新浪财经 期货

CTA、趋势跟踪策略市场容量究竟有多大?

新浪综合

关注

来源:对冲研投

核心观点

1.    不同频率的趋势跟踪策略之间具有较低的交叉相关性;

2.    实证结果表明,海外绝大多数CTA基金均主要遵循趋势跟踪策略;

3.    不论是通过实证检验还是模拟分析方法,均没有关于趋势跟踪策略存在市场容量约束的显著性证据;

4.    各市场之间相关性的增强可能会影响趋势跟踪策略的表现。

在本文中,我们研究了金融市场中时间序列动量策略(趋势跟踪策略)与管理期货基金(CTA)之间的关系。利用1974年-2012年期间71种期货合约的时间序列与截面数据,我们首先构造了不同频率下的时间序列动量组合,随后研究了CTA中大量应用时间序列动量策略的证据,并基于此讨论了趋势跟踪策略的市场容量约束问题。

1. 引言

CTA是极少数在2008年金融危机中能够获取正收益的对冲基金之一;正因为其在金融危机中的突出表现,CTA在此后获得了更多的关注和投资,行业的整体规模随之迅速增加:在2011年底整个对冲基金AUM达到20000亿美元时,CTA的AUM已经超过了3000亿美元,已经占到主动管理基金总份额的10%-15%。

但是,在2008年超过两位数的正收益之后,CTA策略在接下来一段时间的表现略微有些令人失望。当时的一篇金融时报文章指出:“市场容量的约束限制了这些基金在过去一段时间的表现,…,对于趋势跟踪投资者来说,所掌握的资金越多,进行多样化的分散投资就越困难;与股票和债券那样具有充分深度和流动性的市场不同,一些商品期货在这方面的表现并不尽如人意。”因此,本文的一个目的就是研究趋势跟踪策略是否存在市场容量约束。

在此之前,本文还进行了另外两方面的工作:首先,我们深入研究了时间序列动量策略和CTA基金表现之间的关系;其次,通过分析代表性基准动量策略与CTA基金指数之间的相关性,我们提供了CTA基金中采用趋势跟踪策略的充分证据。

而在前两方面工作的基础上,本文通过基础的回归分析和基于CTA采用趋势跟踪策略这一假说的模拟分析研究了趋势跟踪策略的市场容量约束问题。

本文剩余部分结构如下:第二部分介绍了文中所用到的相关数据;第三部分讨论了时间序列动量策略的构建方法;第四部分检验了时间序列动量策略的相关性质;第五部分分析了时间序列动量策略和CTA基金之间的关系;第六部分则给出了两种用于检验策略市场容量约束的方法,并对趋势跟踪策略的市场容量约束进行了相应研究;第七部分总结全文。

2. 数据

在这部分,我们简要描述了这篇文章中用到的各类数据,分别是期货价格数据、期货持仓量数据以及对冲基金数据。

2.1 期货合约

文中所用到的期货数据集包括71类资产的日开盘价、收盘价以及最高价、最低价,这些标的包括:26种大宗商品、23种股指期货、7类货币和15类中长期利率,时间范围从1974年12月起至2012年1月。

首先,我们利用近似差值法将同一品种的不同期货合约拼接成连续时间序列(处理细节可以参考Baltas和Kosowski,2012),在每个时点上,我们选取的都是当时流动性最强的标的(基于日交易量进行判断),这点与Moskowitz等(2012)的处理方法一致。

在此基础上得到价格数据序列后,我们以收盘价为准构造日收益率序列,随后还构造了周数据序列与月数据序列。

表1给出了文中用到数据的各类详细信息。

和此前其他研究类似地,我们发现,不同资产在截面收益分布上有很大不同:71类期货合约中,有63种合约的月度收益均有正的非条件期望,其中股指期货和国债期货尤其突出;而外汇期货和商品期货的表现则要差强人意得多,大部分期望收益虽然为正,但均是不显著的;此外大部分资产的收益分布具有肥尾特性,其中股指期货大都体现出负偏的性质。

更重要的是,不同资产类别之间截面波动的差异是巨大的:商品和股指期货的截面波动最大,随后是外汇期货,国债期货的波动则非常小;这种波动层面上的差异在构造包含所有资产类别的组合是是需要考虑的重要因素——我们需要考虑风险调整因素,以避免组合的整体风险被个别资产所主导。

最后,几乎一半的资产在持续持有的策略下夏普比率为负。

表1 各标的资产(期货合约)相关统计数据

2.2 CTA数据集

我们还收集了巴克莱对冲基金数据库中所有CTA基金的月度收益和AUM数据。

在删除重复数据后,巴克莱对冲基金数据由2663个单独CTA基金组成,时间跨度为1975年2月至2012年1月,AUM约为3050亿美元。根据各个基金的不同特点,我们从中挑选出1348个基金,组成系统性基金组合——因为这些基金以系统性动量策略为主。样本区间结束时,系统性CTA基金的AUM占到整个行业的87.5%,即2670亿美元。为确保样本空间中至少有10个基金,我们的样本区间从1980年1月开始。

为了有效度量系统化CTA基金的市场表现,本文构造了以AUM为权重的系统化CTA表现指数,在后文中简写为AUMW-CTA。

此外我们还计算了每月末以AUM为权重的系统化CTA资金流:

其中:

Mt是t时刻(月)系统化CTA基金的数量,Rj(t)则是基金j在t时刻(月)的净收益。

3. 方法

在本节我们将讨论如何构造时间序列动量策略。通常,一个单因子时间序列动量策略往往被定义为基于最近一段时间标的资产收益生成的信号,而对一个单独资产进行多空操作的交易策略。记J为估计窗口,K为持有时间(在本文中J和K可以以月/周/日为单位);我们记M(k,j)为月度策略,相应地,W(k,j)和D(k,j)分别表示周策略和日策略。

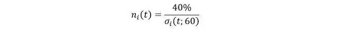
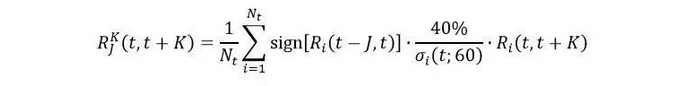
遵循Moskowitz,Ooi和Pedersen(2012)提出的方法,我们可以构造逆波动率加权的时间序列动量策略收益序列:

其中Nt是t时刻可用资产的数量; sigma(t;60)是t时刻为基准过去60个交易日第i个资产的已实现波动率(RealizedVolatility);sin[Ri(t-J,t)]表示第i个资产在估计窗口J中的收益表现——显然,过去的正(负)收益表现会导致多头(空头)头寸,标准化因子40%沿用了Moskowitz,Ooi和Pedersen(2012)的做法,以控制每个单独策略的后验波动率在40%,从而使策略M(1,12)的后验年化波动率为12%,与1985-2009年间几类风险典型因子的波动水平相匹配。

作为对比,在1978年1月至2012年1月的样本区间范围内,月策略、周策略和日策略的后验年化波动率分别为14.88%、12.57%和15.25%(见表2),而MSCI指数、Fama和French(1993)三因子以及Cahart(1997)动量因子的年化波动率分别为:MSCI-15.22%,SMB-10.88%,HML-10.64%,UMD-16.16%。因此我们认为40%是标准化因子的相对合理的取值。

4. 时间序列动量策略

下面的内容将主要围绕时间序列动量策略的构建和市场表现展开:首先,我们通过面板回归检验时间序列收益的可预测性;接下来我们构造了一系列不同估计窗口、持有期间以及频率(日、周、月)的动量策略。

4.1 收益的预测性

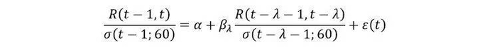
在构建动量策略之前,我们将首先通过不同频率(日、周、月)的滞后收益,并利用时间序列/截面混合回归研究收益的可预测性:

其中Lambda为滞后阶数,控制在1-60(日/周/月)的范围内。

我们对所有范围内的滞后阶数和所有资产类别都进行了上述回归,并以系数Beta的显著性作为评价标准——显然显著的估计系数更能支持时间序列收益可预测性的假说。

在考虑截面相关性和时间序列相关性的基础上,本文利用Cameron,Gelbach和Miller (2011)以及Thompson(2011)提出的方法计算协方差矩阵:

其中V(TIME)和V(ASSET)分别为单独进行时间序列估计和截面估计时的协方差矩阵,而V(WHITE)则是由White(1980)提出的异方差稳健OLS估计的协方差矩阵。

图1  时间序列收益预测性

图1中的A、B、C栏呈现了t(B(lambda))在不同滞后阶数和不同频率下的取值。在A栏显示的月度频率数据下,前12个月的滞后阶数显著为正,也表明1年以内的收益具有很强的动量效应,而超过1年之后,动量效应也就逐渐减弱,甚至出现反转现象。

而在B栏显示的周频率数据下,我们发现收益预测能力在2处取值呈现集聚现象:前8周和36-52周;这一结构恰好与A栏中的年内动量效应相匹配。

C栏中展示的结果同样与前2栏有较高的相关性:滞后9天-15天的较高显著性恰好与周数据的滞后2-3周相匹配;而滞后40天的高显著性则与周数据的8周和月数据的2个月一致。

总的来说,动量效应在三种频率数据下呈现出有趣的交叉共性。

4.2 动量效应的盈利能力

在通常情况下,组合的时间序列动量策略实际上就是单个时间序列动量策略的波动率加权结果。在本文中,我们并没有对参数K的每一个取值构造新的动量组合,而是沿用Jegadeesh和Titman(2001)提出的叠加方法,在每一个周期(日/周/月)结束之后重新平衡组合中的权重。

在下面的表2中,A-C栏分别展示了参数K,J属于(1,3,6,9,12,24,36)的月度策略、K,J属于(1,2,3,4,6,8,12)的周频率策略以及K,J属于(1,3,5,10,15,30,60)的日频率策略的市场表现。由于数据频率不同,在做一些具体处理前我们首先将日频率和周频率数据统一到月频率的标准上。表中的Alpha为下面回归中的截距项估计值:

其中MSCI(t)是MSCI指数,SMB(t)和HML(t)是Fama和French(1993)提出的规模因子和市值因子(数据来源于Kenneth French的个人官网),UMD(t)则是Carhart(1997)提出的动量因子。注意到根据上式结构,时间序列动量策略收益R(k,j)(t)均是由超额收益构造的,因此其回归结果本质上也是超额收益。数据显著性的判断标准来自Newey和West(1987)提出的修正t统计量。

表2的证据表明,在3个不同频率下,时间序列动量策略都能够产生在统计学意义和经济学意义上均显著的正期望收益以及Alpha。另外值得注意的是,在较高的数据频率下(如日频率数据),策略的市场表现会随着权重调整频率的提高而上升。

表2  时间序列动量策略市场表现

4.3 代表性基准策略

在初步研究了时间序列动量效应之后,接下来本文将要研究不同频率下动量效应的区别。限于篇幅,我们将主要根据表2给出的结果,选取几种代表性策略——月度频率下的(12,1)、(9,3)和(1,12)、周频率下的(8,1)、(12,2)和(1,8)和日频率下的(15,1)、(60,1)和(1,15)进行研究。

表3  代表性时间序列动量基准策略

表3的A栏给出了几类基准策略与MSCI指数的基本统计数据。我们发现,趋势跟踪策略的夏普比率均在1.25左右,而MSCI指数仅有0.21;同时,MSCI的最大回撤达到55.37%,至少是时间序列动量策略最大回撤的2倍以上。

为测度交易成本对策略的影响,我们还在表3中给出了每个策略的换手率(计算方式为交易额与资产组合在时间序列上2倍均值比率的年化均值)——交易成本会随着交易频率的提高而上升——周频率策略的换手率通常比月频率策略高3-5倍,而日频率策略的换手率则要比月频率策略高一个数量级左右。此外我们还考虑了资金管理费用,这里采用了典型的2/20费率结构,及2%的管理费与20%的绩效费。

A栏的最后3行显示了扣除成本与费用后动量策略的相关统计指标,可以发现这些策略的表现依然比较出色。

此外B栏给出了9类策略相互之间的无条件相关系数矩阵,结果显示:相同频率策略的表现大多是高度相关的,而不同频率策略之间则没有较强的相关性;这也意味着不同频率的策略捕捉到了不同的数据特征,例如:日频率下(15,1)策略与月频率下(12,1)策略的相关性仅为0.22。显然,在时间序列中存在短期和长期动量特征,而这些特征之间的相关性并不强。

4.4 FTB策略

上文的分析已经表明时间序列中的动量效应在不同的频率下也是不同的;为了进一步确定CTA基金的收益与时间序列动量效应之间是否存在联系,我们挑选了不同数据频率下的一个策略,分别是:月度频率下的M(1,12),周频率下的W(1,8)和日频率下的D(1,15)。在后文中,我们将这3个策略称为FTB(Future-based Trend-followingBenchmarks)策略——选择依据是表3的B栏中最低的相关性。

表4  月/周/日频率下FTB策略的收益分解

表4给出的是3类策略收益序列在3类不同因子集上的回归结果:a. Carhart(1997)模型,其中市场代理变量是MSCI指数,此外还增加了S&P GSCI商品指数和巴克莱债券指数的超额收益率;b. 由Fung和Hsieh(2004)提出的对冲基金收益基准7因子模型(后文中简写为FH7),包括最基础的3类债券、外汇和商品期货常用趋势跟踪因子(Primitive Trend Following,PTF);以及c. 扩展的FH(2004)9因子模型,新增了2类利率和股票市场常用趋势跟踪因子。样本区间从1989年12月至2011年12月。

回归结果表明,所有不同参数和频率下的FTB策略均有非常显著的超额收益,年化值分布在13%-20%之间,这也意味着时间序列动量策略的超额收益很难被传统的资产定价风险因子、对冲基金风险因子甚至趋势跟踪因子所解释。

在回归结果中还有以下一些值得注意的特点:

月频率横截面动量因子(UMD)与月频率策略呈正相关,说明横截面动量与时间序列动量在月度频率下体现出一定程度的相关性。而当频率提高时,这种相关性也就随之减弱。

而对于PTF因子来说,不同的因子集合解释了不同的FTB超额收益,例如:商品PTF对于所有FTB策略来说都是显著的,而债券PTF只对月度频率策略有显著影响。

图2  时间序列动量策略的历史表现

图2中的A栏显示了FTB策略的净值增长曲线,同时还给出了样本区间内MSCI指数的走势作为对比。即使在扣除相关成本后,动量策略的收益还是远远超过了股票市场;而更重要的是,在样本区间内5个明显经济衰退时期,动量策略均获得了正收益。B栏则显示了FTB策略的月度夏普比率。

图3也显示了动量策略经典的“微笑曲线”。

图3  时间序列动量的“微笑”

为了清楚地看出每类资产对组合最终收益的贡献,图4给出了构成FTB策略的单变量(资产)时间序列动量策略的夏普比率,此外还显示了每个单变量策略与FTB策略之间的相关性。我们看到,大多数单变量策略都表现出正收益特性,因此它们都对组合的整体表现均有正贡献。但是这些单变量策略与组合策略之间几乎没有相关性。

图4  单变量时间序列动量策略的夏普比率与相关性

5. 时间序列动量策略和CTAs的关系

之前的大多数研究都已经表明,成熟的CTA策略在期货市场上通常奉行趋势跟踪策略,但是却没有足够的实证数据支持,这一部分内容将对CTA策略的表现进行深入研究,并分析其与时间序列动量策略市场表现之间的关系。

我们已经知道,市场的上涨和下跌趋势都能为时间序列动量策略提供盈利机会,这使得该策略在股票熊市行情中能提供很好的分散和对冲作用。图3已经展示了这一点。

而表5的A栏同样展示了不同的CTA指数——AUM加权系统性CTA指数(AUMW-CTA)和巴克莱CTA指数(BH-CTA)——在市场下行状态甚至金融危机中相似的优异表现。

表5  时间序列动量策略与CTA指数

表5的B栏显示了3类FTB策略和2类CTA指数在NBER界定的经济增长周期和衰退周期中的表现(包括收益、波动以及夏普比率)。在经济衰退周期中,所有5类指数均有显著正收益,甚至有4类指数在经济衰退时的收益表现要好于经济增长周期中。此外B栏还给出了5类指数之间的非条件相关系数,正如我们能够预料到的,AUMW-CTA和BH-CTA之间有着极高的相关性;而FTB策略与CTA指数之间的正相关性也表明CTA基金很可能采用了与FTB类似的策略逻辑。

表6给出了利用各个基准模型对AUMW-CTA指数进行回归后的系数,a列和b列分别为FH7和FH9模型的结果:PTF因子均是显著的,而CTA指数在经过因子分解后仍然保留了置信区间为99%的超额收益。

表6  AUM权重下的系统化CTA指数收益分解

然而,c、d、e列(分别为月、周、日频率的FTB策略对CTA指数的回归结果)中回归的解释能力、超额收益量级以及显著性水平均有不同程度下降。我们注意到,这些回归中的因变量是在扣除交易成本和管理费用之后的回报,而自变量(如FF因子,Fung-Hsieh(FH)因子或FTB策略)不包含这样的成本或费用。这对超额收益符号的影响非常显著。

当CTA策略对所有3类时间序列动量策略进行回归时(f列,FTB),我们发现,年化超额收益仍然为不显著的负值,同时更重要的一点是,3类不同频率的动量因子均在1%的置信水平上显著;这与Hayes(2011)提出的CTA在不同频率下跟随动量效应,而不同频率下动量效应之间又存在很大区别的观点吻合。FTB策略带来的额外解释能力并不令人意外,因为我们都知道CTA策略在期货市场中的有效性。另外我们还看到,Fung-Hsieh(2004)模型利用基于期权的相关因子作为趋势跟踪行为的代理变量,对CTA的时间序列动量效应也有很强的解释能力。

6. 趋势跟踪策略与市场容量约束

近年来,系统化CTA的行业扩张十分明显,图5显示了自1980年起,系统化CTA基金的数量和AUM增长情况;尤其是2004年以来,整个行业的AUM大幅上升。

图5  系统化CTA基金数量、行业AUM与资金净流入

然而,在2009年至2011年期间,伴随CTA行业规模急剧增长的却是并不突出的整体表现。前文表5中的相关数据显示,2009年-2011年是对于动量策略和CTA基金来说相对困难的时段。这一现象引出一个问题:趋势跟踪策略是否存在容量约束?未来动量类策略是否会低于预期(尽管相比股票和债券而言期货市场是流动性更强的市场)?

本文中,我们采用了两种不同的方法分析容量约束。第一种方法是基于策略市场表现的资金流预测回归:我们研究了CTA行业的净资金流入情况与动量策略的市场表现是否存在显著相关关系;第二种方法则是基于一个思想实验——我们模拟了系统化CTA行业的AUM在月频率动量策略下的表现:每个月我们都会将每个资产在动量策略中的持仓量与市场中的未平仓数量进行比较,一个比较直观的发现是,如果资产的需求数量超过了可用的未平仓量,这种差值就可以解释为容量约束。

6.1 CTA资金净流入与趋势跟踪策略表现

为了检验CTA策略的资金净流入是否会影响趋势跟踪策略的表现,我们利用超过30年的数据对这二者进行回归分析,以严格检验这一假设。

此前关于市场表现-资金净流入的研究检验了不同对冲基金类型的容量约束(如Naik,2007),并发现在以常用基金风格指数度量时,过去的净资金流对于未来市场表现有显著的负向影响。但是这些研究存在一个局限,他们对于基金的分类仅仅以这些基金对外宣称的标签为准(例如“趋势交易”、“管理期货”、“CTA”等等),实际上并不能确定这些基金是否真的遵循趋势跟踪策略。

趋势跟踪策略和套利策略之间的一个根本区别是,趋势跟踪策略更不容易受均衡或者无套利限制的影响。例如,利差交易策略是在市场行情违反利率平价原则时的常用套利方法,但是在高利率货币贬值预期强烈的市场环境下,这一套利策略就可能遭受巨大损失(可以参考Brunnermeier,Nagel和Pedersen,2008)。而时间序列动量策略在这种情形下的处理就与套利策略完全不同:对于趋势跟踪类型的策略来说,它本身并不清楚理论上的趋势反转究竟会在何时发生,因此市场表现与资金净流入的关系很可能是正向的。随着市场信息越来越普遍地反映在价格变化中,可以预见到的是,随着时间推移,价格趋势发展和趋势跟踪型投资者之间的互相作用会加剧这一现象(可以参考Hong和Stein,1999);而另一方面,随着交易越来越拥挤,趋势反转发生的可能性也越来越高,因此从理论上来说,资金流与市场表现的关系并不容易确定。

表7展示了FTB策略的收益序列对滞后的CTA资金净流入与其他一些控制变量的回归结果:

其中{Xi}(5,i=1)分别是MSCI、SMB、HML、GSCI和UMD因子;而基金资金流的处理方法与Naik等人(2007)应用的方法一致:加总t-12月到t-1月的资金流数据并进行标准化。由于不同类型的资产可能有不同的市场容量约束,因此表7将不同资产类型的结果分列展示,分别是(i)所有资产;(ii)商品以外的所有资产;(iii)商品;(iv)外汇;(v)股票;(vi)利率。

表7  跨资产类别的市场表现-资金净流入回归分析

t统计量显示:与数据频率几乎无关的,月度、周度以及日数据下的滞后资金流量与策略市场表现均体现出平均而言的负向关系,但从统计学角度来看几乎都是不显著的;更重要的是,从系数的数量级来看,这一负向关系在经济学意义上也是不明显的。

6.2 市场持仓量和趋势跟踪策略

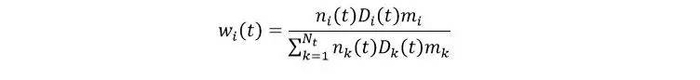
第二种方法的本质基于一个思想实验,在实验中,我们模拟了整个系统化CTA行业的AUM完全投资于月频率动量策略时可能发生的情形。其中我们尤其关注的是每一类资产在构建策略时所需要的合约数量与CFTC给出的市场持仓量(未平仓合约数量)之间的关系。

根据前文给出的:

在任意时刻t,构建策略时每一类资产所需要的数量(不论是多头仓位还是空头仓位)可以由下式给出:

为了得到组合中的相应权重,我们还需要计算出在任意时刻t每一类资产的投资比例,计算过程如下:记Si(t)为资产i在时刻t的价格,而s则为相应的合约乘数,因此投资金额由下式给出:

另外记mi为资产i的边际名义价格比,在整个样本区间内为常数(虽然这一变量可能基于即时的市场状况波动,但是通常幅度较小),针对不同的资产类型,我们设定不同的参数取值,分别为:外汇期货4%,股指期货10%,国债期货3%以及商品期货10%。

因此,资产i在任意时刻t的投资比例为:

在设定保证金比率为10%的情况下,资产i在任意时刻t的投资金额可以表示为Wi(t).AUM(t).10%,因此对应的仓位n(CTA,i)(t)可以由下式给出:

根据CFCT数据库给出的每类资产每期持仓数据,我们可以得到每项资产的n(CTA,i)与持仓量的差值。结果列示在图6中,样本区间为1986年1月-2011年12月。

图6  模拟持仓量超过实际持仓量的时间占比(月)

对近一半的资产类别来说,模拟计算得到的期货合约仓位数量在所有时点都要低于实际市场持仓量。而在其他情形中,模拟合约数量或多或少都要超过市场中的实际未平仓数量,产生这一现象的原因可以追溯到以下两点:a. 标的资产自身性质和特点;b. 合约的相对低流动性以及动量策略本身未进行流动性优化。

考虑a. 标的资产自身性质和特点,为方便起见,我们只使用横跨所有资产类别的期货合约,包括外汇,而在实际情形中,趋势跟踪基金主要通过远期合约来进行外汇交易,因为后者更具有流动性,因此如果我们将未平仓的场外远期外汇合约数据加入到研究中,这一差值就会大幅降低;其他资产类别模拟数量超出实际数量的现象也可能是由类似原因引起的。

而关于b. 流动性问题,模拟结果突出显示了时间序列动量策略的一个问题:策略没有考虑过不同资产合约之间的相对流动性问题,因此未做流动性优化。如果我们只考虑标准普尔500指数、黄金和原油这三类标的,我们会发现模拟仓位数量均为超过实际数量的情形为0——因为这三类标的是最具流动性的;而图中显示S&P400股指期货模拟仓位超过实际仓位的月度比例达到40%,正因为其是一个缺乏流动性的合约。

根据流动性和交易成本进行再调整的时间序列动量策略会更接近实际情形,但是这部分内容篇幅过长而超出了本文的范围。最重要的是,图9显示了绝大多数流动性良好合约的模拟仓位都不会超出实际情形,就算超过,其数量往往也非常有限。这也说明了本文所采用模拟方法的有效性。

综上,我们基于市场表现-净资金流入的回归分析和假设的关于动量策略的模拟分析,并未发现时间序列动量策略关于市场容量约束的统计意义或者经济意义上的显著证据:虽然市场表现与滞后资金流呈负向关系,但是其回归系数在统计学和经济学意义上都是不显著的;而极端假设整个系统化CTA行业的AUM均投资于统一的趋势跟踪策略也并不会导致流动性较好的标的资产模拟仓位超过实际值。此外,关于期货市场深度和流动性的其他研究结果也与本文结果一致:Brunetti和B¨uy¨uks¸ahin (2009)显示了投机者的活动不会预测价格变动和期货市场的波动。

此外, 投资于期货合约的名义金额是全球衍生品市场的一小部分。这些结果与期货市场深度和流动性的其他研究结果是一致的。例如,Brunetti和Buyuksahin(2009)的研究结果显示投机活动对标的资产价格变动和期货市场波动没有预测作用;Buyuksahin和Harris (2011)采用格兰杰因果检验分析了原油价格和CFTC每个交易日净多头头寸数据之间的领先滞后关系,也没有发现支持对冲基金和其他投机头寸影响原油价格变动的明显证据;相反,他们的研究结果还表明,价格变动领先于原油的多头头寸变动。

7. 结论

本文研究了期货市场的时间序列动量策略及其与CTA的关系。CTA是对冲基金领域的一个重要分支,并且因为其在金融危机中的优异表现而受到广泛关注。我们提供了一个全面的实证证据,证明CTA确实遵循基于趋势跟踪策略,同时本文还通过严格测试表明趋势跟踪策略不存在明显的市场容量约束。

根据Moskowitz等人(2012)基于月频率数据给出的时间序列动量策略盈利能力证据,我们构建了一个样本区间长达35年的月、周和日频率的动量投资组合。我们从结果中看到不同频率策略之间具有较低的交叉相关性,也因此体现出不同的收益延续现象;此外,我们的时间序列回归分析也与市场中CTA采用多频率时间序列动量策略的解释一致。事实上,在加入时间序列动量因子后,标准因子模型对基准CTA策略的解释能力几乎提高了一倍。

在过去30年里,CTA行业规模显著增加,同时伴随着08年金融危机突出表现之后2009年-2011年间CTA策略规模的急剧扩张和表现的相对平庸,使人们不由得开始考量时间序列动量策略的市场容量约束问题。然而,本文使用2种分析方法,均未得到趋势跟踪策略在统计学和经济学意义上的市场容量约束的显著证据。

但这也留下了一个尚未回答的重要问题:为什么CTA策略表现在2009 -2011年期间表现不佳。主要观点有以下3类:a. 容量约束(本文结果并不支持);b. 一些标的没有足够的价格趋势;c. 期货市场之间逐渐增强的相关性对量化CTA策略分散投资的挑战。

相关数据显示,2009-2011年期间美国货币/财政政策不确定性非常高,这在一定程度上可能推动了市场情绪,也可以为这一阶段的价格趋势比过去更容易发生逆转提供解释。在一些未报告的结果中,我们发现市场之间相关性的绝对值已经显著增加。一个基于滚动窗口的简单主成分分析显示,第一主成分的平均波动在2008年底约为25%,但在雷曼兄弟破产后就开始大幅增加,2009-2011年期间的均值接近40%,2012年1月样本尾部达到峰值45%。该现象可能支持如下假设:金融危机后的数据生成过程发生了变化,市场同质程度也在增加。

责任编辑:戴明 SF006

加载中...