新浪财经 期货

【专题报告——金融工程】股指期货展期价差与期限曲线的凸性的关系

东证衍生品研究院

关注

报告摘要

报告日期:2020年12月30日

★理解股指期货的展期操作与展期价差的关系

基差率本质上反映的是持有该股指期货合约到期时的累计损失,这种损失完全由负基差收敛导致。但是实际上我们常常会选择提前展期而不是持有至到期。对冲成本包括期现绝对价格变动之差,还有期货端累计展期成本。对于空头套保而言,展期操作需要先平掉近月空仓,再开远月空仓,相当于做了一次多近月空远月的正向跨期套利,因此在贴水结构下,选择贴水价差相对较小的新合约,而在升水结构下,选择升水价差相对较大的新合约。

★期限曲线的“凸性”是影响股指期货展期的关键因素

期货市场因为存在Samuelson效应,远月合约之间的价差波动随到期日临近而没有明显增大趋势,因此时间效应带来的收敛特性就相对弱一些。期限价格曲线的凸性解释了为何大多数长期对冲需求都倾向选择相对远期的季月合约进行套期保值。

★从定价实证的角度看展期价差的可预测性

虽然大多数时候实际的展期价差还是在理论的上下边界范围之内运行,但是除分红预期之外的其他因素明显影响较大之外,若想对展期价差进行日度级别的预测其实并没有很好的效果。

★从情绪因素回归的角度看展期价差的可预测性

年化展期价差比率剔除了到期时间长度的影响,但发现受指数预期分红率的影响还是很显著,除此之外一些反映市场情绪的指标对升贴水比率也有一定解释。每天更新历史60天各因子对超前1天预测升贴水比率的p值,取其低于10%的因子对下一天进行预测。样本外滚动预测中分红预期有效预测占比超70%且贡献度最高。次月较当月价差预测R2为69%,而下季较当季预测R2为67%。对IH平均预测R2为73%,而IC下季较当季68%,但次月较当月48%。

报告全文

目前除了套利以及投机策略之外,股指期货被公募、保险等金融机构应用最多也是最主要的方式是套期保值。一是多头套保,主要利用股指期货对指数的替代作用及杠杆进行流动性管理,或凭基差贴水而获得部分的指数增强收益,二是空头套保,主要是通过做空股指对冲掉现货组合的市场风险,应用最广泛的就是量化对冲及IPO打新等绝对收益产品,当前股票市场波动较大,也有不少主动管理的股票型基金为了避免产品大幅波动也开始尝试使用股指进行对冲。

在对冲套保操作中,有两个方面是决定或影响套保效果比较重要的点:(1)对冲系数,调整对冲系数本质上影响的是组合承受系统性风险的敞口大小,对于完全套保来说,对冲系数大小的选择、是动态或静态的调整方式会直接影响对冲产品净值的稳定性;(2)展期成本,因为股指期货长时间是贴水的,空头合约在到期交割前的展期会变相提高做空的持仓成本,所以如何采用合理的展期策略是决定套保成本的关键。

1

如何理解股指期货的展期操作与展期价差的关系

不管是多头套保还是空头套保,除非是非常短期的套保对冲需求,否则当投资期限超过所持合约到期期限时就需要进行展期操作。以空头对冲为例,由于股指期货合约总会因分红、情绪等多种因素而产生贴水的情况,使得空头套保在展期时产生损失。为了更好地理解分析股指展期,我们作了关于股指对冲逻辑的示意图(如下图所示)。为便于理解,假设套保系数固定为1且假设现货与期货对冲数量一致,即忽略因存在期现基差而产生对冲市值的微小差异,这样便于我们通过基差的变动来理解对冲成本。假设𝑇𝑖是每个股指期货合约的展期时点,𝑇0是建仓时点,𝑡为当前时刻,从建仓至今已持有过的合约总共为𝑘个,𝐵𝑖𝑇𝑖是持有第𝑖个合约在展期日𝑇𝑖期时的基差(期货减现货)。

(1)除非持有合约到期,否则判断对冲成本高低与基差率无关

很多投资者会关心基差或年化基差率,但它仅仅是比较直观地反映股指期货期限结构的指标,而不是判断对冲成本的关键指标。因为基差或基差率是和现货比较的,因为股指合约最终会收敛至与现货价一致,也就是说基差率本质上反映的是持有该股指期货合约到期时的累计损失,这种损失完全由负基差收敛导致。但是实际上我们常常会选择提前展期而不是持有至到期。

(2)对冲成本包括期现绝对价格变动之差,还有期货端累计展期收益(成本)

持有股指期货合约而产生的成本,其实是随着负基差收敛的过程而逐步体现出来的,但是展期之所以会产生成本,是因为展期相当于把合约价格又“拉到”一个新的位置后继续因基差收敛而逐步体现损失,反之若基差走阔则意味着获得收益。总的来说,对冲损失(收益)就是现货投资收益率与期货投资收益率(含对冲系数的影响)之差。如图表2所示,以空头套保为例,假设对冲期间经过多次展期,那么总体的对冲损失就等于每个合约在持有期间内的平仓损失累计起来,假设对冲系数不变时则等价于整个对冲期内的现货投资收益率与期货绝对价格变动率、期货累计展期收益率的差。

(3)通过展期降低成本的主要思路是尽量选择展期价差较低的远月合约

根据前面示意图所示,对冲期间内的展期成本近似于期末较期初的基差变动和累计基差展期变动,那么如果对冲周期较长,后者在对冲成本中的影响占比就明显高于前者。从历史每一年度的平均表现来看,展期价差会随着分红季的影响和整体期限结构表现出类似的走势,即先走阔、再收敛,那么就不能以某一期的价差大小来衡量总的对冲成本。当对冲周期较长时,可以通过尽可能地选择与所持旧合约的展期价差较小的新合约进行展期,来实现降低成本的总体目标。对于空头套保而言,展期操作需要先平掉近月空仓,再开远月空仓,相当于做了一次多近月空远月的正向跨期套利,因此在贴水结构下,选择贴水价差相对较小的新合约,而在升水结构下,选择升水价差相对较大的新合约。

2

对股指期货合约展期价差的统计分析

前文中我们已经表述了能否降低空头对冲成本的关键就在于如何控制好每次期货合约展期时的相对价差,即尽可能地在较低的正向套利(多近月空远月)价差位置上进行展期。IF在2010年至2014年间大多数数据是升水的,而经历了2015-2016年的大涨大跌后,股指期货开启了常态贴水的“日子”。好在2017年开始中金所已经多次松绑股指期货的交易规则限制,随着流动性的逐渐恢复,股指期货基差也得到了改善。我们这里站在连续合约的角度,展示了2017年至今各年度股指期货展期价差(当月与次月、当季与下季)的走势,如下图所示。IF、IH和IC三者的展期价差均表现出一定程度的季节性规律,而且IF、IH较IC更明显,这种规律理论上和标的指数的分红预期有关。

考虑到投资习惯以及上市合约流动性的问题,一般从近月往远月展期的方式仅有4种情况:(1)当月合约展至次月合约,(2)当月合约展至当季合约,(3)当月合约展至下季合约,(4)当季合约展至下季合约,因此分别对应的是次月较当月、当季较当月、下季较当月和下季较当季的价差。不过,一般关注比较多的是当月与次月、当季与下季,分别对应的是用当月合约展期和用当季合约展期。

从各年度的日均年化升贴水率来看,2015-2016年因为市场波动较大且股指期货遭遇严格限仓政策,因此贴水结构异常,而2017-2019年年化的跨期升贴水率也是逐年降低,但是今年因为疫情以及宽松刺激政策影响,股市本身波动就比较明显,而股指期货展期价差的波动也比2017-2019年更高了。另外,从下面图表中还可以看出,不管是哪个品种,在绝大多数年份都是下季较当季的年化升贴水率(绝对值)更低,这也解释了为何绝大多数机构在采用股指期货构建策略时,多头偏好持仓当月合约、空头偏好持仓当季合约。

如上图所示,我们分别对升水期(2010-2014年)和贴水期(2017-2020年)的IF的年化跨期升贴水率按月取平均,一方面跨期升贴水率呈现明显的季节性规律,这和期限结构的变化是一致的,受每年4-8月份的分红预期影响,另一方面不管是升水期还是现在的贴水期,下季较当季之间的展期价差是表现最稳定的,因此长期来看采用季月合约进行套保并不断展期是有统计依据的。接下来,我们将会讨论为何远月合约之间的价差会更稳定,以及套保投资者大多采用季月合约套保的最本质的原因。

3

期限曲线的“凸性”是影响股指期货展期的关键因素

一般来说债券投资者会用价格-收益率曲线描述债券价格与到期收益率之间的反向关系,该曲线的一阶导数描述了债券价格随到期收益率变化而变化的关系,这反映了债券的久期特性,而二阶导数则测量了债券久期对利率大小变化的敏感度,这也被称为凸性。类似地,如果我们将股指期货不同到期日所对应的合约价格与各自距到期时间的关系画在图上的话,实际上也能刻画出关于股指期货价格受距到期时间的影响关系。同样地,通过计算曲线的一阶与二阶导数,实际上也可以得到股指期货期限价格曲线的“久期”(斜率)与“凸性”,只不过由于股指期货价格理论上可以较现货价格贴水或升水,所以斜率与凸性均可以为正值也可以为负值。如下图所示,分别展示了股指期货在2019.12.30和2020.9.15这两天的价格曲线,每条曲线从左至右依次表示现货指数、当月合约、次月合约、当季合约和下季合约这5个价格点相对于同期现货指数的比值。

股指期货期限结构的斜率:由于横轴是到期日,所以这里的斜率表示股指期货价格受到期日变动的敏感度,即所谓的价格随到期日临近而收敛的速度大小。若斜率大于0说明期指处于升水,若小于0则说明期指处于贴水,期限结构斜率的绝对值大小则反映了基差收敛的相对快慢程度,也反映了投资者对未来指数预期悲观或乐观的程度。同样地,当我们用纵轴代表基差而横轴代表距到期日交易日数的散点图就可以刻画出某只合约的收敛过程,通过散点用方程y=kx拟合出来的系数k就意味着该合约的收敛速率。

股指期货期限结构的凸性:然而股指期货合约基差收敛的速度却并不是一成不变的,而往往会随着距到期时间的推进而产生变化。对于凸性的结构而言,在距到期日较远的时候,基差收敛的速度相对较慢,而在距到期日较近的时候,基差收敛的速度则相对更快。

股指期货的价格曲线结构为何会存在凸性呢?

从理论定价公式来看,股指期货价格是关于到期时间的幂指数函数𝐹=𝑆𝑒𝛽𝑇,而关于期货价格𝐹与到期时间𝑇的一阶导数为𝜕𝐹/(𝐹𝜕𝑇)=𝛽,系数𝛽就可以理解为基差收敛速度,而二阶导数为(𝜕2𝐹)/(𝐹2𝜕𝑇2)=𝛽2,若𝛽不等于那么该二阶导数就一定为正值,也就意味着该曲线是具有凸性的,因此理论上股指期货价格的曲线结构就存在这样的特性。

而从实际投资的角度来看,因为股指期货的交易价格本质上反映的是对未来指数的不确定性预期,一般情况下时间效应会降低这种不确定性预期,也就使得基差会逐步收敛至零值。然而期货市场存在Samuelson效应,如上图所示,一方面近期合约之间的价差波动高于远期合约之间的价差波动,另一方面随着到期日的临近,这种价差的波动会有变得越来越大的趋势,但是远月合约之间的价差波动的增大趋势却是最弱的。这是因为影响远期合约的信息量比近期合约更少,所以投资者对远月合约的不确定性预期相对稳定,所以时间效应带来的收敛特性就相对弱一些,而越是临近到期交割日,这种收敛特征就表现得相对更明显一些。

总体上,价格曲线的凸性使得远月合约的收敛速度相对低于近月合约,而期现收敛会直接地影响对冲成本,所以从这一点来看,凸性也解释了为何大多数长期对冲需求都倾向选择相对远期的季月合约进行套期保值。不过,股指期货价格曲线凸性也与远期价格包含对流动性的补偿有关,当时间窗口拉长会因为不确定性而减弱合约的流动性,因此远月合约上的流动性一般不如近月合约。

既然展期价差对成本的影响是直接的,那么接下来我们将讨论一下,如果从定价的角度出发,能否对合约之间的价差做出预测。

4

从定价实证的角度看展期价差的可预测性

根据Cornell和French(1983)的持有成本模型(Cost of Carry),对于股指资产而言,持仓现货的成本主要有借款利息,而持仓股指现货时因成分股分红会产生持仓收益。基于以下几个假设条件:(1)资本市场是完全市场,不考虑税收和交易费用;(2)对卖空没有限制,资产是可以无限细分的;(c)无风险借贷率相等且为固定的常数;(d)投资者可以随意买卖任意的股票或者股票组合。在无风险套利情况下,t时刻的股指期货可表示为

因此如果按照上述完全市场条件下的股指定价模型来看,同一标的物的不同到期日合约之间的价差应该和无风险利率、现货价格、距到期日长度之差、预期股息点数之差有关。把现货价格放到等式左边即表示展期价差相对现货比率,这个是分析展期价差策略收益或分析合约展期成本的主要观察指标,因为合约到期日是固定不变的,因此最主要的影响因素就是预期分红率之差。

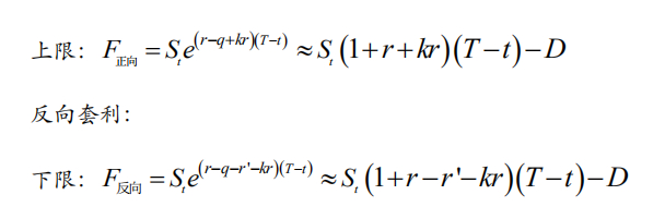
但是,我们考虑股指期货的价格还应包含成本因素,因此合理的股指期货价格运行价格不是一个点而是一些点的集合(或区间)。基于持有成本模型把借贷利率、交易成本等因素考虑到股指期货定价当中,推导出股指期货上界与下界,在界限区间内是股指期货合理的无风险套利区间。在计算无套利区间的时候,需要通过正向与反向套利两种方式来得到,正向套利决定了无套利区间的上限,而反向套利则决定了无套利区间的下限。

一般情况下在市场行情较差或较震荡的时候股指期货的定价可能偏向于由反向套利来决定,所以实际价格更接近下边界,而行情较好的时候,正向套利可能会更有机会,所以实际价格是比较接近上边界的。我们假设一段时间内期货价格的定价逻辑是不变的,因此展期价差也可以通过上面两个式子分别得到,于是,

在以反向套利为主要定价方式的时候(多数为市场震荡或偏差时),展期价差为

而在以正向套利为主要定价方式的时候(多数为行情较好时),展期价差为

不过总体来看,这两种情况区别并不大,影响展期价差的关键因素依然是分红在两个不同截止日前的预期差异。

股指期货的定价不包含分红,而展期价差的定价中也需要考虑到预期分红的差别,根据前面的定义,这是决定展期价差中枢的最关键因素。截止今年8月底指数成分股年报分红就已基本结束,受疫情对公司业绩的影响,合计起来三大指数2020年整体分红点数略低于去年。从分红的时间上来看,上市公司具体实施分红的日期(除息除权日)大都在每年的5-7月份,主要原因在于大部分上市公司在年报中披露当年度内是否会实施分红。

由于股指期货的定价是基于对未来的预期,已实现的信息就包含在历史价格中了,所以真正对股指期货价格产生影响的实际上只有预期分红的那一部分。而历史上真实的“预期”数据无法还原,所以这里用真实的分红点数作为各期各合约上面的预期分红点数的替代。具体的调整如下,在年报季和半年报季,由于净利润数据在公告之后就大概率能推测出分红率,因此在这段期间内用未来两个月的真实分红点数折算成当前的预期分红率,而在其他时期则因为几乎没有分红,因此调整为未来半个月至一个月的真实分红点数。由于不同季月合约所包含的预期分红点数存在显著差异,而且分红主要集中在5-7月份,所以在上半年的时候多数季月合约之间预期价差会比较大,这也解释了为何展期价差也同样存在上半年会逐渐走阔而在7月份之后展期价差会收窄了。

我们根据前面基于定价模型给出了展期价差的理论方程,然后这里尝试从实证的角度分析是否已知的因素就可以很好地解释展期价差。我们接下来主要分析两组连续合约的展期价差:当月与次月、当季与下季。在实证测算的时候,我们假设无风险利率为3%,而保证金率为10%,融券利率为10%,而需要指出的是,和上一部分一样,关于预期分红的测算是基于已知未来的真实数据进而计算的,这与实际各个时点上的预期值存在差异。

从无风险套利区间的定价模型可以相应地获得展期价差的上边界与下边界,但由于影响理论价差的关键因素,预期分红,是变化并不大的,所以展期价差的区间的变化也相对较为稳定。根据下图展示的结果,虽然大多数时候实际的展期价差还是在理论的上下边界范围之内运行,但是除分红预期之外的其他因素明显影响较大,因此从定价的角度来看若想对展期价差进行日度级别的预测其实并没有很好的效果。

5

从情绪因素回归的角度看展期价差的可预测性

鉴于从定价实证的角度得到的展期价差的无风险边界并不能对实际价差走势做出较好的预测,我们在这一部分尝试从影响因素的角度构建回归模型对价差进行预测性分析。

首先需要确定回归模型的因变量,(1)根据前文当中的分析结果,展期价差有次月较当月、下季较当季、当季较当月、下季较当季等几种形式不同形式可以描述;(2)这些展期价差年化升贴水比率的平均值反映升贴水的整体变化情况;(3)由期货合约价格时序数据的PCA主成分可以得到第二主成分,它一般被称为斜率因子,反映价格的一阶变化规律,(4)按照理论定价公式期货价格是距到期时间的e指数函数,对截面上的期限曲线进行e指数拟合,拟合系数和期货向现货价格收敛的速度。(1)中的几种价差形式和特定的展期方式有关,不过大多数投资者关注的仅有次月较当月(每月展期)、下季较当季(每季展期)这两种情况,而(2)-(4)这三种形式的指标是经过处理之后的反映股指期货升贴水率或者期限结构的指标,它们之间的平均相关性高达0.88。

其次需要整理可能对升贴水率或期限结构造成影响的因素。基于理论模型所得到的展期价差以预期分红的差异为关键因素,但根据前文定价实证分析的结果,实际价差与理论价差还有较明显的差距,这一点与通过模型实证得到的股指期货基差的结果是类似的,即还有一部分是没有被模型所定价的,这就是情绪因素。因此我们整理了一些反映市场悲观/乐观情绪的日度指标,比如反映交易投机度的成交持仓比、反映市场波动信息的日内波动率还是反映短期动量的隔夜信息、反映聪明资金的流入流出情况的北向资金成交净买入比等。

以IF为例,单个情绪指标对升贴水比率的解释度存在差异,其中指数预期分红率显然是对升贴水比率影响最大的,尤其是在2017年股指交易政策逐步恢复常态化以来。对于次月较当月升贴水来说,从每年度内的演变规律来看,它呈现“两头高、中间低”的规律,明显是因收到指数分红预期的影响,而预期分红率与次月较当月升贴水率滞后一期的回归R2为最高的(38.4%),而其他情绪因素反而影响很小。但是对于下季较当季升贴水来说,并不存在“两头高、中间低”的特点,即它的变动在全年范围看是相对平稳的,从单因子的解释度来看,预期分红率几无贡献,而一些和市场投机情绪相关的指标则有一定解释力。

接下来我们尝试用这些指标对次月较当月价差、下季较当季价差做预测,具体方法则沿用了我们在商品期货的基本面量化择时系列报告中构建的两种方法,需要注意的是为了避免陷入过拟合陷阱,回测参数都未经过优化。第一种方法,每天先用回看期60天的历史指标数据和滞后1期的升贴水数据,对每一个指标进行OLS检验其p值是否显著,然后选择显著的指标构建线性回归模型并代入最新一期的因子数据后计算得到对第二天升贴水价差的预测值。第二种方法,采用3PRF(Three-pass Regression Filter)模型对所有输入的情绪性指标进行降维至一个,该方法是基于PLS的原理构建的,目标是寻找输入变量的线性组合使得其与预测目标自身的协方差最大,然后用OLS回归得到模型并代入最新一期的情绪指标以获得对第二天价差的预测值。

我们用1-预测值与实际值之间的残差平方和/实际值与样本均值的残差平方和来计算样本外的预测R2。从OLS预测的结果上来看,对IF次月较当月价差和下季较当季价差的样本外预测R2分别高达68.9%、67.0%。具体地,从2017年至今对IF次月较当月价差滚动样本外预测中,有效预测时间占比超过60%而且平均解释度R2超过10%的有效因子有沪深300预期分红率、基金股票投资比例、多头持仓集中度以及期现成交比。而对IF下季较当季价差的滚动样本外预测中,有效预测时间占比超过60%而且平均解释度R2超过10%的有效因子,除了沪深300预期分红率、基金股票投资比例、多头持仓集中度、期现成交比之外,还包括前5名净头寸持仓占比。

我们也同样对IH和IC也按照相同的方法进行了预测,IH使用OLS预测次月较当月、下季较当季价差的R2分别为73.9%、71.5%,而用3PRF预测则分别为38.7%、62.8%,IC使用OLS预测次月较当月、下季较当季价差的R2分别为47.1%、68.3%,而用3PRF预测则分别为36.4%、60.0%。结合IF的预测结果我们得到展期价差预测的几个结论:(1)从样本外预测的R2来看,OLS预测的方法总体优于3PRF预测,这可能与3PRF在使用中并未剔除无效因子所导致的;(2)对于IF、IH来说,因为二者升贴水率的季节性规律相对IC更明显,因此二者的预测效果主要来自于各自预期分红率,而IC预测中其他因素的贡献更大一些;(3)3PRF对下季较当季价差的预测要优于对次月较当月价差的预测;(4)不管是哪种方式预测实际上均存在一定的滞后性,这种局限性意味着实际上并不能非常高效地预测价差的变动。

6

预测价差对展期策略的改善效果

不管是从定价实证的角度还是从情绪因素回归的角度,我们分别得到了对展期价差比率的预测,但由于我们的目标是通过预测来控制展期成本,所以为了检验预测结果对于展期策略是否存在改善效果,我们尝试构建几个简单的展期策略,然后对比各自在不同条件下的对冲成本有何变化。

展期方式

当月合约、当季合约,前者展期月份为每个月,后者为1、4、7、10月

展期日

展期月的交割周及前一周

展期策略

策略1:在每个对冲合约周期内,固定在距到期日前第N天时进行展期

策略2:在距到期日还剩余不足15个交易日时,若实际价差(次月较当月或下季较当季)超过前文中估算出来的价差下边界时,在第二天进行展期,否则最晚在距到期日前第N天展期

策略3:在距到期日还剩余不足15个交易日时,若实际价差(次月较当月或下季较当季)超过前文中估算出来的价差上、下边界的中线时,在第二天进行展期,否则最晚在距到期日前第N天展期

策略4:在距到期日还剩余不足15个交易日时,若实际价差(次月较当月或下季较当季)超过前文中估算出来的价差上边界时,在第二天进行展期,否则最晚在距到期日前第N天展期

策略5:在距到期日还剩余不足15个交易日时,若实际价差(次月较当月或下季较当季)超过历史价差的10日移动平均值时,在第二天进行展期,否则最晚在距到期日前第N天展期

策略6:在距到期日还剩余不足15个交易日时,若实际价差(次月较当月或下季较当季)超过OLS预测的价差时,在第二天进行展期,否则最晚在距到期日前第N天展期

策略7:在距到期日还剩余不足15个交易日时,若实际价差(次月较当月或下季较当季)超过3PRF预测的价差时,在第二天进行展期,否则最晚在距到期日前第N天展期

以IF在2017年1月至2020年12月的对冲回测为例,通过对不同展期方式、展期日和展期策略的年化对冲成本对比发现,(1)当月合约的展期方式比当季合约的对冲成本更高,在考察期内后者能降低年化0.2%-1.4%的成本,平均来看在0.6%左右;(2)除了部分策略,多数情况下若提前进行展期会降低对冲成本,而且对于当月合约的展期方式该结论会更明显,平均来看,交割周当周的年化展期成本会较更早一周高0.1%-0.3%,而展期日的影响一定程度上可以由Samuelson效应来解释;(3)通过实际价差与实证上下边界或均线的位置关系所得来的展期策略信号能够一定程度上改善对冲成本,但对于当月合约的方式来说更明显,而且改善程度有限,大约节省了年化0.1%-0.7%,平均来看约0.3%;(4)因为OLS或3PRF对于预测价差存在一定滞后性,虽然样本外预测R2很高,但对于展期策略来说却并未有显著的改善效果。所以总体来看,对于IF而言,采用适当的展期方法可以差不多降低年化1%左右的对冲成本。

7

总结

使用股指期货连续合约进行套期保值的成本一般和两个方面有关,一是套保期末基差较初始基差的变化,二是期间套保合约的累计展期价差。当对冲周期较长时,可以通过尽可能地选择与所持旧合约的展期价差较小的新合约进行展期,来实现降低成本的总体目标。对于空头套保而言,展期操作需要先平掉近月空仓,再开远月空仓,相当于做了一次多近月空远月的正向跨期套利,因此在贴水结构下,选择贴水价差相对较小的新合约,而在升水结构下,选择升水价差相对较大的新合约。

从2017年股指期货交易规则逐步常态化之后,展期价差表现出一定程度的季节性规律,而且IF、IH较IC更明显,这种规律理论上和标的指数的分红预期有关。展期价差的空间逐步收窄,年化的展期价差比率也逐年降低,但是今年因为疫情以及宽松刺激政策影响,股市本身波动就比较明显,而股指期货展期价差的波动也比以前更高。

下季较当季的平均年化升贴水比率的绝对值显著低于其他形式的展期价差,而当次月较当月的平均年化升贴水比率绝对值则基本为最高的。这是因为价格曲线的凸性使得远月合约的收敛速度相对低于近月合约,而期现收敛会直接地影响对冲成本,从这一点来看,凸性也解释了为何大多数长期对冲需求都倾向选择相对远期的季月合约进行套期保值。股指期货价格曲线凸性也与远期价格包含对流动性的补偿有关,当时间窗口拉长会因不确定性而减弱合约的流动性,因此远月合约上的流动性一般不如近月合约。

我们从定价实证的角度得到展期价差的区间,由于影响理论价差的关键因素预期分红变化并不大的,所以展期价差的区间的变化也相对较为稳定,虽然大多数时候实际的展期价差在理论的上下边界范围之内运行,但是从定价的角度来看若想对展期价差进行日度级别的预测其实并没有很好的效果。除此之外我们也从影响因素的时序回归的角度得到对展期价差的预测,从OLS预测的结果上来看,对IF次月较当月价差和下季较当季价差的样本外预测R2分别高达68.9%、67.0%。

最后我们以IF为例做了对不同展期方式、展期日和展期策略的对冲成本对比分析,当季合约的对冲方式能降低平均年化0.6%的对冲成本左右,提前进行展期也会降低平均约年化0.2%的对冲成本,如果再辅以关于展期价差的预测策略,则能在节省平均年化0.3%的对冲成本。

报告作者

李晓辉    资深分析师(金融工程)

从业资格号:F3022611

加载中...