新浪财经 期货

我国黄金期货与黄金股票动态相关性实证研究

期货日报

关注

原标题:我国黄金期货黄金股票动态相关性实证研究 来源:原创

今年上半年金融市场出现大幅波动,我国黄金期货价格逐渐走高,A股黄金类股票也不断攀升,这说明我国黄金期货与A股黄金类股票有一定相关性。分析黄金期货市场与A股黄金板块相关性,不仅对投资者进行合理资产配置具有参考作用,而且对监管机构进行商品期货市场和股票市场调控、化解金融风险提供理论依据。

虽然黄金本位制崩溃,布雷顿森林体系瓦解,黄金已不充当货币发行的储备物。不过,由于黄金在正常的条件下具有不易被腐蚀、单位价值高、易储藏、易分割等优良特性,黄金被广泛应用于工业领域,是重要的大宗商品。同时,黄金产量有限,价格受到宏观因素影响,与全球经济事件和金融市场波动紧密相关,尤其在黑天鹅事件中表现尤为显著,黄金也可以作为投资品。因此,黄金兼具商品属性与金融属性。

实证检验

模型介绍

随着金融市场的发展,多变量的时间序列模型和方法受到学者关注。其中比较典型的有1988年BollerSlev提出的VECH模型,1990年提出的CCC-MVGARCH模型,1995年恩格尔等提出的BEEK模型。VECH模型在GARCH模型的基础上研究向量波动特性,但由于该方法待估参数过多以及该模型的方差协方差矩阵无法保证有正定性的两大缺陷,未能被学者大量应用。随后的BEEK模型虽然弥补了VECH模型的两个缺陷,但相对于VECH模型经济意义不明确,也在使用上受到一定程度的限制。CCC-MVGARCH模型虽然弥补了上述两个模型的限制——使用较少的估计参数、具有明确的经济意义,但该模型假设的是多个资产之间相关系数恒定,与不同资产相关性随着时间波动的现实情况不符。为克服上述缺陷,Engle和Sheppard在2002年提出了DCC-MVGARCH模型。

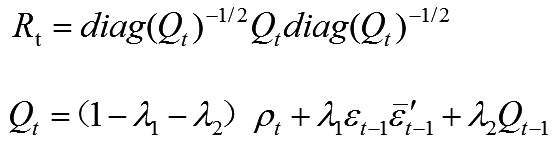
DCC-MVGARCH模型即动态条件相关多变量自回归异方差模型,是在CCC模型基础上进行的改进,放松CCC模型中序列相关性恒定为常数的假设,反映出序列间随时间波动的动态关系。DCC-MVGARCH模型是通过改变CCC模型常数矩阵Rt 的假设,对标准化扰动项进行加权平均, 模型可表示为:

Yt=CXt+εt                                                                        (1)

εt =Ht1/2vt                                                                             (2)

Ht=Dt1/2RtDt1/2                                                                  (3)

代表标准化后的随机扰动过程。同时,参数λ1和参数 λ2分别代表滞后1期的标准化的残差平方系数( ARCH系数) 和异方差系数( GARCH系数) ,满足前提条件λ1≥0、λ2≥0、0≤λ1+λ2<1。

DCC-GARCH模型预测分为两个步骤,一是对每个单变量建立GARCH模型,二是以每个单变量的GARCH模型为基础,预测多元变量之间的相关系数。每个单变量建立GARCH模型的前提是ARCH效应的存在。

样本选取和处理

这里用上海黄金期货主力合约收盘价代表我国黄金期货市场价格。同时,由于中国A股尚无黄金板块指数来衡量A股黄金板块走势,故选取A股黄金板块中流通市值排名前三的上市公司的每日收盘价进行加权平均,作为A股黄金板块指数,其权重为流通市值的比重。样本选取时期为2014年1月1日—2020年7月31日,剔除一些非正常交易的数据后,数据样本为1490个。

此外,上海黄金期货主力合约收盘价令为变量Q,A股黄金板块收盘价令为变量G。为消除异方差,对所有变量取对数,分别为变量LQ、LG。各变量的描述性,见表1。

通过变量描述,可以看出,黄金期货和A股黄金板块均呈非正态分布,尖峰有偏,满足时间序列的尖峰后尾的部分特征。

单位根检验

在实证分析前,为避免计量分析中出现伪回归问题,先对变量进行平稳性检验。若数据在5%的显著性水平下拒绝原假设,则认为该序列是平稳的。本文采用Dicky和Fuller的ADF检验,其单位根检验结果如表2所示。

变量LG和LQ在10%、5%、1%三个显著水平下,都不能拒绝原假设,均为非平稳序列。对两个变量进行一阶差分,即各自收益率变量RG、RQ,两者收益率不仅在5%的显著性水平下拒绝原假设,而且在1%的显著水平下也拒绝原假设,故两个变量的收益率时间序列满足平稳性。

对各自变量收益率的ARCH 效应检验,结果如表3所示。

在1%显著性水平下,拒绝假设,通过ARCH检验,模型的残差序列存在ARCH效应。故对所有单变量建立GARCH模型,结果如下表所示。

在1%显著性水平下,除常数项外,GARCH模型的估计系数均能拒绝原假设,系数项皆显著。同时,ARCH项和GARCH项的系数之和分别为0.957635、0.997368,均符合GARCH模型参数约束条件中小于1的要求。

稳定性检验

使用EVIEWS10软件进行参数估计,得出DCC-MVGARCH模型在通过改变CCC模型常数矩阵Rt的假设下的联立方程的稳健性,结果如表4所示。

DCC-GARCH模型中的系数θ1与θ2不仅都大于零,而且均在1%的显著性水平下显著。另外, θ1+θ2=0.942561<1,符合模型的条件,表明模型整体平稳,DCC-GARCH模型对黄金期货与A股黄金板块的相关系数拟合优度高。

在联立方程满足稳健性的前提下,可以得出黄金期货与黄金股票板块的动态相关系数rho12的图表信息,结果如表6和图1所示。

根据描述性统计可知,动态相关系数在0.2附近波动,最大值为0.5,最小值为-0.555,相关系数的差距较大。另外,均值与中位数相差无几,说明分布比较均匀。从上图可以看出,我国黄金期货与A股黄金板块的相关系数并非为恒定的常数,是随时间变化而变化,具有显著的时变性,不仅出现了相关性为正的情况,也出现了2014年三季度为负的情况。

此外,二者相关性在某段时间内波动较大,并且阶段性特征明显。具体表现为:2014年下半年,相关系数急速下降,由正转负,最低至-0.555,相关系数变化幅度超过0.9;2016年二季度开始,相关系数也大幅度下降;2018年之前动态相关系数在0.2徘徊,2018年以后,相关系数大部分时段都超过0.2,并且有逐步上升的趋势,2019年三季度一度达到0.5。

结论与建议

总的来说,中国黄金期货与A股黄金板块相关系数随着时间变动,具有明显的时变性特征,在不同阶段,相关系数存在较大差异,并且相关系数的波动幅度较大,低至-0.555,高至0.5。相关系数不同阶段上升和下降趋势不同,在2014年下半年到2015年相关系数急剧下降,低至为负,2018年以后,动态相关系数基本为正,同时系数在0.2以上,长期看有稳步上升的趋势。此外,中国黄金期货与A股黄金板块相关系数基本在0.2左右,与英美发达的黄金市场在不同板块的动态相关系数相比依然存在较大差距。

针对国内的具体情况,在此谨提出几点建议:

第一,中国应该继续深化黄金市场改革,强化市场在资源配置的决定性作用,降低黄金基金门槛,培育高质量金融机构,丰富黄金理财产品,释放黄金消费和投资活力,提高黄金期货市场与A股黄金板块的联动性。

第二,决策机构应加强对我国股票市场与黄金市场等金融市场的研究,做到理论与实践并轨,保持制度的前瞻性和协调性,做好风险防范措施,进而推动我国金融市场稳步健康发展。

第三,投资者可以根据黄金期货市场和黄金股票类市场的相关性,进行合理的资产配置。

(作者单位:武汉纺织大学)

加载中...