新浪财经

19世纪期权定价模型还未诞生之前 交易员们如何给期权定价呢?

财经自媒体

关注

原标题:19世纪期权定价模型还未诞生之前,交易员们如何给期权定价呢?

来源:期权时代

1973年发表的期权定价公式“布莱克-斯科尔斯-莫顿”公式,不过其实在此前300多年就先后在阿姆斯特丹和伦敦开始了期权交易。彼时的期权价格是如何定的呢?

本文向你介绍19世纪的交易员给期权定价的基本方法。

1

不少教科书里提到人类历史上最早的期权,都会引述古希腊哲学家泰勒斯的故事。这位西方先哲博闻强记,知识渊博,但一贫如洗。

同村的乡民都嘲笑他,懂那么多知识有什么用。有一天泰勒斯终于忍不住了,他夜观天象,预料到来年橄榄会有个好收成。

于是他联系村里乡民,凡是家有橄榄油压榨机的他都一一拜访,与乡民商定来年泰勒斯有权优先租用压榨机。当然,为了获得这个权利泰勒斯现在付一笔钱给这些乡民。

乡民们都欣然答应了。有人现在付钱,来年租压榨机还能再赚一笔,何乐而不为呢?第二年,果然橄榄大丰收,村里人急需压榨机榨油,却发现所有的压榨机都已经被泰勒斯租用了!

接下来发生的事可想而知,泰勒斯转租这些压榨机发财致富,一夜之间成了村里最有钱的人。

然后传奇的一幕发生了:泰勒斯把所有村民召集起来,当着大家的面把赚来的钱币抛向空中,潇洒地说了一句“哲学家如果想赚钱,那是分分钟的事啊!”,与李白的“天生我才必有用,千金散尽还复来”同样肆意。

2

这个故事大概率只是个美丽的传说,真正有记载的期权交易是古希腊的船舶抵押借款(bottomry loan)。

当时冒险家航海需要大量资金,就以船舶为抵押,如果船舶发生重大损失甚至沉没则债务取消。这等于出资人卖给航海家一个看跌期权,于是借款的利率普遍比市场其他利率更高,这个高出来的部分就是看跌期权的费用。

有经济学家测算过,船舶抵押借款的利率当时大概在12.5%-100%左右。假如不用这种带有期权性质的船舶抵押借款,出资人就必须对航海家的经济实力、行船技能以及航海事故后的赔偿事项进行耗时耗力的调查和诉讼。

可想而知,由于客观存在的信息不对称,这些低效的调查和诉讼会极大地阻碍当时的航海事业。

到了19世纪,期权交易已经从伦敦传到了法国,继而由法国传到了德国。

伦敦股票交易所的期权交易是当时世界上规模最大的,合约也已经很丰富了,从15天到3个月到期的都有,既有平值合约,也有价内和价外合约,标的资产有英国和美国的股票,也有英国公债和西班牙政府债券。

据历史数据显示,这些期权合约的价格表现居然跟当代的市场价格表现类似,比如隐含波动率普遍比历史波动率高,且高出的幅度也差不多,再比如也存在隐含波动率微笑的现象。

那么问题来了:当时的交易员们没有学过布莱克-斯科尔斯-莫顿模型,他们又是怎样定价的呢?

3

1896年 Leonard R. Higgins 出版了一本书《Put-and-Call》,书中详细记载了当时伦敦市场上交易者给期权定价的基本理念和方法。

首先考虑一个平值跨式期权(at-the-money Straddle),当时的人们把它叫做 put and call(p.a.c.)。

这也很好理解,因为跨式本来就是由一个 call 加上一个 put 组合而成。这里的平值定义为行权价格 K等于基础资产的远期价格 F。我们知道跨式期权在到期日的回报为:

注意,Higgins 一书中的所有期权价格都定义为我们今天所讲的期权名义价格与期初基础资产价格的比,是相对的概念,并且都是到期日时的价格。根据上式,跨式期权的价格即为:

其中 Q 代表这是在风险中性概率测度下的期望值。这个公式表明,跨式期权到期日价格应该等于基础资产未来回报率绝对值的风险中立期望值。由于基础资产未来回报率的平均值一般近似为零,所以这个回报率绝对值的期望值(MAD)就是该基础资产的风险中立波动率。

更重要的是,这个公式跟经典的布莱克-斯科尔斯-莫顿(BSM)公式相吻合。根据 BSM 公式,平值期权的(期初)价格为:

而跨式期权等于看涨期权加上看跌期权,且当 K = F 的时候,看涨期权价格等于看跌期权价格,因此我们有:

该式可以看作是下式的近似表达:

看到这里就清楚了,Higgins 书中给出的跨式期权公式跟上面这个基于 BSM 公式得到的表达式是近似相等的,因为一个服从正态分布的资产价格波动率就与其回报率绝对值的期望值(MAD)成比例:

根据以上讨论, 交易员要给一个平值跨式期权定价,只需要估计出基础资产价格的风险中立波动率就可以了。他们是怎么估计这个波动率的呢?书中给了一个2个月到期的期权例子:

交易员先根据历史数据测算出历史波动率是4.5%,然后在此基础上加入了其他预期的未来成本要素,得到风险中立波动率为5.375%,大概是20%的差异。今天在美国的期权市场上,隐含波动率也比历史波动率大概高出20%!

更神奇的是,19世纪的交易员在平值跨式期权的基础上实现了给看涨期权和看跌期权的定价。我们来看看这是如何实现的。

首先,交易员们“天才”地发现了看跌-看涨-等价公式。注意,这个等价公式正式出现在学术文献里要等到1961年:

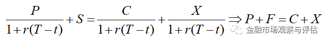
等式中的价格均为到期日时的价格,X 为行权价格。两边同时加上C或者P,我们就得到:

其中 D = F - X,代表行权价格与现有远期价格之间的距离,C 和 P 分别为平值看涨期权的价格和平值看跌期权的价格。

现在交易员们解决了平值的跨式期权、看涨期权和看跌期权的定价问题,最后他们还完成了对轻度价外期权的定价。

他们的思路是:假设轻度价外的跨式期权跟平值跨式期权的价值相等,在这个前提假设下对平值看涨和看跌期权价格进行调整,就可以得到轻度价外期权的价格。

见书中这样一个例子:已知行权价格为80的看涨期权价格为1.5%(提醒读者:书中的期权价格均为相对基础资产价格的比例)。求一个行权价格为80.25的看涨期权价格。

交易员假设这个价外跨式期权的价格与平值跨式期权的价格相等,均为3%。

因为行权价格为80.25的看涨期权价格一定比行权价格为80的看涨期权价格更低,所以应当在原有的跨式期权基础上减去“距离” D = F - X = 0.25,这样计算下来行权价格为80.25的看涨期权价格应当为1.375%(计算过程如上图所示)。

类似地,一个行权价格为79.75的看涨期权在计算其价格时,应当在跨式期权的基础上加上“距离”D,所以价格为1.625%(计算过程如上图所示)。

事实上,根据 BSM 公式,期权价格对行权价格的一阶导数(称为 Dual Delta)为:

这一项在到期日较短以及波动率较低的情况下近似为-0.5。因此,根据 BSM 公式以及一阶泰勒展开,平值期权与轻度价外期权的价格之差可以近似为:

而这个公式正与上图中的计算逻辑相符合。

由上可见,19世纪的交易员已经从经验中掌握了看跌-看涨等价公式,熟练地运用风险调整之后的波动率计算平值跨式期权的价格,并在此基础上估计出了平值和轻度价外看涨和看跌期权的价格。

这些来自于实际交易经验的定价逻辑与现代期权定价理论不谋而合,是对 BSM 公式的精确近似,显示出数百年前期权交易员的高度智慧。

主要参考文献:

1. Option Pricing Methods in the Late 19th Century by George Dotsis, 2018。

2. Put and Call by Leonard R. Higgins, 1906。

加载中...