股指期货最优套期保值比率研究
期货日报
利用向量自回归模型估计出的最优套期保值比率进行套期保值效果最好

引言
股指期货作为一种重要的投资工具,为金融市场的参与者提供了一个管理风险的新选择,特别是当投资者持有大量现货头寸时,股指期货的套期保值功能显得尤为重要。不过,利用股指期货做套期保值如何才能有效规避现货风险呢?本文就股指期货的最优套期保值比率为研究重点,分别运用普通最小二乘法回归模型(OLS模型)、向量自回归模型(VAR模型),对股指期货套期保值的有效性进行评价。
最优套期保值比率模型介绍
股指期货交易和股票现货交易具有相辅相成、相互促进的关系,投资者可以利用卖出期货合约来控制与规避持有股票现货的风险,利用期指与现指同步的原理,以期货上的损益来抵消现货上的损益,进而锁定风险,保障利润。
最优套期保值比率,是投资者为了对现货市场的风险敞口进行套期保值而使用的金融工具的数量,套期保值模型的关键则在于,如何估计出最优套期保值比率。
最小二乘回归模型(OLS模型)
期货与现货价格是相关的,OLS模型通过构建期货和现货价格之间的线性关系,然后使用OLS模型估计出参数,这也是最传统、最常见的最优套期保值比率的计算方法。需要注意的是,期货和现货价格不能完美地同幅度变化,而且价格序列也不平稳。不过,这个问题可以用以下方法来解决,即通过差分的方法将其转化成平稳序列,回归方程的构建如下:
ΔSt=α+βΔFt+εt
上式中,ΔSt是现货价格的一阶差分,ΔFt是期货价格的一阶差分,α为截距项,εt是随机误差项,β是斜率,即最优套期保值比率。在实际操作中,使用对数收益率(ΔlnSt、ΔlnFt)来替代公式中的一阶差分序列,从而消除异方差,并减少差分计算的过程带来的信息损失。
相对于其他方法,OLS模型的操作比较简单,但是也有一定的缺陷:首先,OLS模型下的线性关系比不是特别稳定,在发生重大事件时,序列的相关性也会随之发生比较大的改变;其次,OLS模型估计的参数都是在假设前提下进行的,这个前提就是随机变量服从正态分布,但是金融时间序列一般都具有尖峰厚尾的特征,这是不满足正态分布假设的;最后,OLS模型要求回归残差项之间是相互独立且不相关的关系,如果残差项序列自相关的话,就会出现虚假回归问题。
向量自回归模型(VAR模型)
由残差项序列相关带来的影响,可以由VAR模型解决,并且扩充了模型所包含的信息量,这是一个有两个变量的模型,每个变量的前期值都会影响到它们的当前值,回归方程如下:

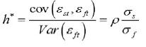
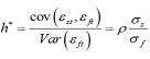
上式中,αs、αf是截距项,βsi、λsi、βfi、λfi是回归系数,ΔlnSt-i是在t-i时现货价格的对数收益率,ΔlnFt-i是在t-i时期货价格的对数收益率,εst、εft是独立分布的随机误差项,k是滞后期。我们可以通过VAR模型寻找最佳滞后期,当寻找到最佳滞后期之后,就可以消除残差的自相关,得到最优套期保值比率,公式如下:

合并方程,可以得到以下方程:

上式中,θ是ΔlnFt的回归系数,也就是我们常说的最优套期保值比率。
套期保值有效性的评价方法
综上来看,我们使用不同的计算模型会得到不同的最优套期保值比率,这会使投资者按不同模型进行套期保值获得的效果也不相同。接下来,本文介绍两种套期保值有效性的评价方法,为后续的实证分析作铺垫。
可决系数法
在回归方程中,可决系数R2用来表示回归方程和观测值之间的拟合优度。那么,本文在最优套期保值比率计算模型中,用可决系数来衡量套期保值的有效性。
收益方差法
在风险最小化的条件下,本文得到套期保值后,资产减少的风险和没有进行套期保值时的资产风险暴露比率,也可以成为评价套期保值效果的指标。这个方法在实际操作中应用很广泛,在我国将风险抵消效果控制在80%—100%的套期保值操作,一般被认为是高度有效的。下文中,将采取这个办法来评价不同计算模型套期保值的有效性。
最优套期保值比率实证分析
在实证分析中,本文以风险最小化为假设前提,想要研究最优套期保值比率,就是研究在最小方差模型下,得到的最优套期保值比率。本文以沪深300指数和沪深300股指期货为样本,选取2010年7月1日至2016年9月30日的日交易数据。其中,沪深300指数用St表示,沪深300股指期货用Ft表示。为减少异方差性,我们首先对St、Ft采用对数平滑法来处理数据,记作lnSt、lnFt,然后将处理之后的数据导入到Eviews软件中,得到了下图所示的价格走势:

我们发现,在整体趋势上,沪深300期现货价格走势基本一致。虽然可以初步判定两者之间有一定关联,但是还需要做进一步的定量描述。
在实证分析中,我们用对数差分收益率来衡量价格波动,用日收益率的方差(或标准差)来衡量所面临的市场风险大小,将期货和现货价格对数的一阶差分收益率用ΔlnSt=lnSt-lnSt-1、ΔlnFt=lnFt-lnFt-1来表示,并得到沪深300指数和沪深300股指期货的日收益率波动图。

图为日收益率波动
我们由图可以看出,当期的日收益率波动水平和前期存在正相关性。也可以说,沪深300指数和沪深300股指期货的日收益率存在波动集聚效应,这一效应和金融时间序列的波动特征也是一致的。

表为DLSP、DLFP描述性统计量
根据上表结果整理数据得到下表:

表为沪深300期现货日收益率的描述性统计量
我们通过上表进一步分析沪深300指数和沪深300股指期货日收益率的统计特征。首先,现货日收益率比期货日收益率的标准差更小,表明期货日收益率略大。也就是说,期货和现货的价格变动并不是完全同步的,两者之间存在基差风险。其次,现货日收益率和期货日收益率的偏度为负数,峰度分别为7.367544和9.411402,二者日收益率的偏度低于标准正态分布水平(S=0),峰度高于标准正态分布水平(K=3),这显示出数据一个是左偏,一个是尖峰厚尾。因此,可以判定,现货价格序列和期货价格序列都不服从标准正态分布。
一般而言,在使用金融时间序列来建立模型时,会对时间序列做平稳性检验,如果时间序列是非平稳性,会出现虚假回归的状况。在此,我们先对时间序列做一个平稳性检验。
平稳性检验
由以上结果整理得到下表:

表为单位根检验结果
可以看出,沪深300指数对数价格序列和沪深300股指期货对数价格序列是非平稳的,而现货日收益率序列和期货日收益率序列是平稳的。
协整检验
由于沪深300指数和沪深300股指期货的对数价格序列均为一阶单整序列,正好满足协整检验的前提。同时,我们还要考虑二者之间是否存在长期稳定关系,于是接下来使用E—G两步法,对现货和期货对数价格序列进行协整检验。
第一步,建立现货和期货对数价格间的线性回归方程:lnSt=α+βlnFt+εt。
第二步,对残差序列再一次地进行平稳性检验,如果残差序列不存在单位根,则期货和现货对数价格之间存在协整关系。也就是说,期货和现货价格之间存在一个协整向量,来保持二者之间的长期稳定关系,结果如下图所示:

表为残差序列的平稳性检验结果
由表可知,残差序列的ADF统计量比各水平下的临界值都要小,故拒绝原假设,即残差序列式是不存在单位根的,残差序列是平稳的,换言之,沪深300指数和沪深300股指期货长期稳定。
最优套期保值比率估计——OLS模型
将沪深300指数和沪深300股指期货的日收益率序列带入到模型中,使用OLS法对模型进行回归分析,结果如下:

公式中,ΔlnSt的系数就是套期保值比率。因此,在经过了上面的模型计算和估计之后,沪深300指数和沪深300股指期货得到的最优套期保值比率是0.818338。不过,如果OLS模型的估计结果中的残差项之间存在序列自相关的话,就会导致得到的参数估计量有偏。
要检验残差项的序列自相关,在此将采用LM法检验序列自相关,结果如下:

表为LM检验结果
由表可知,F统计量的P值比0.005小,残差序列存在序列自相关问题。为了消除自相关问题,在方程中加入期货和现货的滞后信息,以此来建立VAR模型。
最优套期保值比率估计——VAR模型
VAR模型较OLS模型而言,最大的改变就在于VAR模型考虑了变量的历史信息。也就是说,一个变量在t-i时刻的值会受到两方面的影响:一方面是受该变量在t-i时刻的值的影响;另一方面是受相关变量在t-i时刻的值的影响。
至于残差自相关的问题,这是OLS模型不能解决的,而VAR模型解决这个问题则很简单,只要选取最优滞后阶数(p、q)就可以了。在做模型估计之前,首先需要确定变量的最优滞后阶数,Eviews软件的输出结果如下:

表为滞后阶数的结果
根据滞后阶数的结果确定最优之后阶数为p=q=3。接下来建立VAR模型,模型结果如下表所示:

表为VAR模型的回归结果
回归残差的协方差矩阵如下表所示:

表为残差协方差矩阵结果
将残差协方差矩阵结果带入到
中,可以得到最优套期保值比率:

表为套期保值有效性的比较
通过以上两种不同模型的回归分析,得到的最优套期保值比率是不同的,之间也没有什么规律可循,但是经过收益方差法对有效性进行了评价之后,可以从上表中看出,通过VAR模型估计出的最优套期保值比率的有效性是最强的。
同时可知,套期保值并不能帮助投资者完全规避系统性风险,但是上表中的数据明显显示出,经过套期保值之后的收益率方差要比套期保值之前的收益率方差要小。这个结论告诉我们,投资者可以通过配置一定比例的股指期货进行套期保值操作,避免遭受系统性风险。
结论
第一,从序列的统计结果来看,沪深300指数和沪深300股指期货的价格走势基本一致,对于选取的期货和现货价格对数的一阶差分收益率序列而言,该日收益率的分布状态呈现左偏、尖峰厚尾趋势,这是不符合标准正态分布的。从序列的平稳性检验结果来看,期货和现货的对数价格非平稳,而期货和现货的日收益率具有平稳性。从序列的协整检验的结果来看,期货和现货价格是平稳序列。根据这些结果,可以判断,沪深300指数和沪深300股指期货有长期稳定关系。
第二,用不同模型估计出的最优套期保值比率的有效性是有区别的,在经过收益方差法对有效性进行了评价之后,我们发现,通过VAR模型估计出的最优套期保值比率的有效性是最强的。
(作者单位:武昌首义学院)
版权声明:本网所有内容,凡来源:“期货日报”的所有文字、图片和音视频资料,版权均属期货日报所有,任何媒体、网站或个人未经本网协议授权不得转载、链接、转贴或以其他方式复制发布/发表。已经本网协议授权的媒体、网站,在下载使用时必须注明"稿件来源:期货日报",违者本网将依法追究责任。
责任编辑:许孝如 SF185