新浪财经 期货

【专题报告——商品指数】商品指数系列(四) ——展期策略在海外实践与国内适用

东证衍生品研究院

关注

报告摘要

★海外展期策略指数:

展期策略在综合性商品指数基金中的应用十分普及,目前规模前3的综合商品指数基金都跟踪的是带展期策略的商品指数,纯被动型的综合指数并不占主流。最具有代表性的是DBLCI最佳收益指数(DBLCI-OY)和S&P GSCI动态展期指数(S&P GSCI Dynamic Roll)。

★展期策略一般思路:

一般分为择时或择合约。择时策略是在确定展入合约的前提下,展期收益达到较有利时进行展期移仓。择合约策略是在确定了展期时间点的前提下,选择可选合约中有最高隐含展期收益的合约作为展入合约。

★国内品种表现:

择时展期策略在41个品种中能提高31个品种的指数收益,其中3个品种的年化收益率提升超10%,价差波动较小的有色金属提升不太明显。

2个涉及择合约的策略,仅适合有色金属和原油,且每个品种仅有3个可选合约,极大的限制了策略效果。这种策略需要期货合约流动性结构上的好转。

★策略适用:

尽管本文以商品指数产品为例,实际上所有涉及期货投资的产品都可以采用。尤其是最佳合约策略和灵活展期策略,两者对流动性要求高,大资金受约束,反而目前更适合规模偏小的CTA产品。对流动性要求更低的择时展期策略,则拥有更好的普适性。

报告全文

1

海外商品指数基金中展期策略应用

期货投资收益来自于2部分:价格收益和展期收益。在商品指数投资中,价格收益大部分的情况下是由品种间权重分配方式决定的,展期收益则完全是由展期方式决定的。这篇报告以提升展期收益为目标,交流海外主流商品基金采用的展期策略、探讨当前国内商品期货市场下可行的展期策略,及其空间和执行效果。尽管本文是从商品指数基金出发,其中涉及的展期思路也可应用于包括CTA产品在内的所有期货投资中。

目前,国内已上市商品指数基金跟踪的基准指数以及其他的商品指数,类型上基本属于纯被动的一代商品指数,而在海外策略型商品指数基金已经十分普遍。

策略分为展期策略和加权策略。加权策略,顾名思义,涉及到多个品种的权重配置问题,只能应用于综合指数,而展期策略在单品种指数和综合指数中都可以运用。在海外的实际情况中,展期策略在单品种ETF中的应用表面上看非常少,因为单品种ETF的跟踪标的往往就是主力合约的每日收益率,如USO。实际上,这些产品或多或少都在实际操作中运用过增强策略。

展期策略在综合性商品指数基金中的应用十分普及,目前规模前3的综合商品指数基金都跟踪的是带展期策略的商品指数,纯被动型的综合指数并不占主流。带展期策略的商品指数中最具有代表性的是DBLCI最佳收益指数(DBLCI Optimum Yield Indices)和S&P GSCI动态展期指数(S&P GSCI Dynamic Roll),前者是景顺优化收益多元化商品策略指数基金(代码:PDBC)的标的指数,后者是安硕商品精选策略ETF(代码:COMT)的标的,景顺德银商品指数追踪基金(代码:DBC)跟踪的指数采用了DBLCI-OY相同的展期策略,与PDBC的区别仅在于成分与权重。

1.1、德银流通商品最佳收益指数(DBLCI-OY)

最佳收益指数系列是德银DBIQ指数家族的代表指数,这系列指数的特点是在品种展期时,没有展入此前既定的合约,而是展入能产生最大隐含展期收益率的合约。这个指数的目标是在反向市场中最大化潜在的展期收益,在正向市场中最小化展期亏损。策略要点如下:

展期时间:若某品种所持有的合约将于下一个月到期,在当月的第一个交易日,确定向后展入的合约。

可选合约:到期日不早于当前合约,且不晚于13个月后。

选择合约:可选合约中当前隐含展期收益最大的合约。

注:本文后续还会多次涉及到隐含展期收益率的计算,不同指数发布者采用的计算方式可能有所不同,甚至其意义可能都有区别,但都是用于衡量合约是不是更为“便宜”,在各自应用场景下的计算过程都是正确的。

德银的最佳收益指数的策略核心是打破传统指数中按合约对照表展期的模式,展至展期收益最好的合约。

1.2、标普高盛动态展期指数(S&P GSCI Dynamic Roll)

与DBLCI-OY的目的一样,都是为了提高展期收益,选择隐含展期收益率最好的合约展期,但两者在展期时间、可选合约等方面有很大不同。

编制动态展期表:事先根据流动性确定动态展期表,每行对应每个月份下活跃的合约,并按到期时间排序。(WTI原油为连续展期且远月合约流动性佳,因而表中合约多,反之,咖啡展期表中合约少。)

可选合约:第i月展期时的可选合约为动态展期表中第i行第1列之后的合约,分别标记为C(i,1),C(i,2),C(i,3)……C(i,0)为临近到期的合约,不属于可选合约。

展期时间:动态展期表中,可选合约发生变化的月份。每个品种决定是否展期时间不同,如WTI原油需要每月确定新的合约,而咖啡只在2、4、6、8、11月确认。

选择合约:根据隐含展期收益将可选合约排序为Best(1),Best(2), Best(3)……Best(k),不同品种k的取值需事先确定。一般来说,可选合约越多,k值越大。若展出合约为排名小于k,则展入合约同为展出合约(不展期),否则展入合约为Best(1)。

同为择合约的展期收益增强策略,德银和标普高盛两者相同点仅限于都需要确定可选合约范围并计算隐含展期收益率,在具体的处理方式上可以说完全不同。德银的方法是在当前合约临近展期时,选择相较当前合约展期收益率最高的合约。标普高盛的处理方法比更为复杂:

1) 事先需要根据历史流动性情况,对每个品种做差异化的规定,包括k值和动态展期表;

2) 动态展期表中仅考核合约流动性,不考核到期时间,流动性好的品种可选合约更多,反之更少;

3) 隐含展期收益率是基于前一合约计算,而不是基于同一合约。受前一合约价格影响较大,若前一合约价格严重偏高,由于基数效应,会使得该合约更容易选入;

4) 可选合约不排除当前合约到期之前的合约,因而存在向前展期的可能;

5) DBLCI-OY只有在当前合约临近展期时才会进入合约筛选过程,合约筛选后一定会展期;S&P GSCI Dynamic Roll按照动态展期表进入合约筛选过程,合约筛选后不一定会展期。

将上述增强指数与对应的被动指数进行对比。样本期间内,德银的DBLCI-OY超额收益指数年化收益率跑赢对应的DBLCI指数1.22%,年化波动率降低2.02%。标普高盛的S&P GSCI DR全收益指数年化收益率跑赢对应的S&P GSCI指数2.18%,年化波动率降低4.65%。由此可见展期策略或多或少可以起到收益增强的作用,标普高盛的展期策略看上去似乎更有效,其实这个增强差异不一定来自于策略,还有可能是来自于品种。标普高盛商品指数权重中有更大比例被分配至连续展期的品种,如原油。

抛开成份的因素,单看原油WTI品种,展期策略使得德银原油指数(DBLCI CL)年化收益提升3.77%,波动率下降了11.80%。在标普高盛的方案下,年化收益率提升了6.66%,波动率下降17.12%。这种差异就是上面提到过的,标普高盛的方案下流动性越好的品种,收益提升越高。

2

展期策略的收益提升空间

上述展期策略是应用于指数中,实际上展期策略的应有范围绝不仅限于此。展期策略旨在提升期货持仓收益,除了指数产品,CTA策略也可以参考。下文中试图展现展期收益在国内不同品种上的表现,探讨展期策略适合什么品种。

在计算不同展期策略实际收益之前,先抛开具体展期策略不谈,讨论不同的品种上进行展期优化,有多大的收益增强空间?

这个问题需要回归到展期收益的来源,他来自于展期时展入和展出两合约之间的价格升贴水。所以展期策略的思路分为择时和择合约,以及衍生的择时加择合约,上面介绍的展期增强策略属于择合约。

2.1、价差波动影响择时策略收益

择时策略在确定展期合约后,灵活选择展期时间,所能提升的展期收益就是两个合约间的升贴水变化。若展期后升水扩大或贴水收窄,展期策略导致收益增加,反之,若展期后升水收窄或贴水扩大,展期策略导致收益减少,因此择时展期可以理解为“抄底价差”的策略。

因而,对于近远月价差的波动越大的品种,越有可能从展期策略中获益。为方便不同品种间横向比较,价差用代替隐含展期收益代替:

最大展期策略收益的计算是以“事后”的视角,假设每次都能以最优的展期收益向下一个主力合约展期,并且与市场主力切换时的展期收益相比较。

可以看到,展期收益率(或是说价差)波动越大的品种,越有可能通过择时展期获利。展期收益率波动最大的苯乙烯,在最优的情况下能将期货的持有收益提升29.24%(在我们后续的策略中做到了27.27%)。

具体品种上,部分黑色系品种(动力煤、铁矿石、焦煤、焦炭)、能化品种(苯乙烯、LPG、燃油、原油)、农产品(苹果、鸡蛋)展期收益的波动率大,择时展期有望对收益提升更大。贵金属(黄金、白银)、有色金属(铜、镍、锡、锌、铝)的展期收益的波动率小,择时展期对收益提升有限。

品种的波动率很大程度上影响了展期策略的收益上限,具体的执行效果还要看策略本身。

2.2、流动性影响择合约策略

择合约策略可以选择升贴水最有利的合约移仓,由于展期路径多样,即便是以“事后”的角度也很难模拟出最优的展期方式。不过可以确定的是,由于展入合约不顾受限制,择合约策略的上限会高于择时展期,并且可选合约越多上限越高。

问题是可选合约的数量,海外品种活跃月份合约多,以GSCI指数成分品种为例,单一品种采用的到期月份最少有4个,多数品种有6个以上,能源和有色金属品种均为逐月展期。海外实践中,通常会将未来12个月内到期的合约都作为可选合约,因而保证了策略的灵活性和有利于收益提高。标普高盛与德银方案的对比的例子也能体现出可选合约数量对择合约策略效果有巨大的影响。

反观国内,仅有色金属和原油品种为连续展期,其他多为1、5、9展期,贵金属甚至是6、12展期,这就导致能采用择合约策略的品种和合约数据太少。目前能满足则合约策略的仅有有色金属品种,并且由于更远月合约缺乏成交量流动性,给展期带来困难,因此,可选合约建议不远于未来4个月到期的合约。

3

3种展期方案

3.1、最佳合约展期方案

最优合约展期策略类似于第一部分中介绍的德银指数DBCI-OY和标普高盛S&P GSCI Dynamic Roll,属于择合约展期。目前还没有应用于国内,部分原因是这个策略对品种的市场流动性结构和展期规律都有更为严格的要求,根据国内品种的流动性现状,最佳合约展期方案设定如下:

可选合约:持有合约到期月后3个月内到期的合约,如当前主力合约为07合约,可选择的合约为08、09、10合约。

所选合约:计算可展期合约的隐含展期收益率,选择隐含展期收益率最高的月份合约展期。

展期时点:当持有的合约进入到期月份前一个月的第一个交易时,确定展期合约,并在随后5个交易日向下一个合约等量移仓。如07合约在6月的第一和交易日确定展期下一个主力合约,并在后5个交易日移仓。

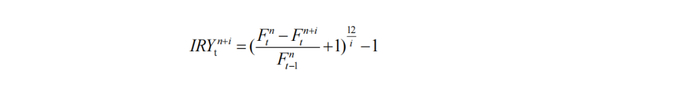
年化隐含展期收益率的计算方式:

策略的优势:可以灵活选择展期收益最好的合约,有效防范展期时的逼仓风险。减少指数产品的展期次数,便于操作。

策略的缺陷:该策略的缺陷在于对流动性有一定要求。在海外的应用中,一般会在未来12个到期月份合约中选择。考虑到国内期货市场展期规律多为1、5、9合约,可选择的合约非常少,因此仅有部分连续展期的品种适用于这种展期方案。即便对于连续的品种来说,由于更远月合约的流动性不佳,对于大规模资金移仓有极大地限制,因此也只能考虑连续展品种的未来4个月内到期的合约中选择。也因为可选择合约数量受限,导致展期收益提升可能并不明显。

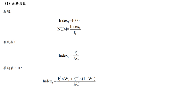
指数计算方案见报告附录。

3.2、择时展期方案

择时展期,合约上仅考虑下一主力合约,并在其隐含展期收益率较好的时刻展期,适用于已形成展期规律的所有品种。尽管目前没有指数会将择时策略编入指数中,但在实际实践中,海内外基金或多或少会根据市场行情、期限结构、流动性水平灵活选择展期时间点。

展期收益增强指数计算方式与主力合约指数基本一致,区别在于展期时间点调整。在所持有的合约到期前3个月开始监控当前合约和次主力合约之间的隐含展期收益率,当隐含展期收益率高于一定阈值,则在下一交易日完成展期,若一直没有信号触发,则根据市场持仓量展期,展期收益增强指数实际展期时间不晚于市场。阈值的计算根据前40日的平均隐含展期收益率为基准乘以系数计算,并且通过调整系数,实现随着到期日临近,分阶段降低阈值。隐含展期收益率计算如下,Fti为t日在i月到期的合约结算价。隐含展期收益率计算:

指数计算方案见报告附录。

3.3、灵活展期方案

择时展期策略侧重于择时,最佳合约展期方案则侧重于择合约,灵活展期方案将两者结合起来。在持有合约可展期的时间段中,若存在某远月的隐含展期收益率明显偏高,则会在下一交易日开始提前展期,否则还是在合约到期前一个月的第一个交易日选择展期收益最优的远月合约。

可选合约:持有合约到期月后3个月内到期的合约,如当前主力合约为07合约,可选择的合约为08、09、10合约。

所选合约:计算可展期合约的隐含展期收益率,选择隐含展期收益率最高的月份合约展期。

展期时点:在持有合约到期月份前第二个月为观察窗口,期间内若有可选展期合约的展期收益率高于75%过去40个交易日内可获得的最高展期收益率,则在下一个交易日开始5日中向该合约等权重展期。若在观察窗口内,没有展期,则在合约到期前一个月的第一个交易日选择展期收益最优的远月合约。

策略的优势:该策略相较最佳合约展期方案在展期时间点上更为灵活,因为收益有更多机会提升。

策略的缺陷:该策略与最佳合约展期方案面临同样的流动性问题,品种和可选合约范围都会受限。另外也出于对展入合约流动性担忧,展期时间点不能过晚,因此观察窗口期不宜开始过早。

指数计算方案见报告附录。

4

展期方案实际效果

4.1、行情适用

上述3个展期策略,加上《商品指数系列(二)——单一品种商品指数编制》中的展期方案,目前,我们共设计了7种展期策略。

1)主力合约5日展期:特点是跟随主力合约展期,适合大规模资金跟踪主力合约。

2)主力合约1日展期:特点是跟随主力合约展期,适合的略小规模资金跟踪主力合约,值得一提的是,海外市场中,许多单一品种的ETF基金跟踪基准是“XX商品的主力合约每日收益率”,实际上等同于这个指数。

以上展期方案的目标是紧跟主力合约,不带其他方面优化策略,因而是一代商品指数的范畴。下面介绍的展期方案下都是通过展期策略在品种期限结构上做了优化,均属于二代商品指数的范畴。

3)规模提升展期方案:为了帮助指数产品规避交易所的持仓限额,将持仓布局至多个合约。适合超大规模资金,或者是对主力合约限仓过于严格的品种。

4)多月合约指数:配合品种的展期流动性变化规律,渐进式增加远月合约的权重,该指数的重点是布局远月合约,适合由于短期内存在需求缺口、供给过剩近月偏弱的行情。

上面两个展期方案出于不同的目的,同时布局多个合约,具体方案见商品指数系列报告二。

5)择时策略:在确定下一个合约的前提下,展期收益达到较有利时进行展期移仓。由于确定了展期合约,因此几乎适用于所有品种。

6)最佳合约策略:在确定了展期时间点的前提下,选择当下有最优展期收益的远月合约展期。由于需要将多个远月合约纳入可选展期合约,一般连续展期品种满足此条件。

7)灵活展期策略:不限制展期时间点、也不限制展期合约,当市场上存在展期收益高的合约时展期。与最佳合约策略一样需要考虑多个合约,因此一般也只适合连续展期的品种。并且由于展期时间上的不确定性,除了要求连续展期外,还要求品种合约间的流动性结构不能过于集中在主力合约上,非主力也需要有一定程度的流动性。

策略对流动性的要求决定上述策略能否使用。持仓量是一个品种的可容纳资金规模的基础,成交量则影响了该品种展期难度,这对于合约来说亦是如此。涉及到多合约的展期策略,判断某品种适不适合需要具体到合约的流动性上评价。

具体地说,全市场品种的持仓量结构上,连续展期的品种持仓量较为分散:如铜、铝、原油、锌、镍,这些品种一般就可以允许涉及多个合约的策略,其他品种就不适合(燃料油近期为1、5、9展期)。这几个品种中,单从持仓量结构上看,在样本期间内,集中程度最大是原油,原油平均每天47.24%的市场持仓量集中于主力合约,集中程度最小的是沪铝,平均每天仅36.12%的持仓量在主力合约。持仓量上5个品种相差不大,但对展期来说,流动性的考验主要来自于成交量,而成交量结构差异就十分明显了。样本期间内,原油80.24%的成交量集中在主力合约上,最低的沪铜仅50.47%,这意味着原油尽管是逐月展期的品种,但远月合约流动性过小,不适合大资金提前移仓持有。因而,原油品种可以勉强做择时展期、择合约展期,但是难做灵活展期。

4.2、策略表现

根据持仓金额的条件,选出流动性好的41个品种。

择时展期策略流动性要求低,可应用于全部41个品种中,其中有31个品种的择时展期策略能跑赢主力合约,平均高于主力合约1.9%。相对收益最高的品种是苯乙烯能跑赢27.27%,沥青和硅铁也分别跑赢10.00%和15.58%。跑输主力合约的10个品种中,乙二醇相对亏损最大达4.70%,整体而言,利用择时展期策略跑输主力展期概率较小,同时亏损相对有限。因为,该策略下的展期时间点提前,相对亏损的品种一般是出现了展期后价差(近-远)走强的情形。

最佳合约策略仅适用于5个有色金属和原油,其中3个品种跑赢主力,其中原油相对收益最高达5.48%,最佳合约策略在另外的5个有色金属上未见明显优势,相对收益或亏损均在1%以内。

灵活展期策略只应用于有色金属,5个品种中有3个相对收益为正,沪锡取得了2.14%的相对收益,其他4个品种相对盈亏不到1%。

结果上看,最佳合约策略和灵活展期没有体现出明显优势。原因有:

1) 适用品种少:这个两个策略目前在国内只用于5、6个品种,这些品种在择时展期策略下同样也没有明显提升。这与前文测算展期策略的收益空间所预计的相符,这些都属于价差波动小的品种,因而导致收益提升不明显。

2) 可选合约少:海外市场中这两个策略可应用于更多的远月,12个,甚至多于12个远月合约,在国内仅能用3个合约,在很大程度上限制了这两个策略的收益空间。

5

结论

海外现状:展期策略在海外市场中已经得到非常广泛的认可,规模前3的综合型商品指数基金都采用了择合约类型的展期策略,合计规模达114.20亿美元,其中不乏62.81亿美元的PDBC,对资金的容纳量很高。

代表方案:德银的Optimum Yield系列商品指数和标普高盛S&P GSCI Dynamic Roll商品指数都是展期策略的代表。这两个展期策略都需要先确定可展期合约范围,并计算这些合约的隐含展期收益(Implied Roll Yield),选取其中最优的合约展期……但在具体的实施方案上,两者差异非常大。

策略表现上,德银和标普高盛商品指数都从展期策略中取得了更高的收益、等低的波动率。尤其是在WTI原油品种上,德银的展期策略使得其年化收益提升3.67%,年化波动率下降了11.61%。

策略限制:展期策略的思路分择时展期和择合约展期。

择时展期受流动性限制小,几乎所有品种都能采用,策略的收益上限取决于展入、展出合约的价差波动,波动越大越有机会以更好的价格展期。

德银和标普高盛使用的择合约策略,受流动性的影响非常大。如果品种不是连续展期或者远月合约流动性不好,导致可选合约少,进而直接限制策略的使用效果。原油能从展期策略中得到更高的收益增强,与品种的流动性有很大关系。

国内适用:目前在国内还没有产品应用。我们设计3种展期收益增强策略,应用于国内商品中。

1) 择时展期策略:由于流动性要求低,41个品种适用,在其中31个品种中起到收益提升的作用,沥青、苯乙烯、硅铁3个品种上的年化收益提升超10%。对于价差波动小的品种,策略收益提升空间越窄,因而在有色金属品种效果不明显。

2) 最佳合约策略:目前国内只有5个有色金属和原油品种适用,且可选合约限于近4个月内到期的合约,策略的空间小。测算结果显示,收益提升不大,这比较符合预期。若后续国内商品期货市场流动性结构能得到明显改善,这个策略可以发挥更好的效果。

3) 灵活展期合约:结合了择时择合约策略,同样受限于品种流动性,目前可发挥的空间不大。

应用范围:尽管本文以商品指数产品为例,实际上所有涉及期货投资的产品都可以采用。尤其是最佳合约策略和灵活展期策略,两者对流动性要求高,大资金受约束,反而是规模偏小的CTA策略产品更为合适。对流动性要求更低的择时展期策略,拥有更好的普适性。

5

附录:单品种指数计算方案

报告作者

欧阳静宜高级分析师(指数)

加载中...