合理利用凸性曲线进行有效的期权套利
期货日报
期权具有单调性,而在期权理论价与行权价的关系图中,我们可以很直观地发现,将任意两个期权价用直线连接,价格曲线总是在这条直线之下,曲线向下凸出,这就是期权价格的凸性。无论是认购期权还是认沽期权,价格曲线都有此特性。
认购期权的凸性
3个行权价间距相等的认购期权,两端价格的平均值大于中间价格
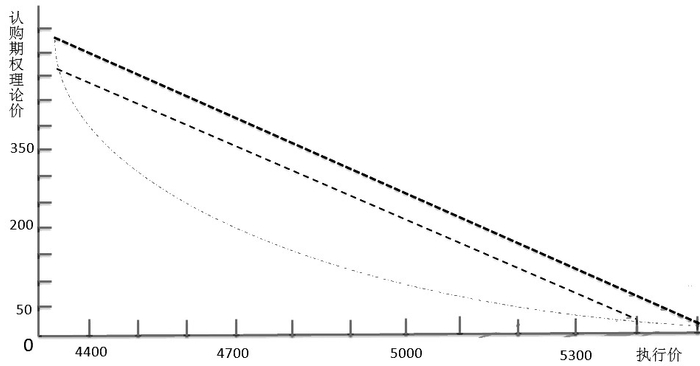
这里用白糖期权进行分析,行权价为4400元/吨的认购期权,价格为536.4264元/吨;行权价为4500元/吨的认购期权,价格为445.1552元/吨;而行权价为4600元/吨的认购期权,价格为359.9138元/吨。行权价为4400元/吨、4600元/吨的认购期权价格的平均值等于448.1701元/吨,大于445.1552元/吨。选取任意3个间距相等的认购期权,同样满足两端的价格均值大于中间价格的规律。当然,这很容易理解,因为其就是凸性曲线的一般性质。
用不等式表示该性质,为(Ci+Ci+2n)/2>Ci+n,其中n为自然数。将此公式变形,可以得到Ci-2Ci+n+Ci+2n>0。进一步展开,可以得到不等式:C1-C2>C2-C3>C3-C4>……>Cn-1-Cn。
通过上面的不等式,又可以得到认购期权的一条性质,就是:随着行权价的递增,相邻两个认购期权的价差递减。对于这个性质,从目前上市的豆粕、白糖、铜期权和50ETF期权的T型报价表上都能很直观地看出来。还拿白糖期权举例,行权价为4400元/吨、4500元/吨的认购期权的价差为91.2712元/吨;行权价为4500元/吨、4600元/吨的认购期权的价差为85.2414元/吨;行权价为5400元/吨、5500元/吨的认购期权的价差为7.8724元/吨,表明行权价越高的相邻认购期权,其价差越小。

表为SR1905不同执行价对应的认购期权理论价

图为认购期权理论价与行权价关系
3个行权价间距不等的认购期权,两端价格的加权平均值大于中间价格
行权价间距相等时,两端价格均值大于中间价格,那行权价间距不等时,是否仍体现上述性质呢?我们用两端的加权平均价来分析验证。
还是白糖期权,取行权价为4400元/吨、4500元/吨和4700元/吨的3个认购期权,后两者的间距为200元/吨,两端间距为300元/吨,两者比值λ为2/3,两端的加权平均价为451.8106元/吨,大于445.1552元/吨。对于普适性,可以将这一性质表达为:当i<j<k时,λCi+(1-λ)Ck>Cj,(λ=(Xk-Xj)/Xk-Xi)。
对于第一种间距相等的情况,其实就是当λ=1/2时,上述不等式可以表示为(Ci+Ck)/2>Cj。从这里可以看出来,间距相等是一种特例,上面的认购期权不等式具有普适性。
4个行权价间距相等的认购期权,两端价格之和大于中间两个价格之和
还是以白糖期权为例,选取行权价为4400元/吨、4500元/吨、4600元/吨和4700元/吨的4个认购期权,行权价为4400元/吨、4700元/吨的认购期权,价格之和为819.0055元/吨;行权价为4500元/吨、4600元/吨的认购期权,价格之和为805.0690元/吨。两端价格之和大于中间价格之和。可以将这一性质表示为:当i<j<k<m时,Ci+Cm>Cj+Ck。
认购期权的凸性套利
在认购期权的凸性分析中,我们得到了3个不等式关系。当认购期权价格不满足不等式时,就意味着市场出现了无风险套利机会。下面针对3种不满足逐一分析。为了方便直观了解,仍以白糖期权为例。
3个等距认购期权间的套利
当3个等距认购期权不满足(Ci+Ci+2n)/2>Ci+n时,存在无风险套利机会。仍然选取行权价为4400元/吨、4500元/吨和4600元/吨的3个白糖认购期权。正常情况下,两端的均价448.1701元/吨大于行权价为4500元/吨的价格445.1552元/吨。这里假设行权价为4500元/吨的认购期权盘中波动率突然大增,使其溢价到500.1898元/吨,而行权价为4400元/吨、4600元/吨的波动率正常,此时就存在无风险套利机会。我们需要进行的操作就是买进低行权价4400元/吨的认购和买进高行权价4600元/吨的认购,同时卖出双倍的中间行权价4500元/吨的认购。这其实是一个蝶式套利,通过买1个低行权价认购和买1个高行权价认购,同时卖两个中间行权价,获得净权利金18.7980元/吨。
再来对期权到期时可能的情况进行分析。其一,SR1905期权到期时,SR1905期货价格S≤4400元/吨,认购期权全部作废,最终的利润就是期初获得的净权利金18.7980元/吨;其二,SR1905期权到期时,SR1905期货价格S>4600元/吨,3个认购期权全部行权,最终的损益为(S-4600)+(S-4400)-2×(S-4500)+18.7980=18.7980(元/吨);其三,SR1905期权到期时,4400元/吨<SR1905期货价格S≤4500元/吨,此时的损益为S-4400+18.7980;其四,SR1905期权到期时,4500元/吨<SR1905期货价格S≤4600元/吨,此时执行价为4400元/吨和4500元/吨的认购都行权,损益为S-4400-2(S-4500)+18.7980=4600-S+18.7980。通过4种情况的分析可以看出,只要不满足上述不等式,建构蝶式价差就可以获得无风险收益,而且最小收益是净权利金,最大收益是净权利金加上行权价间距。

图为3个等距认购期权的蝶式无风险套利损益
3个不等距认购期权间的套利
选取行权价为4400元/吨、4500元/吨和4700元/吨的3个白糖认购期权,这里的λ为2/3,两端期权的加权平均价为451.8106元/吨,而行权价为4500元/吨的认购期权盘中波动率突然大增,使其溢价达到500.1898元/吨,此时两端期权的加权平均价就小于中间期权价,也就存在无风险套利机会。此时,可以构建修正蝶式策略进行无风险套利,即买入两个低执行价认购、买进1个高执行价认购,同时卖出3个中间执行价认购,获得净权利金收入500.1898×3-536.4264×2-282.5791×1=145.1375(元/吨)。

图为3个不等距认购期权的修正蝶式无风险套利损益
通过上述分析可以发现,当i<j<k时,如果出现λCi+(1-λ)Ck<Cj的情况,那么到期时不需要管标的价格如何变动,只要构建买低买高卖中的修正蝶式差价策略就能够获得无风险收益。在正常的蝶式策略中,由于期权定价合理,需要支付净权利金,而出现λCi+(1-λ)Ck<Cj时,净权利金大于零,当初净权利金损失的最大风险就不存在了,当初的最大风险已经变成最小盈利了。从损益图也可以看出,修正蝶式套利的整条盈亏线都在零轴之上。
4个等距认购期权间的套利
根据上文的分析,正常情况下,两端认购期权的价格之和大于中间两认购期权的价格之和。如果违背这一性质,那么同样会出现无风险套利机会。仍拿白糖期权为例,选取行权价为4400元/吨、4500元/吨、4600元/吨和4700元/吨的4个认购期权,行权价为4400元/吨、4700元/吨的认购期权的价格之和为819.0055元/吨,还是借用上文的假设,行权价为4500元/吨的认购期权盘中波动率突然大增,使其溢价到500.1898元/吨,此时两个中间执行价的认购期权的价格之和就等于860.1036元/吨,大于两端价格之和819.0055元/吨。此时,可以利用铁鹰式策略进行无风险套利,即买进低行权价4400元/吨的认购、买进高行权价4700元/吨的认购,同时卖出中行权价4500元/吨的认购、卖出中高行权价4600元/吨的认购。这波操作,可以获得净权利金收入860.1036-819.0055=41.0981(元/吨)。
在正常的鹰式策略中,还是存在亏损风险的,最大风险为净权利金损失。而此时,由于中间执行价的认购期权溢价,使得当初净权利金损失的最大风险不存在了,当初的最大风险同样变成了最小盈利。对于此例,最小的无风险收益为净权利金收入41.0981元/吨,而最大的收益为行权价间距加上净权利金,为141.0981元/吨。从损益图也可以看出,鹰式套利的整条盈亏线都在零轴之上。
所以,当i<j<k<m时,如果出现Ci+Cm<Cj+Ck,那么通过各种情况分析,同样不需要在意标的价格如何变动,只要构建铁鹰式贷方策略就能够获得无风险收益。

图为4个等距认购期权的鹰式无风险套利损益
认沽期权的凸性
3个行权价间距相等的认沽期权,两端的价格平均值大于中间价格
还是用白糖期权进行分析,行权价为4400元/吨的认沽期权,价格为7.2146元/吨;行权价为4500元/吨的认沽期权,价格为15.4167元/吨;行权价为4600元/吨的认沽期权,价格为29.2132元/吨。行权价为4400元/吨、4600元/吨的认沽期权,价格的平均值为18.2139元/吨,大于中间行权价位4500元/吨认沽期权的15.4167元/吨。选取任意3个间距相等的认沽期权,同样具有两端的价格均值大于中间价格的性质。
用不等式表示,该性质为(Pi+P(i+2n))/2>P(i+n),其中i、n为自然数。将公式变形,可以得到Pi-2 P(i+n)+ P(i+2n)>0。进一步展开,可以得到不等式:行权价间距>Pn-P(n-1)>……>P4-P3>P3-P2>P2-P1。
通过上面这个不等式关系,又可以得到认沽期权的一条性质,就是:随着行权价的递增,相邻两认沽期权的价差递增。还拿白糖期权举例,行权价为4400元/吨、4500元/吨的认沽期权,价差为8.2021元/吨;行权价为4500元/吨、4600元/吨的认沽期权,价差为13.7965元/吨;行权价为5400元/吨、5500元/吨的认沽期权,价差为93.3133元/吨。行权价越高的相邻认沽期权,其价差越大,但都不超过行权价间距100元/吨。

表为SR1905不同执行价对应的认沽期权理论价
3个行权价间距不等的认沽期权,两端价格的加权平均值大于中间价格
跟分析认购期权相似,行权价间距不相等时,认沽期权两端的加权平均价仍然处于中间认沽期权的价格之上。取行权价为4400元/吨、4500元/吨和4700元/吨的3个认沽期权,间距不等,后两者的间距为200元/吨,两端间距为300元/吨,二者比值λ为2/3,两端期权的加权平均价为21.8878元/吨,大于15.4167元/吨。可以将这一性质表达为:当i<j<k时,λ Pi+(1-λ)Pk>Pj,λ=(Xk-Xj)/Xk-Xi。
4个等行权价认沽期权,两端的价格之和大于中间两个价格之和
选取白糖期权行权价为4400元/吨、4500元/吨、4600元/吨和4700元/吨的4个认沽期权,行权价为4400元/吨、4700元/吨的认沽期权,价格之和为58.4489元/吨,中间行权价4500元/吨、4600元/吨的认沽期权,价格之和为44.6299元/吨,两端价格之和大于中间价格之和。同样,可以将这一性质表示为:当i<j<k<m时,Pi+Pm>Pj+Pk。
认沽期权的凸性套利
在认沽期权的凸性分析中,我们同样得到3个不等式关系。当认沽期权价格不满足这些不等式关系时,就意味市场中出现了无风险套利机会。
3等距认沽期权间的套利
当3个等距认沽期权不满足(Pi+P(i+2n))/2>P(i+n)时,就存在无风险套利机会。仍然选取行权价为4400元/吨、4500元/吨和4600元/吨的3个白糖认沽期权,正常情况下,两端的均价为18.2139元/吨,大于行权价为4500元/吨的价格15.4167元/吨。这里假设行权价为4500元/吨的认沽期权盘中波动率突然大增,使其溢价到25.1898元/吨,而行权价为4400元/吨、4600元/吨的认沽期权波动率正常,此时就存在无风险套利机会。我们需要做的操作就是,买进低行权价4400元/吨的认沽和买进高行权价4600元/吨的认沽,同时卖出双倍的中间行权价4500元/吨的认沽。这其实就是一个蝶式套利,通过买1个低行权价认沽、买1个高行权价认沽,同时卖两个中间行权价认沽,获得净权利金13.9518元/吨。
再来对期权到期时可能的情况进行分析:其一,SR1905期权到期时,SR1905期货价格S>4600元/吨,3个认沽期权全部作废,最终收益就是期初获得的净权利金13.9518元/吨;其二,SR1905期权到期时,SR1905期货价格S≤4400元/吨,3个认沽期权全部行权,最终的损益=(4600-S)+(4400-S)-2×(4500-S)+13.9518=13.9518(元/吨);其三,SR1905期权到期时,4400元/吨≤SR1905期货价格S<4500元/吨,此时执行价为4500元/吨和4600元/吨的认沽都行权,损益=4600-S-2(4500-S)+13.9518=S-4400+13.9518;其四,SR1905期权到期时,4500元/吨≤SR1905期货价格S<4600元/吨,只有执行价为4600元/吨的认沽期权实值,此时的损益=4600-S+13.9518。通过所有4种情况的分析可以看出,只要不满足上面不等式,通过建构蝶式价差就可以获得无风险收益,而且最小无风险收益是净权利金收入13.9518元/吨,最大无风险收入为净权利金加上行权价间距113.9518元/吨。
3个不等距认沽期权间的套利
选取行权价为4400元/吨、4500元/吨和4700元/吨的3个白糖认沽期权,这里的λ为2/3,两端期权的加权平均价为21.8878元/吨,而行权价为4500元/吨的认沽期权盘中波动率突然大增,使其溢价到25.1898元/吨,两端期权的加权均价小于中间期权价,也即存在无风险套利机会。这个时候,可以构建修正蝶式策略进行无风险套利,即买入两个低执行价认沽、买进1个高执行价认沽,同时卖出3个中间执行价认沽,获得净权利金收入25.1898×3-7.2146×2-51.2343×1=9.9059(元/吨)。
通过上述分析可以发现,当i<j<k时,如果出现λPi+(1-λ)Pk<Pj的情况,那么到期时不需要管标的价格如何变动,只要构建买低买高卖中的修正蝶式差价策略就能够获得无风险收益。
4个等距认沽期权间的套利
根据上文的分析,正常情况下,两端的认沽期权价格之和大于中间两认沽期权的价格之和。如果违背这一性质,那么就出现无风险套利机会。还是拿白糖期权为例,选取行权价为4400元/吨、4500元/吨、4600元/吨和4700元/吨的4个认沽期权,行权价为4400元/吨、4700元/吨的认沽期权,价格之和为58.4489元/吨,依然借用上文的假设,行权价为4500元/吨的认沽期权盘中波动率突然大增,使其溢价到25.1898元/吨,行权价为4600元/吨的认沽期权溢价到40.2365元/吨,此时两个中间执行价的认沽期权价格之和为65.4263元/吨,而两端的价格之和为58.4489元/吨。这个时候,可以利用铁鹰式策略进行无风险套利,即买进低行权价4400元/吨的认沽、买进高行权价4700元/吨的认沽,同时卖出中行权价4500元/吨的认沽、卖出中高行权价4600元/吨的认沽,获得净权利金收入=65.4263-58.4489=6.9774(元/吨)。对于此例,最小的无风险收益为净权利金收入6.9774元/吨,最大的收益为行权价间距加上净权利金106.9774元/吨。
所以,当i<j<k<m时,如果出现Pi+Pm<Pj+Pk,那么通过上文的各种情况分析,同样不需要在意标的价格如何变动,只要构建铁鹰式贷方策略就能够获得无风险收益。
另外,需要提醒的是,这里只是基于到期的静态分析,在实际的期权交易中,不合理价差一旦被套利者发现,并开始交易,差价就会恢复正常。比如,豆粕看涨期权的隐含波动率有时会突然大增,造成不符合上述不等式的情况出现,但随后就会回归正常。一旦开始回归,平仓获利即可,而不需要将期权持有到期。
(作者单位:国贸期货)