新浪财经 基金

一只基金弹性如何,要看这一指标

市场资讯 2022.03.21 19:54

偏股型基金经过一轮犀利的下跌后,迎来久违的反弹,如何捕捉高弹性基金,成为市场讨论的焦点。

Wind数据显示,2021年12月14日至2022年3月15日,股票型基金总指数在3个月时间下跌了20.73%,随后连升三日,3月16日至3月18日反弹6.81%。

上周四我们介绍的了通过基金阶段表现,寻找高弹性基金的方法,今天我们介绍一个衡量基金弹性的指标:索提诺比率(Sortino Ratio)。

股票型基金是各类型中波动性最高的品种,但是下蹲为了起跳,如果拉长时间轴,比如10年,股票型基金在各类基金中又是表现最好的。

近10年(2012年3月19日至2022年3月18日),尽管期间偏股型基金指数经历大幅波动,普通股票型基金指数期间(日度)年化波动为23.17%,混合型基金总指数为15.54%,债券型基金指数为2.35%。但从累计收益看,普通股票型基金指数上涨了243%,混合型基金总指数上了175%,债券型基金指数上了70%。

从长期持有看,权益基金正体现了高收益、高风险(波动)的特征,对于权益基金回调并不可怕,关键要看权益基金的下跌后的表现,弹性如何?

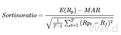
在衡量基金风险调整后收益方面,夏普比率(Sharpe ratio)用的比较多,夏普比率指的是平均超额收益率除以其标准差。但标准差并没有完全反应投资者真实感受到的风险,投资者只在乎损失,而不是波动本身。他们不喜欢下行的波动(回撤),但喜欢上行的波动。

索提诺比率克服了上述夏普比率缺陷。索提诺比率只专注于定义下行偏离度,也就是说只考虑最低可接受收益(MAR)值以下的偏离,这部分是投资者感觉到“痛”的地方

其中,Rpt 是收益列中小于无风险收益的全部样本,Rf为无风险利率。

简而言之,索提诺比率计算了产品每承受一单位低于无风险收益的风险,能够产生多少超额报酬。这正体现了产品下跌后的弹性。

统计2018年以来现任排位第一的基金经理未变更,基金规模高于1亿元的股票型基金和偏股型基金,无风险利率为一年期定期存款利率,计算2018年1月1日至2022年3月18日索提诺比率,其中最高的15只基金如下:

其中,索提诺比率最高的三只基金业绩走势如下:

这三只基金近五年业绩表现如下:

这里也需要提醒投资者,反弹不会一蹴而就,而且市场底部也很难判断,多数只能在事后判定,对于高风险投资品种,要根据自己的风险承受能力,结合多重验证指标决定是否参与及参与程度,押注式投资常让投资者承受过高的风险。

加载中...