中美贸易战情景分析:美国会拿哪些行业开刀?中国如何反制防范并举?...
赫桥智库
声明:本文为赫桥智库摘选文章,已注明作者及来源,若不便在此发表,请联系客服:400-871-6766,或发送邮件至rbthinktank@126.com,赫桥智库将即刻移除。
一、白宫挥舞贸易战大棒,中国或为其重点对象
1、贸易与财政双重压力下,美国政府挥舞贸易战大棒
随着美联储加息常态化与缩表计划的实施,美国难以继续利用宽松货币政策来刺激需求进而拉动经济增长,财政政策成为白宫首选的推升经济增长方式。2017年末,特朗普税改计划终于通过国会审议,成为特朗普上任以来的首项政治成就。
但社会各界并不乏对税改的担忧,根源在于美国严重的财政赤字可能对税改刺激经济的效果产生显著的不利影响。尽管特朗普一再声称此次税改将做到“中性”,但通过回顾美国历次减税可以发现,至少在5年内,财政赤字都将随着减税政策落地而迅速扩张,特朗普对税改“中性”的承诺并不那么可信。如何在其他方面开源节流,成为美国政府面临的一大难题。
贸易方面,美国常年维持贸易逆差,这虽与其作为最大消费国的身份相符,但近年随着贸易逆差重回历史高位,庞大的逆差规模还是给美国政府与社会带来了较大压力,特朗普竞选期间便针对中国巨大的对美贸易顺差颇有微词。
联系到贸易战短期可以显著压缩贸易逆差,同时在贸易保护体制下国内相关产业的盈利大概率将转好,从而减少政府补贴,甚至会增加政府税收来源,总体上使得财政赤字规模有所收缩。历史上,1985年美日贸易战开打后,美国财政赤字显著缩小恰可验证这一点。特朗普上任伊始便对贸易战表现出较大兴趣。进入2018年,美国显著加快了对贸易伙伴国某些行业进行贸易制裁的频率。考虑到美国政府面临的大规模贸易逆差与财政赤字,贸易战蔓延至各领域的概率并不低,美国或继续对其主要贸易伙伴挥舞贸易战大棒。


2、美国显著高估中美贸易顺差,中国成美国贸易战重点对象
自2001年中国加入WTO之后,中美贸易顺差增速有所提升。尽管2008-2009年中美贸易顺差有所回落,但并不改中美贸易顺差绝对值的震荡上行。对于震荡扩张的贸易差额,中美由于视角不同产生了迥异的理解。
在中国看来,尽管中美贸易顺差一直保持震荡上行,但其占中国对外贸易的顺差总额的比重并非一路上行,反而在2004年达到高位后显著回落,目前的位置与1995-1997年相当。所以目前的中美贸易顺差水平与趋势是正常的,关于中国特意从美国赚取贸易顺差的说法并不成立。何况美国还对中国实行多领域的技术封锁,中国并非不情愿,而是难以从美国进口高科技产品,这也对中美大规模贸易顺差有一定贡献。
在美国看来,不仅美中贸易逆差的绝对值在增长,而且其占美国外贸总逆差的比重也在震荡上行。美国历次针对中国部分行业的贸易保护和制裁也难以抑制美中贸易逆差增长的趋势。基于此,美国在贸易上对中国难有太多好感。
比较中美两国统计数据可以发现,美国的统计数据显著高估了中美贸易顺差的规模。若以美中贸易逆差占美国贸易逆差比重为对比指标,可以发现,美国的统计值较中国统计值存在10%-15%的高估,2009年甚至存在17%的高估。若按美国指标(采用美国统计数据便于研究美国政府动机)计,美中贸易逆差占比达46.3%,是第二规模的美墨贸易逆差的近6倍。
无论是从美中贸易逆差的绝对规模还是相对规模来看,中国都有极大可能成为美国此轮贸易战的重点目标对象。从2018年美国对各国展开的贸易调查及制裁事件也可以看出,中国是近期美国政府开展贸易战的重点对象之一。


二、五维度分析美国贸易制裁,部分重工业或受显著影响
综合中美分行业顺差规模、美国分行业进口中国产品规模及占比、美国分行业经济就业贡献、中美各产业的产品关联度及中美贸易摩擦领域演变等五个维度,我们认为中美贸易战升级将对中国的电气设备、机械、钢铁、有色金属加工、塑料橡胶、化工等行业影响最大,中国的家电、纺织服装、家具、鞋类、皮革制品、非金属矿制品等行业也将受到较大影响。
1、维度一:中美分行业贸易差额——工业领域顺差明显,农贸服贸逆差显著
分行业看中美贸易差额可以发现在工业制造业领域,中美贸易存明显顺差;而在农产品及服务贸易领域,中美贸易存显著逆差。可见中美贸易在三大产业间的差额分布并不平衡,当美国在工业制造业领域对中国进行贸易制裁时,农产品与服务业或将成为中国进行贸易反制的可选择领域。
根据2015年与2016年前十一个月的数据,可以看出中美进出口贸易顺差规模较大的行业依次为电子、电气设备(含家电)、纺织服装、机械、家具、鞋及皮革品、钢铁、有色金属制品、塑料橡胶、非金属矿制品、化学制品、印刷品和木制品等。中美进出口贸易逆差规模较大的行业依次为农产品、运输设备(汽车、飞机等)、废旧材料、油气、矿产品和林产品等。整体看,中美进出口贸易顺差较明显,其中工业制造领域中美贸易存较大规模顺差,农产品领域则为显著逆差。
服务贸易方面的情况则有所不同。历来中国服务贸易均为逆差,且在2008年金融危机后加速扩张,2015年才有所收缩;而美国服务贸易长期为顺差状态,在2015年后顺差扩张才有所停滞。中美之间的服务贸易逆差并没有随着中国服贸逆差在2015年整体收缩而滞涨,2007年后,中美服贸逆差呈现快速攀升走势,且目前扩张势头强劲。美中服贸顺差占美国服贸顺差的比重也一路上行,不断触及新高,目前已接近18%的水平。从服贸的分行业数据看,教育旅游、知识产权与金融服务领域在中美服贸逆差中占比较大;细分行业看,旅游占比稍高于海外教育,而运输中的空运与海运在服务贸易差额上相反,中美空运贸易呈现逆差,而海运为顺差,两者相抵,中美在运输服务贸易上呈现小幅逆差。
跨产业来看,中美贸易差额在三大产业分布并不平衡。在工业制造业领域,中美贸易存明显顺差;而在农产品及服务贸易领域,中美贸易存显著逆差。考虑到美国对中国进行贸易制裁主要集中在工业制造领域,在中国对美国进行贸易制裁反制时,农产品与服务业或将成为可供选择的领域。


2、维度二:中国对美出口分行业规模差异大,大规模出口领域多占美国进口较大比重
从中国对美国出口的分行业规模看,电气设备、手机电话、机械、电脑、服装、家具、玩具、鞋子、塑料、汽车、钢铁、光学产品、化工、有色金属制品、皮革制品、橡胶、木制品、工具、贵金属制品、纸制品等按规模依次递减,且以上行业出口总额里中国增加值都可以占到50%以上。其中服装、家具、玩具、鞋子、汽车、钢铁、皮革制品、木制品、工具和纸制品的中国增加值占比接近100%的水平。
在中国向美国出口规模较大的行业中,大多数都能在美国各行业的进口中占到较大比重。考虑到美国对中国某行业实施贸易制裁需要综合考虑进口规模及分领域占比水平,仅从这两个维度看,中国的电气设备、手机电话、机械、电脑、服装、家具、玩具、鞋子、塑料、钢铁、光学产品、化工、有色金属制品、皮革制品等或将成为美国的重点调查对象。

3、维度三:贸易战涉及行业需一定经济贡献度,且能容纳较大规模就业
美国进行贸易制裁不仅仅是单纯为了降低贸易逆差,也需要考虑贸易保护下的国内相关产业是否能对经济及就业产生一定规模的刺激。由于中美贸易顺差主要集中在工业制造领域,所以本节在讨论美国国内动机时仅考虑工业制造业及相关细分领域。
从行业增加值来看,美国的化学产品、运输设备、电子、食品饮料及烟草、金属加工制造、机械和石油煤炭的增加值占GDP比重超过0.5%,规模较大。塑料橡胶、非金属矿制品、初级金属制品、电气设备、纸制品、木制品、家具、印刷及纺织服装等行业的增加值占比虽为0.2%-0.5%,但尚具一定规模。
从就业分布看,耐用品的就业人数与失业人数规模均超过非耐用品。考虑到美国议会中期选举即将于2018年11月进行,若能通过贸易战来保护相关产业并提高行业就业人员的福利,共和党在中期选举中或将受益。

4、维度四:各产业的产品关联度不一,强竞争性领域或为贸易战重点
美国对中国某行业进行贸易制裁还需比较两国在该产业的产品关联程度。若关联程度较低,两国在该行业大概率属于竞争关系,贸易制裁至少在短期可以损人利己。若关联程度较高,不仅贸易制裁效果将大打折扣,而且还会提升该行业产品进入美国的成本,从而降低美国消费者的福利;另外,中美在该领域大概率还能形成产业链上下游关系,美国对该行业的贸易制裁还会提升本国相关企业的生产成本。
考虑到美国对中国进行贸易制裁小概率会涉及中美贸易逆差行业,所以在分析中美各产业的产品结构相似度时,仅涉及中美贸易顺差规模较大的行业(主要包括电子、电气设备(含家电)、纺织服装、机械、家具、鞋及皮革品、钢铁、有色金属制品、塑料橡胶、非金属矿制品、化学制品、印刷品和木制品等)。
我们利用格鲁贝尔-劳埃德指数(即G-L指数)来衡量中美两国间的产业内贸易水平,由于产业内贸易水平越高意味着两国在该产业的关联度越强,所以我们在将中美贸易按北美产业分类体系(NAICS)三级行业分类后,根据原始数据测算中美贸易分行业的G-L指数后,按由低到高的顺序将各行业进行排列,G-L指数越低的行业,美国制裁时越能够达到利己的目的。
经过比对,中美在食品、化学制品、纸制品、运输设备、石油煤炭、海洋产品、二手商品、初级金属制品、木制品及动物产品等领域或产业的G-L指数较高,关联度较高,故美国在上述领域开展贸易制裁的成本较高。中美在石油、天然气、纺织服装、家具、废旧材料、鞋类、皮革制品、农产品、印刷品、电气设备、家电、塑料橡胶及非金属矿制品等产业的G-L指数较低,竞争性较强,故美国在这些领域开展贸易制裁会获得相对较高的收益。

5、维度五:中美贸易摩擦领域有所扩大,“301”调查结果或致贸易战蔓延
中美贸易摩擦在2001年中国加入WTO后频频发生,但涉及行业有所变化。在2002-2009年,中国遭受美国双反措施和特保措施调查的行业主要为纺织、化工、金属制造及机械。随着中美两国产业及贸易结构的变化,纺织行业已不再是中美贸易摩擦的重要领域,根据中国贸易救济信息网公布的信息进行数据整理后,我们发现2017年以来美国对中国的贸易调查并没有涉及纺织服装领域,但化工、钢铁、有色金属制品、机械及配件仍是美国对中国进行贸易制裁的重点领域。
除此之外,中国在木制品、非金属矿制品、杂项制品、塑料橡胶、纸制品、家电及电气设备等领域也经常会受到美国的贸易制裁。
值得关注的一点是,近年来中国的电子领域(电脑、手机等及配件)得到快速发展,中美贸易在该领域的顺差规模排在分行业第一位,美国的电子行业增加值占比也位列第三,同时属于耐用品范畴的电子行业吸收就业的规模也较大,但目前美国尚未进行任何针对性的贸易调查与制裁。
我们认为原因有二:一方面中美在电子行业的贸易一部分属于产业链上下游贸易,存在较高关联度,美国在这些领域开展贸易制裁的成本较大,不仅可能减少消费者福利,还会显著增加苹果等电子巨头的成本。
另一方面,中美在电子行业的贸易虽然也有部分属于竞争关系,但由于科技产品中大部分成本属于知识产权费用,美国难以严格界定其具体成本,进而难以利用WTO框架下的双反等措施进行贸易制裁。但是,2017年8月中下旬美国针对中国发起的“301调查”值得警惕。考虑到“301调查”主要内容是针对中国是否在知识产权领域有侵权行为,不排除在“301调查”结果出台后美国对中国的贸易制裁会蔓延至电子、IT等技术密集型领域的可能,“301调查”结果公布甚至可能会成为中美贸易战全面升级的拐点。

从中美分行业顺差规模、美国分行业进口中国产品规模及占比、美国分行业经济就业贡献、中美各产业的产品关联度及中美贸易摩擦领域演变等五个维度综合评估,我们认为中美贸易战升级将对中国的电气设备、机械、钢铁、有色金属加工、塑料橡胶、化工等行业影响最大,中国的家电、纺织服装、家具、鞋类、皮革制品、非金属矿制品等行业也将受到较大影响。另外,不能忽视贸易战在“301”调查结果公布后蔓延至电子、通信设备、IT及其他技术密集型领域的可能性。
三、贸易反制或为应对之策,综合防范美国多维打击
若美国率先提升贸易制裁的力度并扩大制裁范围,中国需通过贸易反制手段来增加美国进行制裁的成本,同时需做好贸易、汇率、金融等多领域的综合准备。
1、贸易反制为国际惯例,多领域可供中国选择
从历次美国与欧盟及其他国家的贸易战过程中可以看出,贸易反制已成为国际社会用来对抗和制裁一国单边贸易保护行为的常用手段。但与美国进行贸易制裁的动机不同,我们认为中国若进行贸易反制,主要需要从分行业中国对美贸易逆差规模、中国分行业进口美国产品规模、中国分行业进口美国产品值占美国该领域出口值比重及中美各产业的产品关联度等四个维度进行综合考量。
从中美贸易逆差规模上看,农产品、运输设备(飞机、汽车等)、废旧材料等领域的中美贸易逆差规模显著偏高,石油、天然气、矿产品、林产品、饮料、烟草、二手商品、成品油、煤炭及动物产品等行业的中美贸易虽也为逆差,但规模相对较小。服贸方面,中国对美国整体服贸逆差规模较大,其中教育、旅游的各自占比均超服贸总逆差规模的30%,两者之和接近70%;另外,金融、维修、保险、空运等服务领域中美贸易也为逆差,只是规模有限。
从中国向美国进口的分行业规模看,电气设备、飞机、机械、汽车、农产品(种子、水果等)、光学产品、化工、塑料等行业规模较大,超过五十亿人民币。
考虑到中国对美国实行贸易反制是为了增加美国进行贸易战的成本,故而要更多考虑中国分行业进口规模占美国出口比重较大的领域。中国在农产品(种子、水果等)、皮革、纸浆、木制品、冷冻肉、棉花、矿产品、有色金属制品、谷物及飞机等行业的进口规模占美国出口比重较大。
从中美各产业的产品关联度来看,中美在石油、天然气、纺织服装、家具、废旧材料、鞋类、皮革制品、农产品、印刷品、电气设备、家电、塑料橡胶及非金属矿制品等产业的G-L指数较低,竞争性较强。
综合中美分行业贸易逆差规模、中国分行业进口美国产品规模、中国分行业进口美国产品值占美国该领域出口值比重及中美各产业的产品关联度等四个维度,我们认为中国在农产品(种子、水果、棉花、谷物等)与飞机等领域进行贸易反制能够显著增加美国进行贸易战的成本,另外中国还可以选择在汽车、废旧材料、石油、天然气、矿产品、林木产品、塑料、皮革及冷冻肉等领域进行贸易反制。除制造业外,在旅游等服务贸易逆差较大的领域进行反制也可以作为备选方案。


2、美国多维打击战略灵活,中国需综合防范潜在风险
在1985-1995年美日贸易战中,美国利用其强大的综合国力展开针对日本的贸易、金融、汇率等领域的多维打击,虽然日本当时拥有强大的经济实力,但仍无法抵挡美国的贸易战攻势。此后,日本经济便陷入了“失去的20年”。
中国在面临美国贸易战风险时,除了在贸易领域做好相关反制准备外,还需在国内经济金融相对薄弱的领域加强监管,一方面需要管理好股票市场与房地产市场,以防出现泡沫化;另一方面需要控制各部门杠杆率,以防某领域的局部风险爆发而导致系统性风险。
目前来看,中国房地产市场整体得到较好的管控,在限购限贷等严格措施下,整体房价上涨的势头也得到了遏制。但2017年以来,三四线城市去库存与棚户区改造不仅带来了当地房地产价格的上涨,还提升了居民杠杆率。考虑到三四线人口净流出及居民偿债能力有限的背景,我们认为三四线房地产市场累积的潜在风险在加大。另外,近年来PPP模式的广泛推进拉升了地方政府的杠杆率,不仅增加了金融潜在风险,还降低了未来抵御风险事件的投资能力。
经过2015年下半年的快速下跌后,2016年以来股指维持缓慢震荡上行的走势,目前市场估值并不高,上证综指及创业板指的估值甚至处于历史低位。金融监管加强后国债利率已显著攀升,近期中美利差虽有所收窄,美联储还将继续加息,但目前中美利差仍有进一步收窄的空间。
2017年以来,随着美元指数接连走低,美元兑人民币也显著下行。人民币相对美元升值幅度已近8.7%,考虑到人民币升值不仅会对出口贸易产生抑制作用,且还可能造成国内资产泡沫化,人民币若继续长期维持升值走势,中国金融领域的潜在风险将加大。
当前,金融监管正持续推进,系统性金融风险已成为“三大攻坚战”之一的防范化解重大风险的重要组成部分,可以说中国抵御美国多维立体贸易战的能力有所提升。我们认为若中美贸易战爆发,除了进行贸易反制外,中国还将在综合防范各类经济金融风险的基础上着重防范房地产泡沫、地方债隐性债务、人民币汇率大幅波动等三大潜在风险。


四、中美贸易战若显著升级,短期中国或受一定影响
由于贸易战通常由逆差国占据先手,顺差国则处于较被动的防御反制地位。所以在贸易战开打后,顺差国短期往往会受到相对更大的损失。中美贸易战若显著升级,中国的净出口及部分制造业或将受到较大冲击,这可能会对中国经济产生一定的短期影响,相关板块的震荡也可能加剧金融市场的波动。
1、两国开打贸易战后,顺差国往往在短期受损更大
我们构建一个简单的贸易战下二元短期博弈模型(如图表21),来对贸易战双方的短期博弈行为及收益进行分析。
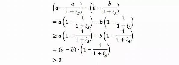
字母含义及前提假设如下:贸易正常状态下,a为顺差国A的总体收益,b为贸易逆差国的总体收益。c为贸易逆差国进行制裁而对方不进行制裁的额外收益,d为贸易顺差国进行制裁而对方不进行制裁的额外收益。e为某方接受对方制裁而无反制行动的某种非经济损失(主要是指因此遭受国内抗议与国际轻视),可以假设顺差国A与逆差国B的e是相当的。显然有,a>b>0,c>0,d>0,e>0,
为贸易逆差国A的制裁力度,
为贸易逆差国B的制裁力度。
经过分析,该博弈模型存在两个纳什均衡。当某一方选择制裁后,另一方也将选择制裁。通过比较两个纳什均衡的双方收益变化,可以发现两者进行贸易战损失的相对大小与的大小a,b,
的大小有关。考虑到一般贸易战多由逆差国发起,且顺差国多采取跟随战略,其制裁空间及力度通常不及逆差国或与逆差国相当,故我们可假设
,在该前提下,我们可以得出顺差国受损将显著大于逆差国的结论。具体分析如下:

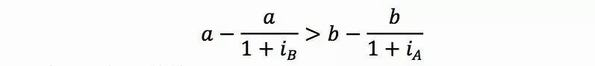
于是有

即可得顺差国A受损将显著大于逆差国B。
直观来看,我们采用图示的方式做一个简单说明:



经图表分析及赋值后,可见双方贸易战下顺差过损失短期将显著大于逆差国损失。

2、净出口短期或受明显压制,板块震荡恐加剧市场波动
具体到中美贸易上来看,美国一旦对中国加大贸易制裁力度,考虑到净出口是2017年中国经济复苏的主要驱动力之一,且2017年三季度以来净出口的经济贡献率一直在回升,目前已达8年来高位,中国的净出口或将受到显著影响。
结合中国在电气设备、机械、钢铁、有色金属加工、塑料橡胶、化工、家电、纺织服装、家具、鞋类、皮革制品、非金属矿制品等领域的对美出口额占各领域出口总额比重大多为20%左右,且规模较大,我们认为若美国对中国的贸易制裁显著升级,中国的净出口短期将受到一定的影响。这也将给中国经济带来短期扰动。但鉴于中国拥有大规模的内需市场及众多贸易伙伴,加上消费与服务业对经济的贡献率在中长期将大概率上行,贸易战在中长期料将难以通过压制净出口来对中国经济产生显著影响。
另外,中美贸易战一旦升级,由于中国可采取的贸易反制手段多分布于农产品及油气、矿产、林木等原材料领域,且中国在大豆等农产品领域进口比例较高且主要依赖美国的进口,所以这些反制手段或造成上述领域产品价格的显著上涨,考虑到农产品价格对通胀的影响,贸易战升级或将显著抬升中国的通胀水平。



中美贸易战升级还会对中国金融市场带来波动。通过比较受贸易战影响较大的A股板块(申万二级)市值占比可以发现化工(含塑料橡胶)、机械、有色金属与非金属矿制品、电气设备、家电、钢铁及纺织服装(含鞋类与皮革制品)等板块市值占比均超过1%,家具板块市值占比为0.5%,各行业总市值占比为21.1%。
若以市值来衡量板块对整个市场的影响系数,则美国在化工(含塑料橡胶)、机械、有色金属与非金属矿制品、电气设备、家电、钢铁及纺织服装(含鞋类与皮革制品)等领域开打贸易战除了会给相关板块带来利空外,还会对中国的整个股票市场产生显著影响。
赫桥智库,让财富更有深度!