新浪财经 期货

基于趋势指标的期权卖方策略研究

期货日报

关注

实际使用效果取决于基础分析指标

趋势信号策略

对于有一定交易经验的投资者来说,对技术分析肯定不陌生。与基本面的分析不同,技术分析更单纯的使用标的历史价格、交易量等信息作为数据进行分析,以判断市场趋势并跟随趋势从而获利。技术分析认为市场行为包括并消化了一切信息,历史注定会重演。

一般来说,我们可以将技术分析指标分为两大类:趋势型和反转型指标。趋势型指标就是跟踪标的物当前的价格走势,根据趋势理论的观点,认为趋势一旦形成将大概率的延续。常见的趋势型指标包括:均线、MACD、动量因子、SAR等,以及由简单均线衍生出来加权移动平均等符合均线指标,乃至采用信号分析中频域分析方法构建的指标都可归属在此类中。趋势类信号的使用方法通常有两种,一种是基于短期指标和长期指标的信号交叉,即我们所熟知的“金叉”和“死叉”;另一种是类似数学上的切线概念,通常斜率大于0做多,小于0做空。反转型指标基于“物极必反”的逻辑,单边的趋势不可能无限进行下去,该指标力图抓住趋势反转的拐点。常见的反转型指标包括乖离率、ROC、CCI、KDJ等。

与基本面分析需要较强的专业背景知识不同,技术分析相对通俗易懂,具有适用范围广、可操作性强、获利周期短等优点。当然技术分析也存在天然的缺点,对于标的的长期走势的预测,技术分析通常可靠性较差,精确度不高。更致命的一点,技术分析存在天然的“盲区”,部分指标在某些区域内无法准确给出有效的结论。例如均线指标由于其天然的滞后性,在行情振荡时容易频繁给出涨跌信号,导致来回止损。均线计算周期越长,滞后越严重。

以经典的均线指标为例,构建一套趋势交易的策略来更好地加深对技术分析的理解。以沪铜指数作为标的(由于期货合约的更替导致存在数据跳空,为了保证连续性,此处简单以指数直接作为标的。实务中可以通过指数择时,反过来在主力合约上交易)采用收盘价进行信号触发计算,信号计算公式如下:

MAt(N)表示t时刻标的对应周期为N的均线值,N分别取5、10、20、30、60进行回测。当信号为正时,持有多单。当信号为负时,持有空单。当信号为0时,维持前期持仓不变。采用50万本金,每次开仓动用八成资金,保证金在交易所基础上加5%,手续费在交易所基础上上浮20%,回测期从2016年1月至2019年4月。相关结果如下表和下图所示。

表为简单均线策略结果统计

图为简单均线策略净值曲线

以简单均线这个经典的趋势分析指标为例,我们重点从交易的角度来理解技术分析的优缺点,方便后续引出期权卖方策略。从上表和上图可以看出,对简单均线策略而言,其优势在于对趋势的响应较快,对大行情的跟随到位,特别是对于2016年底和2017年9—12月的大涨行情,都能有效捕捉到。其弊端显得更为突出:一是总体盈利效果非常不显著,从五组参数的回测情况来看,除MA10和MA30取得正盈利外, 其他组最终的结果都为亏损。二是盘中回撤过大,导致很多过程虽然实现盈利,但最终在振荡势中亏损消耗掉。不过,回撤过大与资金策略也有关系。三是胜率太低,最高仅为43%。盈亏比太低,最高仅为1.22。

另外,我们统计了两个指标,盈利平均持仓天数和亏损平均持仓天数。盈利单子的平均持仓天数都大于亏损单子的平均持仓天数,说明真正的趋势行情往往具有持续性。

对任何量化策略的改进无外乎两种:提高胜率或提高盈亏比。不同的策略胜率具有相对稳定的胜率,提高胜率涉及对策略逻辑的调整。提高盈亏比需要从提高盈利单子的平均盈利或者降低亏损单子的平均亏损入手。传统的止盈止损模式并不能很好改善策略的盈利效果,相反容易陷入过度优化的困局。下一部分我们将从期权的角度阐述改进该类策略盈利效果的思路。

期权时间价值

我们知道期权的风险收益结构具有非线性,期权的买方面临权利金亏损,但潜在获取无限收益的可能;而卖方通常收益有限,仅为收取的权利金,却需要承担价格反向波动的无限风险。不过,很多资料都没有揭示在买卖双方背后的优劣势。通常而言,期权市场隐含波动率天然被高估的倾向,即隐含波动率往往都会高于已实现波动率,这种波动率的溢价为期权卖方提供了一定的“安全垫”。另外,从前面对简单均线策略的回测结果也知道,实际中的趋势行情往往较小(低胜率说明趋势的交易机会少),行情更多的时候表现为振荡,也就是从概率的角度看,期权卖方赢面大。

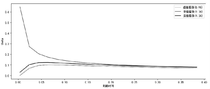
期权卖方在“时间价值”这一项绝对占优。我们知道,期权买方类似于买保险,当市场行情并未向买方有利的方向运行时,买方每天都会损失“时间价值”,这部分则会被卖方收入囊中。自然而然地,如果期权卖方在持仓期间收割的“时间价格”能弥补部分在振荡行情中由于标的方向交易错误导致的亏损,那么简单均线策略的收益是否可以得到有效的改善?我们先来看下不同价值程度期权的theta值与到期时间的关系。

图为不同价值程度期权的theta与到期时间关系

从上图来看,不同价值程度期权的theta和到期时间的关系有些复杂。当到期时间仍比较长时(大于0.1以上时),随着到期时间的缩短,三种状态下的期权theta呈缓慢增长。当临近到期时间时,在某个拐点处,实值和虚值期权的theta会掉头向下,而平值期权的theta则会加速放大。这也启示我们,同样是卖出期权的策略,卖出到期时间短的平值期权在时间价值上获利更多。在BS模型的框架下,theta对波动率的导数为正,说明波动率越大,相应的theta也越大,此时期权卖方可以收取的时间价值也较大。

理想情况下,我们当然希望每次都卖出高波动率的平值期权,稳稳收取时间价值。但在基于趋势指标的信号下, 由于存在低胜率问题,卖出的平值期权对标的价格变动过于敏感,行情的反向变动对头寸的伤害较大,此时需要在期权价值程度和时间价值做取舍。接下来,我们用沪铜做历史回测分析,来给出直观的结论和建议。

沪铜回测分析

目前已上市的六个商品期权中仅有铜期权是月连续合约,同时近月为主力合约,期限短、流动性好是我们选择它作为回测标的的原因。我们设置以下交易规则:交易信号的触发基于简单均线策略。当沪铜指数均线系统发出看空信号时,根据标的价格卖出对应的看涨期权,信号发出看涨时,相应卖出看跌期权。卖出期权的价值程度覆盖从平值到虚值三档,共分四组进行回测。如果信号发出时市场不存在该档位的期权,则等到该档位期权上市再做交易。

回测周期从2018年11月23日至2019年05月24日。均采用期权合约的收盘价,暂不考虑买卖价差和冲击成本,初始资金50万,每次使用八成资金开仓。卖方保证金在交易所基础上加5%,手续费在交易所规定基础上上浮20%。动态监测保证金水平,当保证金不足时平掉部分仓位以满足交易所最低保证金要求。

表为沪铜指数均线策略回测结果

以下三个表格分别展示了根据简单均线的开仓信号,分别卖出从平值到虚值三档期权的回测结果

表为沪铜卖出平值期权回测结果

表为沪铜卖出虚值一档期权回测结果

表为沪铜卖出虚值二档期权回测结果

表为沪铜卖出虚值三档期权回测结果

沪铜期权的回测结果统计显示:

根据标的均线交易信号替换到期权卖方操作后,除两组参数的胜率小于50%外,其余情况下的胜率均在50%以上,特别是卖出虚值一档期权中MA10、MA20和MA30的胜率更是达到了70%及以上,属于非常优异的表现。总的来看,大部分实验组的结果说明利用期权卖方策略的确可以有效提高交易的胜率,而且这种提高还是在增加了交易次数的基础上得到的。

从盈利效果改善的角度来看,最明显的还是对MA5和MA60这两组参数。在原模式下下,两组参数的结果都巨亏。但是在期权卖方策略下,四组回测下的表现都优于原均线策略,同时有三组都实现了盈利。一方面卖方持仓中获取的时间价值可以弥补部分亏损。另一方面,虚值期权价格对标的价格变动的敏感度降低,也在一定程度上降低了择时中错误信号的亏损。

在最大回撤这一项指标上,期权卖方策略也具有绝对优势。四组期权卖方策略回测的最大回撤指标均显著优于原均线策略,对于风险偏好较低的投资者而言,卖方策略不失为一个很好的选择。追求绝对小的最大回撤没有任何意义,最大回撤跟策略本身的思路有关,也跟交易的资金管理有关。我们更倾向于使用收益—最大回撤比这个指标,该指标用于衡量每承担一个单位的回撤最大可以获取多少收益。从实际回测的情况来看,该指标给出的信息就比较分化,在虚值三档这组回测中,MA5、MA30和MA60都收获到实验中最大的收益—回撤比。

对于在原均线策略下能盈利的三组参数MA10、MA20和MA30,转换到期权卖方策略后,胜率和最大回撤指标有明显改善,但绝对的收益率却明显下降,特别是到虚值三档这组回测,更是低到与无风险利率无异。收益率的降低,一是卖出虚值程度的加深,意味即使本身方向正确,由于时间价值少,盈利也相应少;二是期权持仓问题,对于方向正确的持仓,由于卖出的期权已经进入深度虚值,这时时间价值往往非常低,继续持仓到到期才移仓对策略的收益贡献往往是很小的。

根据上面的回测结果,我们并不能根据收益率水平简单地得出原均线策略下MA10是最佳指标,或者根据其他指标做出类似结论,再进而替换到期权卖方策略下。对于以均线为代表的这一大类趋势型技术指标而言,都是典型的“路径依赖”指标。如何理解?简单来说,根据该信号进行交易盈利与否取决于标的的价格走势,而我们总可以找到一条标的的价格走势使它失效。所以实务中使用该类指标进行择时操作往往就面临着高回撤和低胜率的问题,即使加入止损或信号过滤也不能从根本上改善。但是当转移到期权这种工具上进行交易后,由于从波动率和时间价值两个维度上进行了优化,策略的收益效果自然得到了改善。

结论与建议

本报告提供了另外一种技术分析的交易思路,即通过对标的的技术指标分析得出涨跌的判断,然后再通过期权卖方策略建仓。从沪铜的历史回测来看,传统技术分析存在的低胜率、低盈亏比和大幅回撤等问题在使用期权卖方策略后,一定程度上得到了优化,说明了期权这一衍生工具在实际交易中的强大优势。

尽管期权卖方策略能有效改善原有的标的交易策略,但实际的使用效果取决于底层所依赖的分析指标。从回测情况来看,对过于敏感和迟钝的指标(例如MA5和MA60),卖出虚值程度较深的期权,可以大幅降低方向择时错误造成的损失。对反应适中的一类指标(例如MA10、MA20等),由于指标本身具有一定获利能力和胜率,选择卖出平值或轻度虚值的期权改善了振荡市的亏损状况,提高最终的胜率和盈亏比。

从未来实际交易的角度出发,更多的还是需要去寻找、构建一个综合的适合标的物、合乎逻辑的分析指标,进而通过期权卖方策略提高盈利效果。

(作者单位:国贸期货)

加载中...