新浪财经 期货

期权做市商的风险管理策略探析

期货日报

关注

需要重点考虑对冲阈值和风险调整频率的设置

Greeks风险

Greeks反映期权价值对其影响因素变化的敏感性,期权价值的影响因素有标的资产价格、执行价格、有效期限、利率(包括无风险利率和股息率等)以及波动率。

表为影响期权价格的主要因素

注:+表示正向的影响,-表示反向的影响,?则表示影响方向不一定

上表展示了各期权价格影响因素变化对期权价值的影响作用。在保证其他变量不变的条件下,看涨期权的价值与标的资产价格成正比,看跌期权的价值与标的资产价格成反比;看涨期权和看跌期权的价值都与合约有效期成正相关关系;看涨期权价值与无风险利率变化呈正相关关系,看跌期权价值与利率变化呈负相关关系;期权的价值与波动率的变动呈正相关关系。可见,这些因素变动都会给做市商带来持仓风险,做市商必须对冲这些风险。

Delta:标的资产价格变动

Delta衡量期权价格变动与期权标的资产价格变动之间的关系,是期权价格与期权标的资产价格关系曲线的斜率,其一般的数学定义为:[Delta=][期权价格的变动

标的资产价格变动] 。根据B-S模型,如果考虑股息支付,则Delta的具体计算公式为Call:Delta=e-qTN(d1);Put:Delta=e-qTN(d1-1)。

Delta具有如下性质:对于看涨期权,平值期权的Delta绝对值 >虚值期权的Delta绝对值;随着到期日的接近,实值期权的Delta绝对值将收敛于1,平值期权的Delta绝对值将收敛于0.5,虚值期权的Delta绝对值将收敛于0;对于合约条件相同的看涨期权与看跌期权,其二者的Delta绝对值之和等于1。Delta风险是做市商持仓风险中影响最大最显性的风险,也是做市商优先对冲的风险。

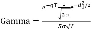
Gamma:Delta的变动

Gamma衡量的是期权标的资产价格的变化所引起的Delta值的变化,即期权Delta值变动相对于标的资产价格变动的比率。

其一般的数学定义为:[Gamma=][Delta的变动

标的资产价格变动] 。根据B-S模型,如果考虑股息支付,则Gamma的具体计算公式为:

Gamma具有如下性质:对于合约条件相同的看涨期权与看跌期权,其二者的Gamma值相同;所有期权的Gamma值均为正值;平值期权的Gamma值大于实值期权或虚值期权;深度实值期权与深度虚值期权的Gamma值都接近于0;平值期权的Gamma值随着到期日的临近而加速增加。可见,Gamma风险在临近到期日时快速增强。

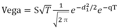
Vega:波动率的变动

Vega衡量的是期权价格的变化与标的资产价格波动率变化之间的关系,用以反映标的资产价格波动率对期权价格的影响。

其一般的数学定义为:[Vega=][期权价格的变化

标的资产波动率的变化] 。根据B-S模型,如果考虑股息支付,则Vega的具体计算公式为:

Vega具有如下性质:所有期权的Vega值均大于0;对于合约条件相同的看涨期权与看跌期权,其二者的Vega值相同;平值期权的Vega值大于实值期权或虚值期权;深度实值期权与深度虚值期权的Vega值均接近于0;期权的Vega值随着到期日的临近而下降。

Theta:时间消散

Theta衡量的是期权价格因为时间经过而下降的速率,用于反映时间经过所带来的风险,其一般的数学定义为:[Theta=][期权价格的变化

经过的时间] 。根据B-S模型,如果考虑股息支付,则Theta的具体计算公式为:

Theta具有如下性质:在一般情况下,看涨期权和看跌期权的Theta值均小于0;平值期权的价值随到期日的临近而不断加速衰减;平值期权的Theta绝对值大于实值期权或虚值期权;存在Theta为负值的例外情况。对于实值程度极深的欧式期权,由于不能提前执行,期权价格可能低于其内在价值,此时,期权的Theta值为正值。

管理方法

Greeks风险是做市商需要对冲的常规风险,也是做市商需要实时监控的风险。不同的做市商对于Greeks风险的管理风格不一样,同一做市商对不同的期权品种Greeks风险的管理方式也有所差别。一种典型的Greeks风险管理模式为:做市商为Delta设定一个阈值,选择一个调仓频率,比如每5分钟一次,监测Delta情况,如果超过阈值就进行调仓,对冲方法可以用期权标的(期货或现货)或者采用相反交易,这个阈值和频率由做市商的风格和标的波动状况决定,不过对于做市应价的单笔大额成交一般采用delta即时对冲方式;Vega风险则属于中长期风险,做市商也设定一个阈值,但是对冲频率则相对较小,比如每日临近收盘或者更长时间调一次,但在市场单边大幅变动的情况下做市商会临时对冲;至于Gamma风险和Theta风险则需同时管理,通常而言做市商的Theta风险都处于有利一方,无需单独对冲,而Gamma风险在临近到期日是最为重要,不过这时Theta也处在较为有利状态,因此做市商通常会监控Gamma/Theta比值,为这个比值设定一个阈值,一旦阈值被突破就进行调仓。

从理论上讲,如果实时调仓,做市商将免于承担Greeks风险,但是实时调仓的成本太高,在实务中根本不可能也不需要如此。一方面如果调仓频率过高,会造成做市压力过大,而且对冲成本可能吞噬盈利;另一方面由于做市商双边报价,可能做市成交的头寸可以自身对冲,过高的调仓频率反而不利于做市商的运营。

波动偏斜风险

Vega风险是指波动率水平变动造成的风险,而波动偏斜风险是由于波动率曲线形态的变动造成的风险。一般而言,波动率曲线一般呈现笑脸状态,但在某些市场条件下波动率曲线可能呈现哭脸状态,这就是波动偏斜状态由正向变为反向。当然从整个波动率曲线考虑,波动率还可以发生更多的变化,比如波动率曲线的水平移动。这些变化虽然可以由波动率曲面模型的不断修正避免新增风险,但是对已有头寸造成的风险却无法通过模型修正得到解决。

波动偏斜风险对价差组合的影响最大,而且主要影响虚值程度较大的合约。虽然做市商可以通过自己的波动率曲面模型和报价量维持较为正常的波动率曲线状态,但由于做市商在虚值期权的买卖报价价差较大,因此波动率曲线偏斜状态的可变范围仍然较大。根据目前实务中的情况看,波动偏斜风险的可处理性不强,不过可以肯定的是由于波动率曲面变动的范围不大,风险也是有限的,而且在实际交易中波动率曲线的形态比较稳定。当然,如果面临波动偏斜风险,做市商仍可以根据经验做一些风险调整,比如根据波动率曲面形态的变化趋势,对不利影响较大的合约进行减仓操作。

跨期风险

所谓跨期风险是因做市商持有多个月份期权合约而造成的风险,其中关注的主要风险有跨期Delta风险和跨期Vega风险。

跨期Delta风险是指标的合约期差的变化造成的期权合约期差的变化,显然只有期货期权才有这类风险,其一般的数学定义为:[Time Delta=][期权日历价差的变动

标的期货合约的期差变动] 。

与Delta风险类似,我们可以通过构建期货跨期头寸进行风险对冲。不过在实务中,除非期货跨期价差发生明显的非正常状态,做市商一般不会进行跨期Delta风险对冲。因为对冲该风险只能在短期内产生效应,而在长期会吞噬期权日历价差的潜在收益,增加做市商的交易成本,并且使得头寸结构混乱,容易造成其他风险。

跨期Vega风险是指由于跨期隐含波动率差的变动造成期权合约期差的变化。跨期Vega风险的一般的数学定义为:[Time Vega=][期权日历价差的变动

隐含波动率跨期差变动] 。

该风险与波动偏斜风险都是波动率曲面状态变化引起的,波动偏斜风险是由于波动率曲面的横截面变化造成的,而跨期Vega风险则是由于波动率曲面的纵截面变化造成的。我们从SABR模型的“脊线”

可以看出,当β>1时,远期合约的隐含波动率高于当月合约的隐含波动率,当β<1时,远期合约的隐含波动率低于当月合约的隐含波动率。因此,当β变动时做市商的头寸就有跨期Vega风险。与波动偏斜风险一样,跨期Vega风险也没有一个较为独立的管理方法,只能依据做市商的经验进行操作。不过在实务中,除了持仓本身的调整,对于波动率风险做市商可以选择波动率指数期货和期权进行管理。

大头针风险

大头针风险是指平值期权在临近到期时由于很难预知期权是否会被执行所面临的风险。对于期货交割或实物交割的期权,期权行权后标的必须在第二个交易日才可到账并进行交易,如此行权者需要承担这部分时间内的市场价格变动风险。如此,对于平值期权,如果行权价格与标的价格十分接近,考虑到这部分市场价格变动风险,期权买方可能放弃行权。

由于做市商的头寸基本为Delta中性状态,如果发生期权买方放弃行权的情形,则市场价格变动风险由做市商承担。比如某种期货期权,做市商持有一个合成期货组合,于是利用期货进行对冲,显然在头寸持有期间没有任何风险。但是到期日如果期权对手买方的合约为十分接近标的价格的实值期权且放弃了行权,则做市商用以对冲的期货头寸必须在第二个交易日平仓,而这个隔夜价差则由做市商承担。对于大头针风险,做市商可以提前监控,对预期可能发生大头针风险的合成期货组合择机平仓。

到期风险

到期风险根据做市商应对不同可以分为两类:一类为到期对冲风险,一类为展期对冲风险。由于头寸中合约的Greeks是可以相加的,因此如果做市商没有进行区分性对冲,而是从整体上对冲,则可能产生期限错配的情况。比如用当月的期货合约对冲次月期权合约的Delta风险。如此,当当月合约到期时,做市商必须另建立其他月份合约进行风险对冲。当然,更多的是当月期权合约与期货合约到期后,由于做市商没有分期限进行对冲,则必须在第二个交易日对头寸重新进行对冲。这种情况造成的风险就是到期对冲风险。当然,做市商也可以在期货合约到期前进行展期,这种情况造成的风险就是展期对冲风险。

针对这类风险,做市商一般会在头寸对冲之时就按头寸的期限分布进行对冲。不过根据期权市场的交易结构,远期合约的交易量较少,做市商的主要头寸都在当月和次月合约,做市商比较好控制,因此到期风险对做市商的影响也不大。

流动性风险

当做市商进行风险对冲时,需要交易期权标的资产或关联性资产,如果市场规模较小,做市商将面临流动性风险,做市商可能承担较高的交易成本甚至难以完成风险对冲。做市商面对这种情况,一方面可以限制做市的规模,降低持仓头寸,另一方面也可以寻求多个风险对冲方法,将对冲需求分散化。不过从目前市场上看,期权合约都是建立在一个较为成熟的期货或现货市场之上,因此做市商面临的流动性风险都在可控范围之内。

模型风险

所谓模型风险是指模型本身的错误或者做市商对模型的运用失当造成的风险。对做市商而言,最重要的模型无非期权定价模型和波动率曲面模型。从理论上看,这两类模型本身没有问题,可能存在的风险在于波动率曲面对市场的拟合失效。

以SABR模型为例,γ和ρ通过市场数据拟合而来。由于不能实时校正拟合系数,如果γ和ρ发生变动,则期权定价会发生偏差,如此会产生模型风险,具体为:

其中,vanna表示波动率偏斜度增加的风险,vlaga表示波动率微笑幅度加大的风险。这两类风险可以通过买卖实值和虚值期权进行调整。当然,对于模型风险,我们并不能期待完全对冲,只能通过模型改进、监控修正以及在成本收益最大化的视角下进行对冲和管理。

做市商系统风险

做市商系统是做市商进行做市的基础,是做市商竞争力的集中体现,一个计算高效、运行稳定、交易迅速的做市商系统是做市商立于不败之地的基本要求。然而,做市商系统无法避免会存在一些问题,一旦出现问题对做市商的影响将是巨大的。为此,一个好的做市商系统必须有一个监控机制,当发现系统运转出现问题时限制交易或者阻止交易。

以上内容都是从各个风险点单独进行分析和管理。风险管理过程中需要重点考虑风险管理的成本和收益,主要体现在对冲阈值和风险调整频率的设置。通常而言,如果上述风险都被很好地管理,则做市商所面临的潜在风险都能得到较好的控制。

但从成本与收益角度看,却并不能保证达到最优。如此,做市商需要一些管理整体风险的技术和方法,主要方法包括资金管理方法、压力测试和VaR方法。这些风险管理技术可以预防和管理影响较大的突发性风险,并在整体风险评估下指导做市商设置最优的单个风险管理阈值和头寸调整频率,寻求风险收益的最优。

加载中...