新浪财经 期货

期权时间价值异动分析

新浪财经综合

关注

原标题:期权时间价值异动分析

来源:期货日报

关注交易背后的原因   不要拘泥于理想假设下的期权模型

A   什么是时间价值

期权的价格由期权的内在价值以及期权的时间价值构成。其中,期权的内在价值定义为期权的买方如果立即行权所能获得的收益。若令C、P分别表示看涨期权和看跌期权合约的价格,S表示标的资产价格,K为期权的执行价。那么对于看涨期权有:

看涨期权内在价值=max(S-K,0)

看涨期权时间价值=C-max(S-K,0)

对于看跌期权则有:

看跌期权内在价值=max(K-S,0)

看跌期权时间价值=P-max(K-S,0)

因此,对于期权而言,实值期权价格由内在价值和时间价值组成。而对于虚值期权,其内在价值为零,期权价格全部都由时间价值构成。

对于初学者而言,一般会认为期权时间价值只与时间有关,实际上期权时间价值受多种因素影响,其中最主要有以下三个因素:期权剩余时间、期权隐含波动率和标的资产价格变动。并有以下性质:

1.期权剩余到期时间越长,则时间价值越大;期权剩余到期时间越短,则时间价值越小。

2.如果隐含波动率上升,则时间价值增加;如果隐含波动率下降,则时间价值减少。

3.标的价格距离行权价越近,期权时间价值越大;标的价格距离行权价越远,期权时间价值越小。即平值期权附近时间价值最大,而深度虚值和深度实值期权时间价值则较小。

4.期权时间价值流逝速度还会随着期权合约到期日的临近而加快。即离合约到期日越近,期权时间价值衰减速度会越快。

B    时间价值衰减情况

一般来说,买方在未来是否盈利不确定性越大时,期权时间价值也就越大。因此,当期权到期时间越长时,期权内在价值增值的可能性也越大,所以其时间价值也越大。另外,隐含波动率的上升也会使得期权在到期时盈利的不确定性增加,期权价格会越贵,在期权内在价值不变的情况下,期权时间价值也就越大。当标的价格距离行权价越近,此时Delta接近0.5,表示期权未来盈利的概率只有五成,不确定最高,因此平值附近期权时间价值最大。而深度虚值和深度实值期权Delta则接近于0或1,未来是否盈利相对确定。所以它们的时间价值就较小。

通过上述分析对于性质1、2能较好地理解。下面我们用时间价值对标的资产价格和时间分别进行求导,更进一步解释为什么平值期权的时间价值最大,以及期权时间价值会加速衰减。为简单起见,下面推导均以看涨期权为例。

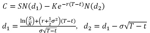
假设C为看涨期权价格,S 为标的价格,K 为执行价格,r 为无风险利率,σ为 波动率,t 为当前时刻,T 为期权到期时间。那么由Black-Scholes公式可得:

其中S>0 ,服从对数正态分布;波动率σ>0 。

那么期权时间价值可表示:

TVTimeValue=C-max(S-K,0)

首先我们对标的资产价格S进行求导:

当S≤K 时,max(S-K,0)=0

当S>K时,max(S-K,0)=S-K

此外,由于Δ∈[0,1)

所以,当S=K 的时候期权时间价值TV达到最大。

另外,从上面推导还可以得到,当期权是实值期权时,期权时间价值随着标的资产价格的增加而减少。当期权是虚值期权时,期权时间价值随着标的资产价格增加而增加。

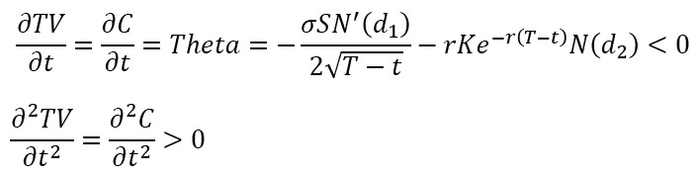
下面我们再对t进行求导:

即期权时间价值是t的减函数。

另外,还可求得:

即期权时间价值是凸函数。

因此,期权时间价值流逝速度还会随着期权合约到期日的临近而加快。

C    时间价值异常现象

从上面的讨论中,我们知道期权的时间价值应该为正。对于买方而言,时间价值反映了期权内在价值在未来增值的可能性。如果买方认为可能性越大,那么他愿意付出的权利金也将越高。即期权合约价格通常要高于期权的内在价值。对于相同类型、同一执行价的期权合约,剩余到期时间越长,期权的时间价值也就越大,期权的价格也将越高。即远月期权合约的价格大于近月合约。

但是投资者经常会在期权的T型报价表上发现一个奇怪的现象,不少认购实值期权时间价值会出现负数。同时期权隐含波动率也为0,这到底是为什么呢?

现在市场的50ETF期权是欧式期权,使用的Black-Scholes定价公式。在该模型的假设中,有一个非常重要的条件就是期权波动率σ>0 。但是我们在上面T型报价图可以看到不少认购期权隐波这时候已经为0,不满足模型的条件假设。因此,上面根据模型条件推导出来的结果有一些就不再适用。因此,也就出现了一些我们意想不到的情况。

事实上,我们可以从更为本质的角度来理解这个问题。要知道期权价格是由市场交易出来的。当标的资产价格不变时,若买方实力优于卖方实力,则期权合约价格就会抬升,与之相反,期权价格则会被压低,甚至出现期权价格小于期权内在价值的情况,最终使得期权的时间价值变为负数。当期权时间价值变为负数以后,此时Black-Scholes模型将失效,我们无法通过期权价格反推出期权的隐含波动率。这时候我们就令期权合约的隐含波动率为0。这也是为什么在T型报价表中,期权时间价值为负和期权隐波为0经常成双成对的出现。

从上面可以知道,对于认购期权而言,当标的资产价格未变时,由于卖盘的实力强于买盘,这将导致期权价格被压低,有时甚至出现期权价格小于内在价值的情况。这表明投资者对未来行情较为悲观,或对未来行情持相对谨慎的态度。事实上,若我们利用期权平价公式,可以得到此时的合成标的将贴水于标的资产,这与股指常年出现贴水情况是类似的。

此外,由于深度实值期权的Delta相对较大,标的价格变动对期权合约价格影响更大(合约绝对价值变动),投资者往往更不倾向于交易深度实值期权。这也导致深度实值期权的流动性较差,从而使得深度实值期权价格变化可能会滞后于标的资产价格变化,从而出现期权时间价值为负的情况。

D    到期日的时间价值

除了上述“奇怪”的现象以外,不少投资者对期权合约到期日时间价值出现的“异动”也表示十分疑惑。下面是50ETF期权某个到期日收盘后的T型报价表。

可以看到,50ETF期权合约到期收盘后,仍然有不少认购的期权的时间为负,而不少认沽期权的时间价值为正。既然合约已经到期了,为什么时间价值不归零呢?从上面的讨论,我们可以知道,这同样是表明投资者对未来市场持谨慎态度,从而使得认购期权出现折价,而认沽期权出现溢价。另外一个原因是实值期权的流动性问题,平常深度实值期权的流动性就相对较低,到期日甚至都有可能出现没有对手盘的情况,这就导致了期权合约到期后,实值期权时间价值不归零。

另外,我们还可以从期权合约交割的角度来看待上述问题。由于ETF期权是实物交割,当期权进入交割流程后,认购期权的买方需要准备足够的现金以满足交割要求,而这有时需要一大笔资金。例如,投资者持有100张50ETF购10月3.4合约,那么该投资者需要在交割日准备100*10000*3.4=340万,显然短期之内筹集这么多资金有不小的难度。此外,认购期权买方交割获得ETF份额后,在T+2交易日才能进行操作,这也增加了不确定性。因此投资者更倾向于直接平仓,赚取平仓与开仓之间的价差,一则不需要筹集这340万,从而大大提高资金的使用效率;二也不需要承担ETF“过夜”的风险。这也是为什么临近到期日,认购实值期权往往折价较为严重,使得合约到期后,仍出现时间价值为负的现象。事实上,为解决上述问题,交易所已经推出组合行权的措施,在一定程度上降低了到期日认购期权折价的情况。

那么认沽期权在合约到期后,时间价值为正,这又如何理解?类似地,认沽期权的卖方为了不进入交割流程,他们同样需要进行平仓,由于流动性关系,从而出现溢价的情况,导致期权价值为负。当然若投资者持有大量的50ETF现货,如果直接在二级市场上卖出可能会对50ETF的价格造成冲击,而通过交割流程来减持50ETF则不存在上述问题。因此,投资者也可以通过溢价买入认沽期权来达到减持的目的。

期权时间价值在期权交易中是一个非常重要的概念,主要受期权剩余时间、期权隐含波动率和标的资产价格变动这三个因素的影响。根据Black-Scholes模型,欧式期权的时间价值应该为正(不考虑标的资产较低时的欧式看跌期权),并且随着期权合约到期日的临近时间价值流逝将加快。但在日常交易中,期权时间价值常常会出现负值。这主要是受到投资者对未来行情判断、市场流动性以及交易规则等因素的影响,从而使Black-Scholes模型“失效”。因此,在日常交易中,投资者应该更关注交易背后的原因,而不要拘泥于理想假设下的期权模型。

(作者单位:方正中期期货)

加载中...