新浪财经 基金

数学筹码:李永乐告诉你为什么赢不了庄家

格上基金官方微博

关注

作者:十七进制

来源:量子学派(ID:quantumschool)

博彩时 记得带上李永乐

对于赌场的想像,很多人第一时间想到的是:周润发、刘德华、周星驰各版的拉风出场,身披黑色大衣,梳着大背头迎风前行,然后鼓风机使劲地吹,这才是赌神的样子。

实际上,赌场里隐藏的巨鲸赌客,是那些低调沉默、思维严谨的数理爱好者。他们会关注博彩公司的赔率,找到安全的对冲办法。挖掘博弈后面的胜率,不轻易踏入庄家设置的陷阱。

在赌场上长期获利的高手,他们赌的不是人生运气,其实赌的是数学筹码。所以,你真的心血来潮忍不住要赌上一把时,如果找不到希尔伯特、伯努利、贝叶斯这样的搭档,那就带上李永乐这样的数学小助理。

01

小试牛刀

看看做庄怎么样才能赚钱

在去赌场之前,我们先小试身手。知己知彼,方能百战百胜。做赌徒之前,先做个庄了解一下本质。看看庄是怎么赚钱的,体验下数学的威力。

欧冠赛场都结束了,我们就以中超赛事做个庄。以最简单的“广州恒大VS武汉卓尔”猜胜负为例:

已知1:恒大胜,赔率1.50;卓尔胜,赔率2.50;

已知2:买恒大胜投注总额x元,买卓尔胜投注总额y元;

求证:只要满足一定条件,无论比赛结果如何,庄家必定赢钱。

聪明的李老师搬来个小黑板开始计算:作为庄家的我们收入是:x+y元

假设1:恒大胜出,庄家需派奖1.50x元

假设2:卓尔胜出,庄家需派奖2.50y元

推论:当x+y>1.50x,且x+y>2.50y,两个条件同时成立时,庄家收入恒大于任何一种比赛结果的派奖额,庄家必定能赢钱。

这个方程组很好解:

x+y>1.50x  x+y >2.50y

=>0.5x

所以,当买恒大胜与卓尔胜的投注额满足以上方程时,我这个做庄的就会赢钱。

这个例子虽然简单,但让赌徒看到了数学的力量。做庄这么爽,不过且慢,这帮下注的兄弟们也不一定听我的啊。他们凭什么这么听话,会以这样的比例投注?所以,数学并非万能,还要谈谈人性。

02

调整赔率

让人性来配合数学

做庄看起来没那么容易,得好好再算计算计。别偷鸡不成,反蚀把大米

按照上面算出的0.5x

假设押注恒大的总金额为100万,押注卓尔的总金额为60万。

我们在赛前收到的总押注金额为160万。

如果恒大胜了,需要赔出100万×1.5=150万。

毛利为:160万-150万=10万。

如果卓尔胜了,需要赔出60万×2.5=150万。

毛利为:160万-150万=10万。

在这个赔率区间下注,的确稳赚不赔,的确是好生意。

如果不在0.5x

李老师镇定如常,称要祭出杀手锏了,那就是“诱盘”。所谓诱盘,举个例子:2014年6月30日哥斯达黎加对希腊的决赛。

6月27日盘口显示:哥斯达黎加赔率1.7,即每投注100元,可赢170元,希腊赔率为2.2。

6月28日,盘口中哥队赔率上升到1.75,而希队下降到2.15。

6月29日上午,哥队赔率飙升至2.075,希队赔率则降至1.825。

许多赌客将赌资回流至希腊队,从而保证投注额分配始终处于有利庄家的模式里。

作为庄家,总有办法将下注比率锁定在0.5x

李老师非常冷静地提醒我:清醒,清醒,我们没有资格做庄,我们只是个小赌徒。

03

看得到的是概率

看不见的是陷阱

幸好我们都是理性的人,马上从梦乡里惊醒过来。不过,毕竟学了点小皮毛,忍不住想去拉斯维加斯开赌的。李老师认为得先训练训练,做庄和当赌徒是不一样的。

这话说得有道理 ,我欲善其赌,必先利其器。不过太复杂的赌博游戏,我也不太懂。就来一个最简单的玩法:与李老师比抛硬币。

规则是这样的:

掷硬币,正面赢反面输,如果赢了可以拿走比赌注多一倍的钱,如果输了则会赔掉本金。

乍一听可能觉得这游戏还不错,公平!

于是拿出了身上的100元来玩这个游戏,每次下注5元,这样至少有20次的下注机会。不过,运气不太好,第一把就是反面,输了5块钱。

生性乐观的我觉得没什么,反正不管怎么说,赢面都有50%,下一把就可以赢回来。结果,很快就把身上的钱都输光了。反复试验了很多次,仍然是同样的结果。

百思不得其解:明明是公平的50%赢面,在50%概率下至少不会亏本的,可为什么最后会输光?

助理李永乐同学再一次教导我,你以为自己看到了50%的概率,把游戏看得透彻明白,殊不知,你看到了概率,却没有看到背后的陷阱:大数定律。

04

大数定律:

貌似公平的陷阱

一正一反,均为50%概率,按照大数定律来说,这是必然规律。然而,你有没有想过,正是这种表面上的“公平”,让你误解了大数定律,最终陷入了“赌徒谬论”?

先来看看这种让你觉得“公平”的大数定律究竟是什么。它是数学家伯努利提出的:

假设n是N次独立重复试验中事件A发生的次数,p是每一次试验中A发生的概率,那么,当N趋于无穷时:

[图片]

式中n表示发生次数,N表示试验总次数。

也就是说,大量重复的随机现象里其实藏着某种必然规律。

还是以掷硬币为例,当投掷次数足够大时,出现正(反)面的频率将逐渐接近于1/2,且随着投掷次数的增加,偏差会越来越小,如下图。这是最早发现的大数定律之一。

从表面概率看,这确实是场公平的游戏。但这种公平是有一定条件的,注意,这就是普通人看不到的。大数定律讲究“大量重复的随机现象”,只有足够多次试验才能使得硬币正反面出现次数与总次数之比几乎等于1/2

可具体多少次才算“足够多”?才能够把它用在个人对赌上?没有人知道。因为,概率论给出的答案是——无穷大。

可投掷硬币次数越小,大数定律的身影就越模糊,可能10次中5正5反,也可能9正1反,也可能10正0反或0正10反……

现实往往是,在远未达到“足够多”次试验时,你就已经输了个精光了。你觉得自己比赌场更有钱吗?

把“大数定律”当“小数定律”,这种在潜意识里被奉为圭臬的“公平”,让你踏入了“赌徒谬论”

所以,这种与赌场比抛硬币的游戏万万是不能玩的。

05

虚拟模型

如何获得安全的最高收益

又学会了一点知识,禁不住有点小得意。实在是等不及了,现在就要去拉斯维加斯当赌王。

阻止一个想赌徒实在太难,想要阻止一个想当赌王的赌徒是难上加难。但无论如何,作为一个合格的助理,他必须讲出最后的赌场秘密。如果一定要去赌的话,一定要研究下面这个数学模型,才能走上赌王之路。

先假设了一个博彩模型(特别声明一下,这只是假设模型,实际上不会有这么好的赌徒赔率):

一个1赔2(不包括本金)的简单赌局,扔硬币下注,假设赌注为1元,硬币如果为正面则净赢2元,如果为反面则输掉1元。现在你的总资产为100元,每一次的押注都可投入任意金额。

你会怎么赌呢?已知掷硬币后正反面的概率都为50%,赔率是1赔2(不包括本金),那么这个赌局其实只要耐心去下注,从数学上讲那是稳赚不赔的赌局。但实际情况却可能会有偏差。

如果你是冒险主义者

要玩就玩票大的,All In!一次性把100元全押上,幸运的话一次就获得200元。

如果输了,100元资产拱手献给对方。好不容易来趟拉斯维加斯,这肯定不是明策。

如果你是保守主义者

你可能会想,谨慎点,百分之一慢慢来。

你每次只下注1元,正面赢2元,反面输1元。

玩了20把突然觉得,对方下注10元一次就赢得20元,自己1次才赢2元、10次才能赢得20元,感觉自己已经错过几个亿而开始后悔!

那到底该以多少比例下注才能获得最大收益?这貌似无常的赌局,真的有数学规律吗?

是的,后面隐藏着一个数学秘密:凯利公式却能够算出答案:利用这个公式计算后,你每次下注比例为当时总资金的25%,这样就能获得最大收益。

真的吗?赌徒的热血已经沸腾了。

06

赌场的数学秘密:

凯利公式

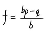
让我们来看看凯利公式的庐山真面目:

在公式中,各参数意义为:

f  = 应投注的资本比例;

p = 获胜的概率(也就是抛硬币正面的概率);

q = 失败的概率,即(1 - p)(也就是硬币反面的概率);

b = 赔率,等于期望盈利÷可能亏损(也就是盈亏比);

公式上面的分子(bp-q)代表“赢面”,数学中叫“期望值”。

什么才是不多不少的合适赌注呢?凯利告诉我们要通过选择最佳投注比例,才能长期获得最高盈利

回到前面(第五节)提到的例子中,硬币抛出正反面的概率都是50%,所以p、q获胜失败的概率都为0.5,而赔率=期望盈利÷可能亏损=2元盈利÷1元亏损,赔率就是2,我们要求的答案是f,也就是(bp - q) ÷ b = (2 * 50% - 50%) ÷ 2 = 25%。

由此,我们根据凯利公式的计算而得投注比例,在这个博彩赔率里,我每次都拿出当前手中资金的25%来进行下注。设初始资金为100,硬币为正面时收益为投注的2倍,为反面则失去投注金额。在以下两个表中,我们模拟计算了10次赌局的收益情况。

表1从先正后反的情况计算了收益,表2则计算了正反分布交错情况下的收益结果。比较两表最终可以发现其收益是相等的,硬币出现正反面的先后顺序对于最终收益的计算结果并无影响。

而按25%的投注比例进行投注,收益基本呈现稳步增长的大趋势。

但假设投注比例为100%时,10次当中只要出现任意一次的反面,就会彻底输光身上的所有钱,直接出局,且每轮反面概率还为50%;

而每次1元1元地投注,也就是投注比例为1%的时候,10次数学上的收益为100+10×50%×2+(-1)×10×50%=105,这风险很小,不过收益太低。

由此看来,凯利公式才是真正理解了赌博的人儿啊。

07

赌徒困境:

你的期望值是负值

以上举的1赔2的例子,是一个虚拟模型。这个数学模型,对赌徒是非常有利的。

因为根据f=(bp-q)/b公式,(bp - q) ÷ b = (2 * 50% - 50%) ÷ 2 = 25%。这个结果(又叫期望值)是一个正数,赌徒可以利用凯利公式获得收益。

然而,实际的赌博游戏中,几乎都是对赌徒不公平的游戏。也就是说,这个模型是反过来的期望值对赌徒来说是负数。当然,你表面上是看不出来的,或者说期望负值很低,赌徒很难完全感知到。

作为一个理性的赌徒 ,得认真读完以下3条准则。

①期望值(bp-q)为0时,赌局为公平游戏。

②期望值(bp-q)为负时,赌徒处于劣势,更不应下任何赌注。

③期望值(bp-q)为正时,这时按照凯利公式投注赚钱最快,风险最小。

也就是说,大部分的赌博游戏,赌徒的期望值实际上是第②条。把以上例子中的身份颠倒过来,也就是说庄家在利用凯利公式同你下注。

可见,这表面看来浅薄浮躁的赌场,其实冷静深邃。除了上面说到的数学和人性,实际上涉及经济学、博弈论等。要真正深入了解这方面知识,还有很多深奥的学问,涉及到马尔科夫链、二项分布、递推公式等等。

幸好有李永乐小助理,搜他,搜他,这家伙可真是个宝藏宝宝。

这位数学小助理——“李永乐老师”,现在是西瓜视频独家创作人,之后他的科普视频更新只能在西瓜视频看到。

赢家法则是“不赌”

谁都逃不过“赌徒破产困境”

有人可能说,我又不是与赌场对赌,我只要赢了对手就行了。可无论是你还是对方,或明或暗都是要给赌场“抽水”的。也许抽水只有小小的2%,但赌的时间一长,都是在给赌场打工。在庄的眼里,赌徒永远有一个逃不开的魔咒:赌徒破产困境。

当然,没有谁能说服一个堕落的赌徒,李永乐也不能,因为这是人格的缺陷。但如果你还是一个具有理性精神的人,就别再迷恋运气。

赌徒能够依靠的是祖宗保佑,而赌场后面的大佬是高斯、凯利、伯努利这样的数学大神。

你很难赢得了庄家。所以,还是去西瓜视频看看“李永乐老师”的视频。

论理性,没有人能比赌场老板更理性。

论数学,没有人能比赌场老板请的专家更精通数学。

论赌本,没有人能比赌场老板的本钱更多。

世上有太多人还在心存侥幸,告诉他唯一的答案。如果要想真正赢得人生这场赌局,法则只有一个:不赌

“本文转自公众号 量子学派——专注于自然科学领域(数理哲)的教育平台”

加载中...