常见私募基金业绩报酬计提方式解析
新浪财经
常见私募基金业绩报酬计提方式解析
金睿云资管平台 原发于2017-10-20
业绩报酬是指基金管理人在基金运作中,根据运营情况提取一定比例的收益作为业绩奖励。其产生的目的是为了将基金管理人的利益与投资人的利益趋于一致,通俗地来讲只有投资人赚到一定的收益后,管理人才有机会获得额外奖励。但是具体何时管理人能进行业绩报酬计提以及如何进行计提业绩报酬,目前基金产品的计提方式不尽相同。作为投资人,应该在签订基金合同前了解合同约定的业绩计提方式以及目前业内普遍的业绩报酬计提方法。
行业内现有业绩计提主要是分为针对产品总体收益的高水位法计提和明细到投资者个人业绩报酬计提。
高水位计提法
高水位法计提指管理人在基金产品的收益超过计提基准或历史业绩报酬计提日最好水平时计提一定比例的收益作为业绩报酬。例如某基金历史计提业绩报酬日最好成绩为净值1.2元/份,第二年净值若为1.1元/份,虽然较发行价仍有盈利但管理人无法计提业绩报酬,只有净值超过1.2元/份时管理人才有机会获得业绩报酬。该计提方式追求基金的绝对收益,相对管理人根据投资人收益明细计算业绩报酬更为简单明了,但是依然存在一些风险和问题:
1、高水位法不排除管理人为了获得计提业绩报酬机会而产生短期行为。管理人可能为实现业绩报酬计提通过短期投资行为提高基金产品净值,但无法保证基金产品后续依然能保持现有高净值。这种短期行为不但会影响基金产品长远投资策略也会让投资人因为管理人计提虚高的业绩报酬而产生损失。
2、当投资者以低于历史高水位的净值申购时,管理人无法计提申购价与历史高水位间的业绩报酬从而产生损失。
3、在经历牛市和熊市的转折阶段,基金产品已经在牛市创了历史新高。若一味追求绝对收益会导致管理人后续无法计提业绩报酬从而损害投资积极性。
个人投资者业绩报酬计提
相较于统一高水位计提法,目前业绩报酬计提也可明细到投资人个人。但因为投资人数众多、情况复杂所以计提种类繁多。目前业内比较常见的业绩报酬实现方式可分为按业务发生计提和统一业绩计提。
按业务发生计提业绩报酬是指在特定业务发生时管理人会针对发生该业务的投资人进行业绩报酬计提。一般来说,合同中设置计提业绩报酬的业务为:赎回,收益分配和清盘。
统一业绩计提是指投资人在固定时间节点对所有投资人按各自的收益率进行业绩报酬计提。目前业内多数管理人在合同中约定统一业绩计提的时间节点为:产品开放日,月/季/年末。
目前合同中将两种计提实现方式进行结合的相关条款也比较常见。相关条款示例如下:
投资顾问将对计划的超额收益部分按比例计提业绩报酬。
业绩报酬计算当日业绩报酬计提前的计划份额累计净值高于业绩报酬计提比较基准和历史业绩报酬计提日最高基金份额累计净值时,本计划就业绩报酬计算当日的计划份额累计净值高出业绩报酬计提比较基准和历史业绩报酬计提日的最高基金份额累计净值的部分提取业绩报酬。业绩报酬计提日为基金开放日、收益分配日和基金清盘日。
在这段合同条款中,管理人选择了将业务发生计提(收益分配日和基金清盘日)和统一业绩计提(开放日)相结合的方式进行了业绩报酬计提。该业绩报酬计提区分不同时间点进来的投资者的个性化情况,计提结果更为精准公平。
除了不同的业绩报酬计提实现方式,管理人在涉及业绩报酬计提公式中也会选取不同的计提标准和计提方式。
计提标准
目前行业内按净值和收益率衡量产品收益并进行业绩报酬计提。计提标准一般会在计提公式中体现。
管理人若约定对净值超出业绩比较基准的部分按计提20%业绩报酬,合同中公式如下所示:
业绩报酬=Max[0,(业绩报酬计算当日业绩报酬计提前计划份额累计净值–Max(历史业绩报酬计提日最高计划份额累计净值,业绩报酬计提比较基准))×该业绩报酬计提日计划总份额] ×20%
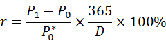
若管理人约定按收益率计提业绩报酬计提,则需要先计算年化收益率。假设合同约定计提比例依然为20%,合同公式业绩报酬则如下所示:
年化收益率的计算公式:
管理人的业绩报酬计提:
其中:
为业绩报酬计提日的份额单位累计净值;
为某笔份额上一个发生业绩报酬计提的份额单位累计净值;
为某笔份额上一个发生业绩报酬计提的份额单位净值;
D为某笔份额上一个发生业绩报酬计提到本次业绩报酬计提日的天数;
r为年化收益率,其计算结果保留到小数点后两位,小数点后第三位四舍五入。
这两种计提标准本质上并无太大区别,管理人只是从不同维度计算了基金收益并提取约定比例的业绩报酬。目前这两种计提标准运用都很广泛。
计提方式
管理人计提业绩报酬的方式也可分为现金计提和份额计提。现金计提是指管理人算出应得的业绩报酬后在基金总资产提取相应金额。这种计提方式会导致基金产品的净值下降。
份额计提是指管理人扣减该笔投资一定份额的方式收取应得业绩报酬,产品的净值仍然保持不变。
因为投资人持有资产=份额*净值,所以无论是管理人计提现金降低产品净值或者是计提份额扣减投资人持有份额,投资者所持有的资产并不受计提方式影响。由于现金计提步骤简单,直接降低净值对于投资人来说更加直观易懂,所以目前业内普遍采用的还是现金计提。但也不排除有管理人会设计比较复杂的计提方式,将两种计提方式相结合。合同中将两种计提方式结合具体条款如下所示:
在业绩报酬固定提取时点提取业绩报酬的,业绩报酬以扣减基金份额持有人份额的方式提取;赎回和合同终止时提取业绩报酬的,业绩报酬从赎回或分红资金中扣除。
这个合同条款约定了在统一业绩报酬计提期间以扣减份额方式计提业绩报酬,分红或资金退出时管理人会在退出资金中提取约定比例作为业绩报酬。
结语
目前,随着基金行业的发展,基金产品中管理人计提业绩报酬的方式必然会向更为成熟公平的方向发展。但无论是管理人设计合同或者是投资人签订合同时,都应该仔细审阅相关条款,保护自己切身利益。