新浪财经 基金

做配置如何避免追涨?“很像桥水打法”的基金经理,给出了5个诚恳建议

聪明投资者

关注

唐军在“多元资产配置”的路上越来越动作丝滑。

上半年的环境是众所周知的复杂,股债切换、风格反复、长短利差频繁变动。

结合中泰资管刚刚披露的二季报看,唐军所管理的FOF产品依然为投资者提供了舒服的投资体验。

去年底我们曾经深访过他,把他过往持仓掰开来看,除了黄金外,股票资产有A股、港股、美股,债券有美债、短融、转债、利率债……非常标准的多元资产配置组合。

回看一季度,他降低可转债仓位,对黄金略有加持;二季度则加大美元债的配置,增加电力、高股息类的ETF品种,在利率下行空间不大的背景下减持短期国债ETF……

隐含了他的宏观判断,也非常匹配他的三段式框架逻辑:一看信用扩张与流动性趋势,二看市场预期是否过度,三看资产之间是否足够分散且互补

唐军管这套方法叫配置先行,这是他从量化、宏观研究一路走来的总结。

从最初用复杂模型选因子,到如今更在意逻辑是否稳得住,这位数学出身的FOF经理,逐渐把投资变成一件关于框架和节奏的事儿。

在最新撰写的这篇文章中,唐军抛出一个很有意思的观点:为什么就连诺奖加持的组合优化模型,也难逃追涨杀跌的宿命?

他的分析很逻辑,结论很简单,就是我们不要被历史数据、“易得性”数据牵着鼻子走。

唐军的研究和配置方式是反人性的,像桥水那样复杂又克制;但他给普通投资者的建议,却意外地朴素好用。

如果你正在思考资产配置是否值得,或者总觉得自己明明理性却常常被行情牵着走,不妨就从这篇文章开始。

做配置如何避免追涨?

唐军/文

“如何区分配置和追涨”是一位财经自媒体老师之前向我提出的问题。我的第一反应是这两者怎么会等同呢?但这位经验丰富也很专业的老师进一步解释到:“从我本人的观察来看,‘配置’这个词,往往与‘追涨’连在一起。当我们觉得某类资产的配置价值高时,它往往在上涨甚至新高的路上;相反,在大家的认知里,连亏几年的资产,基本不会有什么‘配置价值’”。

细想一下,这位老师的观察是很客观的。

我们都知道,“追涨”通常跟“投机”、“非理性”、“散户”等词语联系在一起,而“配置”经常跟“价值”、“专业模型”、“机构投资者”等联系在一起。两者似乎有天壤之别,却在投资实践中表现雷同,这值得思考。

所以,我想从最经典的马可维茨组合优化理论说起,分析资产配置为何会追涨,以及如何避免追涨。

经典的投资组合理论也会追涨

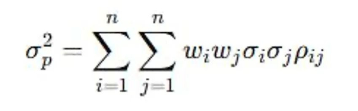
美国经济学家马可维茨(Harry MMarkowit)提出的现代资产组合理论(MPT)是很多资产配置模型的基础,其打破了传统 “仅关注收益” 的投资逻辑,首次用方差(或标准差)量化风险,并通过数学模型证明 “分散化投资可降低非系统性风险”。马可维茨也因此而获得了1990年诺贝尔经济学奖。

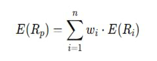
马科维兹的资产组合理论将组合配置转化为一个数学上的优化问题:

最优化的目标函数为:

优化目标(S)的经济意义是投资组合单位风险所获得的超额收益最大化。

其中,

是投资组合的预期收益率,其等于各资产预期收益率的加权平均;

是投资组合的方差,其由各资产的协方差矩阵计算得到(如上式),其反映各类资产的波动率和相关性。

这个优化问题看起来可能有点复杂,但对于数学或金融工程专业的毕业生来说,应该都是以前的必修课。

对于非数学或者金融工程专业的人来说,不必纠结这个优化问题的具体计算过程,只需要理解两点:

1)每一类资产的配置比例与其预期收益率成正比

2)与其波动率(以及跟其他资产的相关性)成反比

数学上的优化问题具有唯一的最优解,因此只要输入各类资产的预期收益率和协方差矩阵,就能求解得到最优的配置比例。那求解的结果为什么会表现出“追涨”呢?其实问题在于用历史数据来计算各类资产的预期收益率和波动率

理论上讲,各类资产未来的预期收益和波动都不容易界定,因此很多学术研究和投资实践中都会用过去一段时间的平均收益率和波动率来代替未来的预期收益和波动。

这意味着过去平均收益更高、波动更小的资产会得到更高的配置比例。这就不难理解组合优化模型会“追涨”了。

如图1,以HS300指数为例,无论用过去5年还是10年的平均收益率来代表预期收益率,都会在指数高位时认为未来预期收益率更高从而高配,低位反之,“追涨”效应明显。

1HS300指数走势其过去5年、10年的平均收益率

wind

可见经典的投资组合理论会追涨并不是因为模型理论本身的问题,而是因为用历史数据来代表未来预期如果不用历史数据简单代表,而是人为地输入各类资产的未来预期收益率,是不是就不会有“追涨”的问题了呢?

人的主观预期也容易“追涨”

用历史数据来代替未来的预期收益和波动在实际投资中存在显而易见的问题,因此在投资组合优化理论的基础上衍生出了一些改进版本,比如BL资产配置模型 (Black-Litterman模型)等。一个很重要的思路就是融入投资者对各类资产预期收益率的主观观点,而不再完全依赖历史数据。

但现实情况是,很多依赖主观观点的配置结果也表现出了明显的“追涨”特点,说明人的主观预期也容易“追涨”。这从行为金融学上能得到一定的解释。

行为金融学中有一个概念叫“可得性偏差”,指人们在评估某个事件发生的概率或频率时,会依赖于容易想到的例子或记忆中容易获取的信息,而不是基于全面、客观的数据和信息进行判断当某一类资产上涨时,会出现各种关注和分析的信息,这些“易得”的信息对人的判断起到重要作用,从而让人倾向于做出“追涨”的决策。

“可得性偏差”在数字时代被无限放大。当某类资产连续上涨时,出于对流量的迎合,社交媒体、财经APP的实时推送形成信息轰炸,投资者大脑中相关案例的“心理可得性”指数级提升。因此,依据短视频、自媒体的信息来做投资决策,很可能会产生负贡献。

如何避免追涨?——建立分析框架,尽量依赖客观的标准

资产配置和投资需要逆向思维,大部分人其实都知道并且认可这个道理,而在投资实践中却往往管不住手,表现出“追涨杀跌”的行为特征。要做到独立判断和逆向投资,首先需要建立比较客观的分析框架。

举一个例子,2021年上半年美国通胀开始走高时,市场上几乎没有担心美国通胀的声音。当时的主流观点都认为美国没有通胀压力,短期的物价上涨是因为疫情后航运不畅。媒体和互联网上也充斥着各种美国港口积压、货船排队拥堵的资讯。就连美联储也多次表态,美国物价上涨是暂时的,没有通胀压力。这种思维惯性可能是因为美国自2008年以来长期保持了低通胀,即使在美联储大力度QE之后也没出现通胀。

但在我们的分析框架中,通货膨胀由信用扩张决定,而货币宽松只能影响利率,从而间接影响信用扩张。美联储QE只是压低了利率,但如果低利率下企业、居民和政府都没有大幅加杠杆,就不会推升通货膨胀。

通过定量分析美国信用扩张的力度,我们可以看到(如图2),2008年金融危机之后的QE只让美国的信用扩张回到2007年时的一半的水平,因此不会带来通胀。但在2020年疫情后,美联储QE的同时美国财政部大幅加杠杆,给居民发钱,这导致美国的信用扩张创历史新高,由此可以判断美国的通胀将远超预期。基于这一判断,应该超配原油等大宗商品,低配美债。

2反映美国信用扩张的社融分项数据(单位:十亿美元)

wind

可见,建立科学的分析框架,依赖客观的指标数据,就有可能得到与市场主流观点不同的独立判断。

资产配置涉及的维度比较多,需要针对每一个维度或具体的问题建立分析框架,形成定量的跟踪指标或客观的标准,并且需要不断纳入新的、阶段性的宏观驱动因子,是一项复杂、系统的工作,需要长期持续地研究。

对于大部分投资者来说,构建完整的资产配置分析体系并不容易。以下一些建议是我们在研究和投资实践中总结出来的,供大家参考。

  • 区分长期逻辑和短期变量

用长期逻辑解释短期市场波动是很多人追涨(或杀跌)的重要原因。比如每次牛市最后的疯狂阶段,总能听到“存款搬家”的说法,即中国居民的财富配置严重低配了股票,所以存款转向股市还刚开始,空间巨大。这里中国居民财富配置比例的变化显然是一个长期逻辑,是一个慢变量,不能作为短期市场走势的判断依据。

继续以美国本轮通胀为例,在2022年三季度美国CPI增速创近40年的新高之后,出现了不少极度悲观的声音,认为美国通胀是逆全球化下的供应链重构造成的,所以通胀下行还遥遥无期。这显然也是将逆全球化这一长期的慢变量用于解释通胀的短期剧烈变化了。

  • 淡化对短期业绩和相对排名的追求

对短期业绩和相对排名的追求,可能会促使一些专业投资者一面强调逆向投资的理念,一面在实操中不断陷入追涨的窘境。比如在2020年到2021年初,以消费龙头股为主的所谓核心资产(茅指数)不断上涨,没有配置这类资产的基金在短期业绩和相对排名上会面临了巨大压力,即使认识到估值已经过高,可能还是会顶不住压力而追涨买入。当时很多中小盘、科技、成长风格的基金都重仓消费龙头股了。

  • 尽量多元配置,丰富“回报流”

即使建立了比较好的分析框架,在资产上做择时的胜率也不会太高,所以一旦市场走势与自己的判断不同时,就会有压力——要坚持判断还是认错。这时如果配置更多元,“回报流”更丰富,那么坚持自己分析框架的底气会足一些。

比如,配置观点是要低配股票,但股市却持续上涨,这时更多元配置的基金更能坚持自己的配置观点,因为还有其他资产类别可以贡献和平滑收益,而只在股、债上做配置的基金则更容易“被迫”追涨。

  • 资产价格短期表现由“预期差”决定,一致预期往往是反向指标

越是短周期的战术配置或者交易性策略,越要放在“预期差”的分析框架下,而不能仅从中长期的基本面来判断。所谓“预期差”就是指资产本身的基本面与市场已经反映的预期之间的差。

比如,即使基本面很好,但如果市场已经充分甚至过度反应了,那么“预期差”为负,短期回调的概率更大。行为金融学里有这样一个故事:假如所有的交易者都坐在一个教室里,收集他们的多空观点,如果绝大多数都看多,那么接下来市场要跌的概率很大。因为看多的大部分都已经做多了,接下来新增多头的力量就很少了,一旦有人改变观点就是新增的空头力量。

可见,一致的市场预期往往是短期走势的反向指标,应避免在市场观点高度一致的时候追涨或杀跌。

  • 区分风格BetaAlpha

投资者在选择基金的时候也容易追涨。其中很重要的原因是没有区分基金的风格BetaAlpha收益。比如2021年初,基于业绩等各种指标筛选出的优秀基金,没有认识到其收益中有很大一部分是风格Beta贡献的(消费龙头占优的市场风格)。

如果认为其优秀的业绩表现全部是基金经理的Alpha贡献,那当然值得“追涨”,因为没有理由认为基金经理的Alpha能力会突然变差。但如果认识到其收益中有很大一部分是风格Beta,那就要判断接下来市场的风格会延续还是切换了,这是一个风格配置观点的问题,而不单纯是选基金的问题。

总之,做资产配置要避免追涨,需要建立科学客观的分析框架,需要对多个维度的具体问题开展研究,需要不断纳入新的驱动逻辑和宏观因子,需要持续挖掘和研究新的配置工具。

在我看来,资产配置不是一个单一的数学模型,而是一项永远没有最优解、需要我们持续研究和修行的工作。

—— / Cong Ming Tou Zi Zhe / ——

排版:唐唐

责编:艾暄

加载中...