新浪财经 保险

支付宝相互宝:史上最大骗局,超过一亿人被收割?

新浪财经

关注

首先声明,我没有从支付宝,蚂蚁保险,相互宝或者其它任何利益相关方收过一分钱。

我写这篇文章的目的,只有一个,那就是作为一个医学博士,一个在保险行业沉浸了三四年的医学博士,如何从专业的角度客观评价相互宝这个东西,毕竟已经1.07亿人加入了,利益相关群体越来越大。

它到底是不是一个好产品,值不值得加入,加入之后每年分摊的保费会不会是个无底黑洞,又会不会像过往很多金融理财产品一样,割完韭菜就跑路?

这些问题,我都会在文章里用数据给大家深入剖析解答。

这篇文章,我写了改,改了毁,毁了又写,整整写了将近四个月,不管问题汇总,还是数据整理,到文章的构架,以及到最后的成文,每一步我都做了扎实的调研。之所以写的这么辛苦,一个是我觉得既然写了,我就要确保这文章对所有人都有用,要把大家关心的所有问题都写进来,另一个是我要对我自己的结论负责,每一个问题必须有大量的数据计算支撑,我才敢下结论。

我有自信,这篇文章绝对是全网最大最全最客观,并且是第一个对相互宝做了系统性分析的文章,关于相互宝,你看完这篇,就不需要再看别的任何了。

当然了,如果大家看完,还有任何疑问或看法,欢迎随时留言。但如果你是纯杠精,那请你拿出你的数据和计算方法来,一味的口嗨,恕不奉陪。

相互宝的前世今生

爆款的诞生

“相互宝”原名“相互保”,2018年10月16日正式上线,

它是由信美人寿相互保险社和蚂蚁金服联合推出的一款新型重疾产品,同样是保重疾,却无需缴纳任何费用,只要你身体健康,芝麻信用满650分就能加入,门槛极低。

若不幸患病,40岁以下成员将获得30万互助金,40岁-59岁则获得10万互助金,这些费用由加入的所有成员共同分摊,每次分摊前,相互宝都会先对帮助的成员名单进行公示,待公示无异议后,才会从大家的账户里扣钱。

这种不设资金池,出了险事后分摊的救助模式,可以说是最原始最纯粹的保险形式。

没有中间商赚差价,谁出事大家帮,共摊风险,而相互宝就在里面收取8%的管理费,用来维护平台运营、理赔调查等,除此之外再无其他费用。

相比传统保险公司约20%的运营管理费用,相互宝真正做到了低成本保障,价格直接秒杀99%的保险产品。

除非保险公司愿意持续赔钱,否则不可能比相互宝的价格还低。

可以说,理想化的保险就应该是这样,大家一起抱团取暖,既保证了看病,又分摊了风险,如果相互宝能始终严格把控准入门槛,理赔也做到公平公正,出了险就公示,再加上参与的用户能够自觉遵守规则,不存在带病投保等各种道德风险,确实是没有比这个更优的保险模型了。

相互保的更名

但计划赶不上变化,由于合规问题被约谈,同年11月27日,相互保仅仅上线41天便宣告夭折,正式升级为“相互宝”,从保险变为网络互助计划,改由蚂蚁集团独立运营。

其中缘由,官方说辞是由于相互保未按照规定使用经备案的保险条款和费率、销售过程中存在误导性宣传,信息披露不充分等问题被要求整改,

至于真实内幕,咱也不敢问,但有一点可以肯定——动了别人的蛋糕,

据民间传闻,就是某些保司从中作梗,暗戳戳提醒了银保监会,导致信美人寿被约谈后直接被要求退出,

他们为什么要这么干?

道理很简单,相互宝的发展实在是太快了,短短1个月时间就吸引了2000万人的加入,一年仅需几十块就能拥有10万/30万的保障,谁还会去选择几千块的保险?

同时对于监管层而言,相互保虽是保险,却处于监管的空白地带,它是采取先保障后付费的模式,没有了责任准备金,就意味着可能会带来更大的金融风险。

太多血淋淋的案例无不告诉着我们,金融如果缺少了强势的监管,缺少了有效的监管规则设计,就很容易酿成旁氏骗局。

再加上相互宝简单粗暴的宣传方式,日后可能会造成更多纠纷,

毫无疑问,相互宝不仅触动了传统保险的利益,更冲击了银保监会的行政权力,所以银保监会要监管它,各大保险公司拆它的台,几亿人的流量,要真敢放任它这么干下去,以后还卖屁保险啊。

相互宝的诞生,实属被迫的妥协。

尽管从保险变成了互助,相互宝仍是采取先保障后付费的模式,一人出险,全员分摊,那这种分摊机制到底合不合理呢?年轻人和中老年人发病率明显不一样,凭什么要混为一谈?相互宝又是怎么处理的呢?接着往下看,

相互宝的分摊机制合理吗?

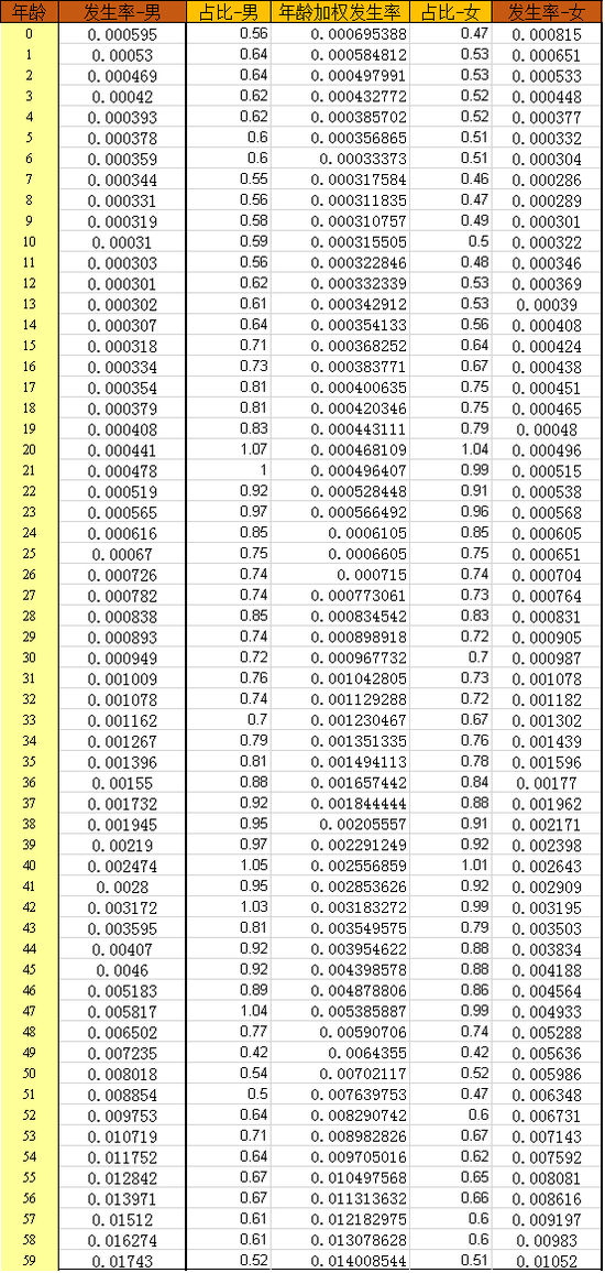
先来看这张由银保监会发布的重大疾病经验发生率表,

备注:《中国人身保险业重大疾病经验发生率表(2006-2010)》

无论男女,年纪越大,出险的概率也就越大,尤其是40岁以后的人群,患上重疾的概率更是直线上升,这种大家一股脑一起分摊的机制,必然会导致低年龄+低风险的用户额外付出更多的互助成本。

面对年轻人和中老年人不同的发病率,相互宝选择了以保额的方式进行了简单的区分,即40岁以下出险赔30万,40-59岁则只赔10万。

为什么要这样划分?

在之前的文章中,保贝就一直在强调保险的定价逻辑,是由风险的大小决定的,

用公式表达:保费=预期风险发生概率×风险损失(也就是你要买的保额),

反过来说,在定价相同的前提下,风险越大,保额也就越低,

在大家分摊的保费都相同的前提下,中老年人的风险更大,自然保额也就越低,对年轻人而言也就越公平,

做个最简单的对比,这里有一款一年期重疾险,

大家可以着重看一下我标出来的两个数字,

这里31-35岁30万的保额和40-45岁10万的保额,保费测算出来的结果是刚好差不多的,

也就是说,同样的钱,在31-35岁你能买到30万保额,到41-45岁就只能买到10万的保额了,如果想要更高保障,就必然要掏更多保费。

总体来说,相互宝的这种分摊机制还是比较合理的,谁也没有太吃亏,但相对而言,越往后年龄越大其实是越占便宜的,因为你风险更大,却只需要掏和对应年龄阶段的年轻人同样的保费,就可以拿到同样的保额。

所以相互宝在未来如果能再精细一下分界线,比如20-30岁赔50万,30-40岁赔30万,40-60岁赔10万,那就会更合理。

相互宝的历次升级

好了,了解了相互宝的前世今生、分摊机制等等,我们再来看看相互宝还做了什么,

2019年5月8日,由于有不少用户反应爸妈买不了保险,继大病互助计划之后,相互宝又上线了专门针对60-70岁人群的“老年防癌互助计划”,即使是患有三高等慢性病的老人也可以加入,虽然保额只有10万,却也能在一定程度上解决大部分老年人的保障需求。

2020年5月13日,相互宝关注到患三高、心血管等慢病人群普遍面临保障难保障贵的问题,再次推出了“慢病人群防癌互助计划”,凡八大类慢性病人群均可加入,保额同大病互助计划相同,要知道我国可有将近三亿人饱受慢性病的困扰,相互宝这么做无异于雪中送炭,填补了慢病人群的保障缺口。

2020年8月31日,不局限于疾病互助,相互宝又上线了“公共交通意外互助计划”,几乎覆盖了所有公共交通工具,最高可申领100万互助金,

为了让大家看的更为直观,这里我直接整理了一个表格,

截至到目前,相互宝根据各年龄人群风险的不同,共推出了四个互助计划,可以说是覆盖了所有人群,

如果说阿里巴巴的愿景,是天下没有难做的生意,

那相互宝的愿景,必然是天下没有难买的保险,

不难看出,相互宝确实是在努力地想做出好产品,

背靠支付宝强大的流量支持,相互宝每一次的用户调研都足够深刻、认真,他们深知市场上每一个用户痛点,

比如老年人买不了保险,他们就立刻推出了防癌计划;三高人群买不上保险,他们就赶紧上线了慢病计划;包括后面发现很多人觉得分摊金额过高,有压力,他们还推出了入门版的互助金,分摊金额直接降低30%-50%,

相互宝的每一次更新迭代都是在坚持以用户为中心,不断查缺补漏,尽量照顾到每一个群体,这也是为什么相互宝上线不到两年时间,就吸引了超1亿人加入,真正成为了全民性的保障。

为什么相互宝短时间内帮助成员异常增多,分摊的钱暴涨?是打算开始收割用户了吗?到底有没有个头?

从最初的3分钱到今天的4.17元,相互宝分摊金额直接暴涨139倍,一路飙升的理赔数据着实让不少人慌了神,

尤其是从2019年9月份开始,申请互助的人数直接突破四位数,分摊金额也是水涨船高,除了疫情最严重的的阶段有所减缓,整个数据都是呈上涨状态,

越来越多的人开始担心,相互宝是不是打算开始收割用户了?

19年好歹还承诺了分摊上限不超过188元,如今没有了兜底承诺,相互宝会不会就是一个无底洞,未来分摊的金额还会无限上涨?

尤其是网上谣传的植入甲状腺癌来骗保的骚操作,

为了贬低相互宝,一些人真的是操碎了心,硬是凭空编造出了人工早癌的虚幻故事,不给他们颁个最佳文学奖还真是屈才了!

所以为什么相互宝短时间内帮助成员异常增多?分摊的金额更是暴涨?保贝还你真相:

(1)相互宝的整体用户偏年轻化,加入成员越来越多,

相互宝的线上模式决定了最早加入的那一批人,都是伴随着互联网成长起来的年轻一代,随着年龄增长,得病的风险越来越高,分摊金额自然会不断上涨,只是目前还未到达理赔高发期,

再者,随着相互宝的知名度越来越高,更多的中老年人加入了进来,还有很多来自小城市,从未做过体检的“健康”人群,一旦生病都会发起理赔,注定了相互宝的出险概率会越来越高,每个人分摊到的费用自然也是水涨船高。

(2)越来越多人过了等待期,得病开始理赔了

直接来看图,

在发病率一定的情况下,人数越多,出险的概率自然也就越高,

但同重疾险一样,相互宝也有着90天的等待期,

除非遭遇意外,互助成员只有在加入90天后患病,并且疾病符合规定才能申请互助,

所以相互宝前期的发病率是明显低于社会发病率的,

当越来越多的人过了等待期,得病开始理赔,真实的数据就会表露出来,

无论是理赔人数,还是分摊金额,就会越来越接近社会发病率,

所以与其说是现在分摊多了,不如说是前期分少了,并且随着加入人数的增多,未来分摊的金额只会越来越高,每次只分摊几分钱的美好时光已彻底成为了过去式。

(3)案件审核有延迟,大量互助申请还在排队申请中,

随便抽取8月份最新一期的部分案件,

大部分都是几个月前的积累案例,更早的甚至要追溯到一年前,

疾病公示均有所延迟,最短也要2个月的时间差,

这也就意味着,在你生病申请理赔后,相互宝团队也是需要大量时间来调研案情,审核你的疾病是否符合互助条件的,整个过程相当严谨,

一方面积累的案例和新增的患病人数不断增加,一方面随着相互宝团队效率的提升,案件处理速度的加快,

可以说后期公示的案例只会日渐增多,分摊的额度也会不断上涨。

眼瞅着分摊金额蹭蹭上涨,相互宝到底是不是个无底洞?分摊金额会有上限吗?

首先可以肯定的是,相互宝肯定不是个无底洞,它是有上限的,如今相互宝已经成为1亿多成员的庞然大物,1亿规模的样本,根据大数定律,我们是可以算的,

已知,相互宝0-39岁,保额为30万;40-59岁,保额为10万,加上8%的管理费,

0-39岁的人要分摊30+30×8%=32.4万

40-59岁的人要分摊10+10×8%=10.8万

根据国家统计局公布的第六次人口普查数据:

结合《中国人身保险业重大疾病经验发生率表(2006-2010)》

我们首先可以估算出按年龄划分的重疾发生率,

结合我国网民年龄结构分布,

我们将重疾发生率表按网民的年龄段进行加权平均,

因为相互宝参与的年龄为0-59岁,所以这里我只算到了59岁,

通过上面几组数据,我们就可以算出0-59岁的全体网民均加入互助计划时,每年要分摊的理论保费为396.6元,

而在实际操作中,相互宝是会通过健康告知来事先筛除掉一部分身体有问题的人,

所以实际分摊费用肯定是会比理论保费还要低一些的。

为让数据更为直观,这里我也顺便算出了微信一年期费率表,最终得出一年期重疾险每年的平均保费为432.32元,

通过上面的模型可以清晰得出,

相互宝往后的分摊金额肯定还会上涨,但最多也不会超过一年期重疾险,更不会是一个无底洞,

所以大家尽管放心,该吃吃该喝喝,月均两杯奶茶钱能换个安心也是值得的。

相互宝拒赔的案例怎么那么多?我加入了会不会也拒赔?

相互宝这一路走来实在是太难了,

救助的人多了,被网友骂贵;

拒赔的人多了,又被网友骂坑;

相互宝真的就像大家吐槽的那样这也不赔,那也不赔吗?

这里我直接挑了几个网上议论声最大的“无理”拒赔案件,到底该不该赔公道自在人心,

案例一:

2018年12月,云南的唐某因意外跌入3米深的洪涝沟中摔伤,由于伤势较重,一度陷入深度昏迷,经医生诊断为GCS评分(道格拉斯昏迷指数)5分,持续使用呼吸机超过了96个小时,

虽然符合条款中“深度昏迷”的理赔条件,但在实际调查中,相互宝团队发现唐某此前曾因皮肌炎长期服用过激素类药物,不符合健康告知要求,因此决定拒赔。

案例二:

2018年12月,一位来自湖北的父亲为1岁3个月的女儿加入了相互保,次年1月,女儿因意外摔伤导致脑部重创,当即做了开颅手术。但在理赔时,相互宝团队发现其女儿在满月时患有婴儿肝炎综合征,不符合健康告知,并且在加入互助计划时未如实告知,因此不能理赔。

案例三:

2020年1月,申某确诊为冠心病,但从两次住院冠脉造影的结果来看,他单独任意一次的血管堵塞程度,均没有达到条款中关于“严重冠心病”的要求,同样决定拒赔。

实事求是,相互宝哪一次拒赔不是严格按照规则在走,

脱胎于重疾险,相互宝的条款规定几乎就没怎么变,

只要你加入的时候是符合健康告知的,出了险只要是在保障范围内,符合条款定义,理赔起来还是相当容易的,

而这些所谓的拒赔案例,

要么是根本就不符合健康告知或未达到理赔条件,本身就不能赔,纯粹是找茬的;

要么就是存在一定歧义,相互宝实在拿不准的,

就算碰到这种时候,相互宝也不会草草结案,而是会发动陪审团制度,让几十万的陪审成员共同参与到评判中来,案件该不该赔,为什么不应该赔,为什么应该赔,大家都能得到充分的讨论和沟通,其中更不乏很多专业人士,来最终一起决定这个案件的结果。

可以说,相互宝的每一次拒赔都没有恶意,

看似冷冰冰,即便碰到有争议的疾病,也可以发起陪审团投票;即便投票没有通过,相互宝还设置了相互帮,大家可以自发为这些条件困难的人群捐款。

相互宝真的已经是一个非常优秀的救济机制了,每一步都在实心实意为用户考虑,这种诚意,真的是很多传统线下保险公司都没有的,现在肯定更没有故意耍滑头,刁难大家拒赔的意思了,

况且对于这种互助组织来说,多赔就能多赚管理费,他们应该巴不得多赔才是,但相互宝偏偏没有这么做,归根结底是为什么?

就是为了维护广大相互宝成员的利益不受损,如果随随便便就选择了赔付,规则一而再再而三地被破坏,就会有越来越多不符合健康告知的人群乘虚而入,最终势必是劣币驱逐良币。

相互宝频频偷偷修改规则,究竟对我们是利是弊?

相互宝改规则的事情已经不是一次两次了,改一次上一次热搜,争议不断,

之前就是因为修改了健康告知,不管是新加入的成员,还是2年前就加入的成员,通通都要符合新版的健康告知,相互宝一度被人抓住不放,黑出了翔。

每个人的健康状况随时都会发生变化的,尤其是这长达两年时间,如果相互宝把健康要求越改越严格,新增了很多当初加入时就没有的健康异常要求,那我还怎么申请互助?

帮助了别人这么多年,等到我自己生病了,岂不是很可能会因为不符合健康告知加入而被拒赔?这不是瞎胡闹吗!

可事实上真的如此吗?保贝带你还原真相,

直接来看图,这是相互宝历次优化的健康要求,为便于大家对比,我这里直接拼在了一张图上,

备注:图片从左到右依次为第一版、第二版、和现在正在使用的第三版健康告知。

大眼一扫,相互宝的健康要求是越改越多,从原先的1、2页直接增加至现在的3、4页,第一反应可不就是越改越严格?

但仔细对比后你就会发现,所谓的修改,其实不过是把健康要求更加严谨细化,根本没有收严尺度。

就像第一版描述的肿瘤,你这里到底指哪种肿瘤?良性肿瘤算不算?都是存在一定歧义的,所以相互宝就在第二版专门标出了肿瘤的范畴为恶性肿瘤、原位癌、上皮内瘤变、脑脊髓肿瘤,描述更为清晰,也避免日后更多理赔纠纷。

还有第三版又精进的一大段,其实不过是补充了更多例外事项,比如肝炎部分,摆明是放宽了健康要求,让更多人有机会加入进来。

所以说,相互宝这哪里是在收割用户,历次健康要求的修改不仅没有收紧,反而将一些原先一刀切不让保的疾病进行了适度放宽,总体看下来其实是对我们更为友好的,并不太会影响大家的权益。

包括前段时间相互宝将“未发生远处转移的乳头状或滤泡状甲状腺癌”和“分期为T2N0M0的前列腺癌”剔除互助范畴,大家不要觉得这是件坏事,

像这种康复和治愈都相对容易的“喜癌”,治疗下来确实都花不了多少钱,

保贝之前有个朋友就是,甲状腺癌,总共也就花了不到五万,社保一报就只用自费两万多,对咱们影响真不大,这还有啥可分摊的?

关键是它又十分高发,每次都让大家凭空去分摊更多费用,未免也太不公平了,

相互宝能赶在保险公司前剔除掉这两个东西,事实上也是为了能让真正得重疾的人拿到这个钱,避免了让大家分摊无用的费用,对市场的把握是相当深刻了。

细数相互宝的历次修改,改健康告知也好,改规则也好,绝不是大家理解的,它故意改规则就是为了找个理由不赔你,专门割你韭菜,还真不至于,

它确实是在努力做出一个好产品,无论是运营细节还是其他,保贝还真挑不出来啥大毛病,大家完全可以放心加入,只要符合规则,日后该赔的还是会赔。

如今的相互宝没人监管,会不会就像网传的xx筹一样是个惊天大骗局,骗到我们的钱就跑路?

相互宝再好,终究也不是保险,既不受银保监会的监管,也不受《保险法》的约束,更没有保险保障基金的托底,那它运营过程中会不会跑路?万一跑路或解散,我们的权益该怎么得到保障?裸奔吗?

背靠百度大佬的灯火互助,前段时间也是说散就散,直接来了个现身说法,

其实不光大家担心,银保监会早也注意到了这个问题,

前段时间直接点名相互宝、水滴互助等网络互助平台属于非持牌经营,

没拿到保险的牌照,干的确实又是保险的生意,我想监管又监管不到,你这算怎么回事?

但文章细看下来,相互宝这次被点名纯属躺枪,

除了涉众风险确实大,毕竟有上亿人加入,问题最大的前置收费平台跑路风险是和相互宝没有屁点关系,

所谓的前置收费模式平台,指的是那些没出险就先把钱收到手里,就像常规保险那样先“收费”的网络互助平台,如果资金链出现问题,确实存在跑路的可能,

但相互宝采取的都是先分摊后互助的救助模式,出一笔分摊一笔,主要的资金都不过手,根本不会形成资金池,上哪儿卷款跑路?根本连圈钱的机会都没有。

只是目前来说,相互宝确实是存在监管问题的,对此银保监会也已明确表态,正在出台研究相关政策,

要么是设置一个准入门槛,要么是发牌照,但是未来肯定会监管到这些互助平台的。

相互宝背靠支付宝这么大个平台,迄今加入人数已超1亿,

既然它实心实意想做出一款好产品,不可能说撂摊子就撂摊子,说跑就跑的,

对于银保监会的点名,相互宝也是立刻就做出了回应,明确表示期待在监管的指导下推动行业的健康发展,

官方文件在这摆着,相互宝又如此充满诚意,

大家短期内担心的监管问题必然会得到解决,完全没有必要太过担心。

相互宝能不能代替重疾险?

一人出险,众人分摊,

作为最原始最纯粹的保险形式,相互宝的出现,确实激发了大众的保障意识,让更多人真正认识到了自己所面临的真实风险,

于个人,尽管分摊金额不断上涨,但相对于商业重疾险,相互宝的价格依然很便宜,花费不多就可以让普通人获得基本保障,聚集起社会底层力量,建立社保外的第二堵“墙”;

于保险公司,相互宝的崛起必然能促进整个行业的更新迭代,

不得不说,相互宝是个很好的普惠尝试,它用极低的门槛开启保障,很有当年余额宝颠覆货币基金的风范。

但还是那句话,相互宝毕竟只是个网络互助计划,其本质决定了它的作用相对有限,注定无法取代重疾险。

第一,相互宝保障有限

目前的相互宝仅保障100种重疾和5种罕见疾病,并没有常见高发的轻症保障,之前保贝也说过,所谓的轻症其实就是重疾的极早期症状,如果得不到及时的发现和治疗,就很可能会发展成重疾,现在它的保障注定了只有等病情特别严重的时候才能赔,保障范围着实有限。

保障额度方面,只有40岁之前得重疾能拿到30万,40-59岁就只能拿到10万,还是有些杯水车薪。

而且过了60岁,你的保障就自动失效了,只能去申请加入相互宝老年版,

根据银保监会2013年发布的中国人身保险业重大疾病经验发生率表来计算,60-80岁得重疾的概率是60岁之前得重疾概率的2.2倍,但相互宝老年版最高也只保到了69岁,那你70岁之后怎么办?而且最高互助金额也只有10万,最高发的年龄反而保障越低甚至没有了,这是反人性的,这个时候再想去买重疾险买都买不到。

第二也是最关键的,相互宝只是互助,不是保险

保险之所以敢称为保险,是因为它的偿付能力可以硬刚200年一遇的大灾难(像汶川地震这种也只是30-50年一遇),但相互宝不是保险,没有准备金,当遇到极端风险时,它是随时有可能中断甚至消失的,长期稳定性无法得到保障。

万一40岁后产品终止了,而你又没有买长期重疾险,到时候再想补上都难。

再者,相互宝短期内无法得到监管,先不说它理赔时效无法保证,有的案例甚至需要审核四五个月才能拿到互助金,当碰到理赔纠纷时,如果是保险还能申请监管部门来裁决,但相互宝只能通过反复沟通或者申请陪审团来裁定,很难以现行的法律制度来进行界定。

综上

相互宝是个好东西,能加入一定要加入,

没病没灾,分摊的钱也不多,就当是献爱心了;

用得上的话,也算是多了一份保障,

但无论如何,相互宝终究不能代替重疾险,

做个中短期补充,我看合适,

若想要更长期、稳定的大病保障,还是依靠重疾险比较实在。

加载中...