新浪财经

教你灵活运用期权“收入型”策略 让时间为你带来利润!

财经自媒体

关注

原标题:教你灵活运用期权“收入型”策略,让时间为你带来利润!

来源:期权时代

期权收入型策略以赚取时间价值衰减为主,其中也蕴含巨大风险,必须谨慎对待。期权作为时间耗损型衍生产品,其时间价值最终是要消失殆尽的。

随着到期日的临近,期权时间价值衰减速度逐渐加快(Theta绝对值不断增大),尤其是在最后一个月内,时间价值贬值非常快。基于此,利用短期期权构建收入型策略是常用方法。

期权作为典型非线性衍生产品,以策略众多见长,按照构造形式划分,可分为垂直型、日历型、对角型、比率型和跨式型,然而无论哪种类型,这些策略表现都会受到时间变化的影响,这是由期权多维定价特征决定的。

当时间变化对策略有利时,时间会为交易者带来利润,反之则造成亏损,这里便涉及期权收入型策略概念,它是期权特有盈利模式,值得反复研究。

1. 什么是收入型期权策略

期权价格由标的资产价格、执行价格、距离到期时间、波动率和无风险利率五个定价因素决定,从量化分析角度讲,除执行价格外,每一个期权价格影响因子都对应着一个敏感性参数,其中参数Theta用以衡量期权价格相对于时间的变化率,根据B-S公式,对于普通欧式看涨及看跌期权,其Theta值为:

其中,

以上公式中,时间以年为单位。而通常在计算Theta时,时间是以天为单位,因此Theta表示在其他变量不变时,每经过一天交易组合价值的变化。此外,Theta通常为负值,表明随着时间的流逝,期权价值不断贬值,Theta也因此被称为期权的时间价值耗损(Time Decay)。

以大商所豆粕期权为例,若M1709-C-2700合约Thete值为-0.6644,表示在其他条件不变的情况下,每经过一天,期权价格贬值0.6644元/吨。很显然,这对于期权买方来说是不利的,对卖方来说是有利的。

试想,随着到期日的临近,期权卖方每天都能依靠时间价值衰减赚取利润,是多么美好的一件事!正是基于此,“时间是期权买方的敌人,是期权卖方的朋友”,成为期权交易中经常被提及的一句箴言。

事实上,相当一部分期权组合拥有正值Theta特性,时间流逝会为这类期权组合带来收益,这便是收入型策略。然而,这只是广义上的定义,狭义上讲,只有组合Theta为正值,且以赚取时间价值为目的的投资组合才称之为收入型策略。

以反向看涨比率组合为例,它是指买入N手虚值看涨期权,同时卖出M(M<n)手平值看涨期权的组合交易策略。通常该组合中,卖出期权所得到的权利金要高于买入期权所付出的权利金,且theta为正值。但它并非收入型策略,因为该策略的构建,主要是为了博取价格大幅上涨收益,而非价格下跌产生的固定小额净权利金收益。< font=“”>

典型收入型策略主要包括裸卖空期权、卖空(宽)跨式、牛市看跌垂直价差、熊市看涨垂直价差、正向日历价差、卖空蝶(鹰)式组合。

由表1可知,任何收入型策略都包括期权空头头寸,这是因为只有期权空头头寸才拥有正Theta,从而才可能使得组合总体Theta为正。

2. 收入型策略特征分析

收入型策略以赚取时间价值衰减为主,作为期权特有盈利模式,有其独特魅力,然而这其中也蕴含巨大风险,必须谨慎对待。

▋收入型策略的优势

1. 获胜概率大。

时间价值耗损是确定性的,它有利于收入型策略。以裸卖空期权为例,期权的权利金包括内在价值和时间价值两部分,在标的物价格、波动率等因素不变的情况下,时间价值会随着到期日的临近而加速衰减,这一点是客观的。在到期日,即使标的资产波动率很高,但只要此时期权依然为虚值期权,投资者便可以得到全部时间价值。时间将最终带走一切,时间就是金钱是收入型策略的投资哲学。

2. 较少依赖行情判断。

在单纯期货交易领域,行情判断成为最终能否盈利的关键,然而这是非常困难的,而在收入型期权策略中,重点依靠时间价值衰减获利,避免了过分依赖行情判断。依然以裸卖空期权为例,它预测的不是标的资产价格会到哪里,而是标的资产价格不会到哪里,这一特性极大地降低了操作难度,提高了胜率。

▋收入型策略的劣势

1. 盈亏比不合理。

任何收入型策略,其最大收益均是有限的,而潜在风险可能巨大,换句话说,收入型策略的盈亏比不佳。理论上讲,这不是值得应用的交易策略,幸好高胜率特性在一定程度上弥补了这一劣势。

2. 风险管理意识淡漠。

在实际交易中,“获胜概率大,较少依赖行情判断”是一把双刃剑,因为在有利于投资获利的同时,容易麻痹投资者风险管理意识,一旦出现风险,投资者总会认为“坚持一下,时间价值衰减有利于我,最终会盈利”,然而标的资产价格很可能继续向不利方面变动,亏损无法避免。所有期权收入策略亏损者无一不是陷入“构建策略—价格不利出现浮亏—不做风控—最终亏损”的死循环中。

臭名昭著的巴林银行的衍生品交易丑闻中,流氓交易员里森使用的是卖出跨式期权策略,他卖出了约35000份日经指数期货看涨和看跌期权,构成了卖空跨式期权组合,若日经指数期货持稳于安全区域内,该策略是能够赚取大量权利金的,然而,神户大地震使得日经指数暴跌,跨式组合产生巨大亏损。

▋谁在主导时间价值衰减

根据期权定价理论,期权价值=内涵价值+时间价值,其中,标的资产价格与执行价格决定了期权内涵价值,这是明确的,而到期时间和波动率则直接影响了期权时间价值。

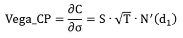
前面提到,参数Theta用以衡量期权价格相对于时间的变化率,而衡量期权价格相对于波动率的变化率的参数则为Vega.

根据B-S公式,对于普通欧式看涨及看跌期权,其Vega值为:

其中,

期权Vega值为正值,表明波动率的增大,会增加期权价值。以Vega=3为例,说明波动率每增加1%,期权价值便增加3个单位值。

由前面分析可知,到期时间和波动率直接影响了期权时间价值,间接影响期权价格,到底哪个因素对期权价格影响更大呢?下面通过数据分析说明。

以大商所豆粕期权为例,在波动率25%情况下,对于一个月后到期,执行价格为2700元/吨的豆粕看涨期权,其Theta与Vega在不同标的资产价格下的变动状况如表2所示:

表2为不同标的价格下的参数对比

由表2可知,在不同标的资产价格下,Vega与Theta的比率始终大于2,说明在其他条件不变的情况下,波动率每变动1%,期权价值增加量至少需要2天时间才能消耗掉。

以标的价格为2700元/吨的平值期权为例,波动率每增加1%,期权价值增加3.0919元/吨,而通过Theta=-1.2687可知,每经过1天,期权价值贬值1.2687元/吨,即需要经过2.437天才能抵消1%波动率增长所造成的期权时间价值增量。这充分说明,在期权持有期内,波动率较到期时间对期权时间价值影响更大。

然而,换个角度思考,期权作为时间耗损型衍生产品,其时间价值最终是要消失殆尽的。随着到期日的临近,期权时间价值衰减速度逐渐加快(Theta绝对值不断增大),尤其是在最后一个月内,时间价值贬值非常快。基于此,利用短期期权构建收入型策略是常用方法。

由下图可知,无论持有期内波动率多高,随着到期日的临近,时间能消耗掉波动率带来的任何影响,最终使期权时间价值归零。

总之,在期权持有期内,波动率的变化能够在短期内严重影响期权时间价值,但长期来看,时间胜过一切,时间才是最终影响期权时间价值的核心因素。

3. 收入型策略的风控

按照风险收益划分,收入型策略可分为“收益有限,风险巨大”和“收益有限,风险有限”两类。第二类收入型策略理论上讲无需进行风险管理,因为其本身风险有限。投资者最应该关注的是风险无限性收入策略的风险管理问题,这类收入型策略无一例外都包含裸期权。

假设当豆粕1709合约为2700元/吨时,投资者卖空一手一个月后到期,执行价格为2700元/吨的豆粕平值看涨期权,得到权利金75元/吨。下面说明两种常见的风险控制方法:

▋将期权平仓

浮亏出现后,直接将期权平仓,是最简单,但很可能是最有效的风控方式。期权平仓有两项指导原则:

一是根据技术分析,一旦价格上穿重要压力位,很可能预示着价格将继续上涨,可将期权平仓;

二是根据期权权利金大小,例如当期权价格涨至初始权利金的两倍时,不论此时标的资产价格如何,都将该期权平仓,接上例,当豆粕期权价格变为150元/吨时,便将豆粕看涨期权空头平仓,结束交易。

由于影响期权价格变动的因素多且复杂,在许多情形下,即使标的资产价格变化不大,期权价格也可能变动非常剧烈,因此最好基于技术分析平仓,以提高风控效果。

▋展期

期权展期类似于期货移仓操作,这包括两个交易:在期权到期前买入同样1份先前出售的期权将空头平仓,再出售1份标的资产相同,但执行价格、到期日可能不同的期权。

展期是收入型策略中一种常用风险管理方法,并且常常使用的是双倍展期法,即期权在达到退出点,卖空者将期权空头平仓后,重新卖出价值为损失值双倍的另一手期权。

接上例,当豆粕期权价格上涨到100元/吨时,此时可将该期权平仓,实际亏损25元/吨,同时卖空一手更高执行价格、更长到期时间的豆粕看涨期权,使其权利金为50元/吨。如果该期权到期作废,那么得到的50元/吨权利金中,25元/吨用于弥补最初的损失,另外25元/吨则是收益。

理论上讲,只要投资者坚持该种方法,一定会有盈利产生,因为达到这个目标只需要两个条件:

第一,标的资产价格涨跌互见,不是总朝着同一个方向波动。第二,投资者拥有足够资金用于展期操作。

第一个条件用于确保总有一个期权会到期作废,该条件是自然满足的。第二个条件用于确保在投资者最终获利之前,不至于因无法追加保证金而被迫出局。值得注意的是,为了限制总亏损,不可一味采取展期操作。

加载中...