新浪财经 期货

铝合金铸造企业碳排放核算方法及其影响因素

长江有色金属网

关注

原标题:合金铸造企业碳排放核算方法及其影响因素 来源:铸造工程

编辑导语:近20年我国铝合金铸造行业取得了快速发展,但随着中国承诺2030年前实现碳达峰,2060年前实现碳中和的战略规划,该行业面临设备老旧、能源利用率低、碳排放相对高等问题,已成为铸造企业实现碳中和目标的巨大挑战。

    通过对国内铝合金轮毂生产工厂碳排放量的研究,探索在碳约束条件下的铝合金铸造行业碳排放核算方法及其影响因素。从浙江省某铝合金轮毂生产制造企业2020年的调研数据得知,当年产500万件铝合金轮毂时,其全年CO2排放量高达121.7万t,其中铝锭制备间接排放112.4万t,电耗间接排放5.8万t,天然气燃烧直接排放3.5万t,分别占比92.35%、4.77%、2.88%。

    影响CO2排放量的主要因素包括铝锭制备时清洁电力占比及其电解铝技术,铝合金铸造工厂清洁电力占比及其设备能源利用率和工厂余热利用率等;其中,提升清洁能源电力占比是减少碳排放量直接方法,同时以清洁电能代替天然气能是铝合金铸造企业实现碳中和目标的必经之路。

    2020年9月,我国在联合国大会上承诺,中国CO2排放量力争于2030年前达到峰值,努力争取2060年前实现碳中和。碳排放是关于温室气体排放的一个简称,温室气体包括二氧化碳、甲烷、氧化亚氮、氢氟碳化物、全氟化碳、六氟化硫等,其主要的气体是二氧化碳。为简化数据统计和分析,将“碳排放量”等同于“二氧化碳排放量”并忽略其他温室气体的分析和计算。

    近20年我国铝合金铸造和电解铝产能取得了快速发展,但也面临设备老旧、能源利用率低、碳排放高等问题,这给碳中和目标的实现造成了巨大的压力。随着国家碳排放政策持续向下游产业推进,铝合金铸造这种高能耗、高排放行业面临较大的减排压力和挑战;因此,研究在碳排放约束下我国铝合金铸造碳排放核算方法及其影响因素具有重要的实际意义。

    1 研究方法和数据来源

    1.1 研究方法

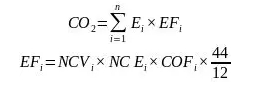
    由于铝土矿开采、氧化铝焙烧、电解铝、铝合金熔炼、铝合金铸造、热处理、机加工、涂覆等生产过程的碳排放量数据采集困难,因此笔者根据能源消耗估算值进行数据分析说明,根据《中国能源统计年鉴》和《其他有色金属冶炼和压延加工业企业温室气体排放核算方法与报告指南》核算分析天然气燃烧和电耗的碳排放量,计算公式如下:

   CO2是碳排放总量,Ei是能源消耗,EFi是碳排放因子,NCVi是平均低热量值,NCEi是单位热量值的碳含量,以及COFi是碳氧化率,计算中所需各项因子参考标准来自IPCC 2006年版的《国家温室气体排放清单指南》。

    1.2 数据来源

    根据中电联统计分析,2018年火电机组平均供电煤耗为308 g/kW·h(净效率为39.9%),火电CO2排放强度约841 g/kW·h,即CO2排放因子为0.841 0 kg CO2/kW·h;根据《关于有色金属工业节能减排的指导意见》,每吨电解铝消耗直流电的工信部标杆指标为12 500 kW·h,即全部采用火电的电解铝每制备一吨铝锭,其CO2排放量为10.51 t;利用清洁电能如用水、光产生的电进行电解铝作业所得铝锭视为清洁铝锭,在碳排放核算时,清洁电能产生的碳排放视为零;清洁铝锭碳排放主要来自铝土矿开采、氧化铝焙烧、电解铝作业时石墨阳极和其他热能产生的碳排放。

    表1为研究过程中的碳排放核算因子。根据表1数据计算得知,每吨清洁铝锭(全部采用清洁电力)在制备过程中合计排放CO2 6.05 t (2.9+3.1+0.05);电解铝全部采用火电,其每吨铝在生产过程中合计排放CO2 16.56 t(10.51+6.05)。

加载中...