个随机漫步的样本。

图一展示了这10000个样本的漫步轨迹,图二展示了样本在最后交易日的价格分布,价格分布符合对数正态分布。

有了标的价格轨迹与分布,我们代入不同期权策略,具体的计算中,我们假设做1手策略,合约乘数是10000,每一个策略由两张图展示其收益特征,左边是盈亏图,代表1手策略在期末时,标的不同价格下的损益情况,右边是收益率的累积概率分布图,计算收益率时,分子是单笔损益,分母方面,期权买方是全部权利金,期权卖方是要求的初始保证金减去收到的权利金。

接着,我们观察各类策略的收益特征,主要涉及上下端是否闭合、最大概率的收益落在哪里,分布的离散程度如何。

图3-图8展示了裸买平值认购、裸买平值认沽和裸买虚值认购的收益特征:

(1)裸买期权可能的最大亏损是本金的100%

(2)购买平值期权,有约50%的概率亏损全部本金,而购买越虚值的期权,亏损全部本金的概率越高

(3)裸买期权的收益上限非常高,裸买认购的理论最大收益无限,但是取得高收益的概率较低,平值期权约有5%的概率取得3倍以上收益

(4)购买越虚值的期权,右侧尾部高收益的概率越大,平值期权获得10倍以上收益的概率大约万分之一,而虚值两档的期权有1%的概率获得20倍以上收益。

图9-图10展示了裸卖期权的收益特征:

(1)裸卖期权可能的最大亏损无限,但是大幅亏损的概率较低,平值期权亏损本金50%以上的概率大约在5%

(2)裸卖期权的最大收益有封顶,等于权利金金额

(3)在目前的保证金制度和0.2的隐含波动率下,裸卖30天到期的期权,收益率约为15%,平值期权有约50%的概率取得最大收益。

图11-图12展示了买入跨式的收益特征:

(1)相比裸买,亏损全部本金的概率大幅降低,但是出现亏损的概率没有降低,依旧有约60%

(2)相比裸买,右侧尾部高收益概率下降。

图13-图14展示了卖出宽跨的收益特征:

(1)相比裸卖,潜在最大收益率降低,但是取得最大收益的概率以及取得正收益的概率都得到提高

(2)依旧存在无限亏损的可能,无法避免尾部风险。

图15-图16展示了垂直价差的收益特征:

(1)收益的上下端都封闭

(2)可能的最大亏损等于建立价差的两个期权的权利金差值,可能的最大收益等于两个期权的行权价之差减去可能的最大亏损

(3)盈亏概率与价差所选的行权价有关,越接近平值的价差,盈亏概率越接近1:1,可能最大亏损与可能最大盈利也接近1:1,而越虚值的价差,胜率越高,但可能最大亏损与可能最大盈利的比例也会增大。

图17-图18展示了反向价差的收益特征:

(1)下端封底,上端不封顶,但大幅盈利的可能极小

(2)出现亏损的概率在50%左右

(3)正收益的概率部分,有一段约30%概率是能取得相当于裸卖虚值期权的最大收益。

以上展示了常见的期权策略持有到期的情况,其中很多存在大幅亏损的风险,为了控制住这样的风险,实际操作中,投资者会采用动态操作(比如止损)或者资金管理(比如分批建仓)的方式,来控制回撤风险,而实际上,如果以全部资金作为分母考察,动态操作或资金管理都不会改变整体资产的预期收益,只是变相地改变概率分布。

图19-图20展示了动态操作中最常见的止损的收益特征(假设是组合初期资产为100元,全部买入平值看涨,日收盘若组合净值低于80元则平仓,并且之后不再开仓):

(1)相比不止损的裸买,大幅亏损的概率显著降低,但出现亏损的概率提升,亏损概率由60%上升到80%,这是由于一些原本可能盈利的期权被中途提前平仓了

(2)虽然设定20%止损,但不能完全避免大幅亏损的风险,因为止损是以日频,存在前一天没有触发止损,第二天直接跌去50%以上的可能

(3)右端尾部的极大盈利分布基本不受影响。

图21-图22展示了使用资金管理的收益特征(假设是组合初期资产为100元,20%资金买入平值看涨,并持有到期,剩余资金配置无风险资产):

(1)收益的下端封底,最大亏损限制在20%

(2)右端尾部的极大盈利分布大幅降低,全仓裸买有5%的概率取得3倍以上收益,而用20%仓位配置,取得3倍以上收益率概率接近于零

关于动态操作或者资金管理不增加预期收益,需要说明的是这是建立在有效市场假说下的,也就是任何时刻的买入或卖出都没有优势,而如果说,的确存在某种条件下的概率优势,比如支撑位破位后大幅下跌概率更大或者股价跌地越多之后上涨概率越大,那么这些操作就是有意义的了,当然前提是这些逻辑真的正确。

2

不同的概率分布,经过多次重复后,累积资产的差别会非常大

相同的预期收益率是是从平均意义上而言的,而如果我们从个体考虑,把发生在个体上的结果就当成他的一切,好比我们把小明的学习成绩当成小明的学习成绩,不会把像小明这样的人群的平均成绩当成小明的学习成绩,那么选择不同概率分布的意义就很大了,尤其是经过多次的概率分布跳转后,累积资产的差别会非常大。

为了展示差别,我们假设一个环境:

有30000名投资者,没有人存在系统性优势,大家投资的预期收益率一样,但是风险偏好不同,有冒险型、激进型、稳健性,代表着概率分布的标准差由大到小,大家的初始资产都为100万元,随后观察他们的累积资产。

参数设置是:

每个风险偏好人群都为10000人,市场的平均收益率是年化5%,每一期投资周期是1个季度,总共投资40个周期,也就是10年,资产按复利累积计算,冒险型投资者每期全仓买入delta为0.99的期权(也就是1%的概率亏损全部本金的期权),激进型投资者每期20%资金配置delta为0.99期权,80%资金配置无风险资产(收益率为 5%),稳健型投资者每期5%资金配置delta为0.99的认购期权,95%资产配置无风险资产(收益率为 5%)。

图23-28展示了三类人群每期投资的概率分布,以及经过10年后的累积资产情况。

经过10年,40个周期后,表1 展示了三组人群最终资产的分布。如果我们把最终的资产水平分位4档,最低档低于100万元,然后是100-300万元和300-1000万元两档,最高档高于1000万元,那么稳健组全部在100-300万元档,激进组部分进入最低档和第二高档,而冒险组有大量进入最低档,同时有1%的冒险组进入最高档,并且最高档全部来自冒险组。冒险组的标准差极大,最低值为0元,最高值达到了5.2亿元,而稳健组标准差很小。

三个组全部资产由最初的300亿元增长到500亿元,人均资产由100万元增加到164万元,增长率约为65%,这也正好是市场平均收益率5%经过10次复利后的水平,也就是说平均而言资产的增加等于平均收益率的复利累积,然而个体来看,增长的差别很大,尤其是冒险组,冒险组前2%(200个人)的资产总和到达100亿元,约占全部(30000人)资产的20%,而选择冒险组的代价是有超过50%的冒险者最终资产低于50万元。

3

结语

第一部分说明了在有效市场下,期权本身实现不了超额的预期收益率,实现的是不同的概率分布,是对确定性和标准差的取舍。

第二部分的结果告诉我们,如果投资者没有系统性优势,那么能够选择的只有不同风险偏好的概率分布,稳健的分布确定性好,冒险的分布标准差很大,而从最后的群体排序看,累积资产达到领先位置的全部来自于冒险者,而靠后者也全部来自于冒险者。

概率思维看期权,就是风险与收益的trade-off,那么如何在控制风险的情况下,尽可能提升收益呢?下一篇我们将讨论实力(也就是系统性优势)的影响,以及我们该如何利用优势。

加载中...