新浪财经

卖出双边期权的宽跨式套利策略 你了解吗?

新浪财经

关注

原标题:期权策略 | 卖出宽跨式套利

来源:期权时代

将同时卖出不同行权价的看涨期权与看跌期权的交易方法称之为卖出跨式套利策略,这是许多期权交易员都使用的策略。

此策略简单易懂,所以也是刚入门期权的交易者特别喜欢使用的策略之一。

当看涨期权被高估时卖出,买入标的资产(大部分为期货), 使得 Delta 值对冲为 0 的简单策略。如果看跌期权被高估,就可以卖出,同时卖出标的资产,使得 Delta 值对冲为 0。如果看涨期权与看跌期权都被高估,则可以做以下组合:

(卖出看涨期权+买入标的资产)+(卖出看跌期权+卖出标的资产)

将卖出看涨期权的Delta(负数)与卖出看跌期权的 Delta(正数)之和设计为 0, 这时买入标的资产与卖出标的资产正好对锁,相当于没有持有标的资产。

因此当看涨期权与看跌期权都被高估时,不用再买卖标的资产进行对冲,只需要卖出看涨期权与看跌期权,就可以通过 Delta 对冲,将波动率高出部分的收益收入囊中。

这样卖出双边期权的交易方法称为宽跨式套利策略。 

1

不同期权合约的宽跨式套利

下面我们围绕看涨期权与看跌期权皆为虚值期权的宽跨式套利来进行研究,通过假设的指数期权来了解一下宽跨式套利的一般特征。

如表所示,是当指数为 5000 元,看涨期权行权价为 5200 元,看跌期权行权价为 4800 元时,期权理论价格与希腊值。

表:期权理论价格和希腊值

下面我们围绕看涨期权与看跌期权皆为虚值期权的宽跨式套利来进行研究,通过假设的指数期权来了解一下宽跨式套利的一般特征。

如下表所示,是当指数为 5000 元,看涨期权行权价为 5200 元,看跌期权行权价为 4800 元时,期权理论价格与希腊值。

表:期权理论价格和希腊值

表中,假设距离到期日还有 20 天,利息为 4%,对隐含波动率 25%、30%、 35%情况下的数据也有体现。宽跨式套利最基本的条件就是将 Delta 对冲为 0,因此,在隐含波动率为 30%的情况下,对于买入一手标的资产对应的看涨期权卖出数量为 1/0.35=2.86 个;卖出一手标的资产所需要的看跌期权卖出数量为 1/0.29=3.45 个。

在现实中,期权都是以整数进行交易的,无法把 Delta 值完全对冲成 0。但这里为了解释方便,我们假设非整数 2.86 和 3.45 是可用的。期权的理论收益与到期收益的曲线如下图所示:

当波动率上升时,收益曲线将远离到期收益曲线,向下移动,即当波动率上升时,宽跨式套利策略会产生亏损。宽跨式套利随着时间的推移,因期权的时间价值 的减少而产生收益。隐含波动率的降低与时间价值的减少是同一方向,对收益有正面影响。

如果不是因操作失误或者市场过热等特殊情况使得波动率明显变高的话,大部 分交易员在判断期权价格是否被高估时都会有一些困难。

因此,在普通市场中,用宽跨式套利交易的投资者,一般不会将被高估的隐含波动与实际波动率之间的差异作为收益,而是把随着时间减少的时间价值作为收益的主要来源。

2

卖出宽跨式套利交易持仓分析

下面我们来看一下宽跨式套利策略随着标的资产的变化、时间的变化及波动率的变化,整体持仓的损益将有怎样的变化。

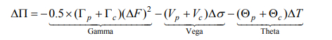
宽跨式套利的持仓结构是卖出看涨和看跌期权,因此当看涨、看跌期权价格在 C、P 时,整体持仓价值公式为:Π=−ncC−npP, 整体持仓的损益变化公式如下:

持仓损益可以分为 Delta、Gamma、Vega、Theta 来观察。Delta部分在建仓时已经做了对冲,即 ncδc=−npδp,Delta 效果为 0。

所以上面的公式又可以分为 Gamma、 Vega、Theta 3 个部分,具体如下:

在宽跨式套利交易中,看涨与看跌期权的 Gamma、Vega、Theta 的符号相同。而且可以看出 Gamma 与 Vega 受标的资产价格与波动率的影响最大。时间是朝着未来稳步向前的,因此 Theta 的效果可以看作是稳定的。

看涨期权与交易日标准看跌期权的隐含波动率变化在一般情况下都不相同,但为了方便理解,我们假设隐含波动率的变动一样(△σp=△σc=△σ),即 Vega 引起的损益为 Vp△σp+Vc△σc=(Vp+Vc)△σ。

严格来讲上面公式是约等式,是以△F、△σ数值不大为前提的。因此还需要观察上面公式是否正确反映了实际的市场,公式可变为如下:

其中,

◎ np 是卖出的看跌期权数量,nc 是卖出的看涨期权数量。 

◎ σp 是看跌期权隐含波动率,σc 是看涨期权隐含波动率。 

◎ θp 是看跌期权 Theta,θc 是看涨期权 Theta。 

◎ σp′=σp+△σp 是看跌期权隐含波动率的变化。 

◎ σ′c = σc + △σc 是看涨期权隐含波动率的变化。 

◎ δp,δc、γp,γc、υp,υc 分别是看涨期权、看跌期权的 Delta、Gamma、Vega。 

◎ △p=npδp、△c=ncδc 是看跌期权与看涨期权各自的 Delta 之和。 

◎ Γp=npγp、Γc=ncγc 是看跌期权与看涨期权各自的 Gamma 之和。 

◎ Vp=npυp、Vc=ncυc 是看跌期权与看涨期权各自的 Vega 之和。 

◎ Θp=npθp、Θc=ncθc 是看跌期权与看涨期权各自的 Theta 之和。 

◎ △T 是时间的变化。 

◎ Π 是整体持仓的价值。 

◎ △Π 是整体持仓的损益变化。 

◎ F 是标的资产价格,△F 是标的资产的变化。

加载中...