新浪财经 基金

债基用鑫说4 | 如何理解债券收益率和久期?

新浪财经

关注

来源:鑫元基金

债基用鑫说4 | 如何理解债券收益率和久期?

上期我们和大家聊了债券是怎么赚钱的,其实在债券投资中,能赚多少钱与两个指标息息相关,它们就是收益率久期,怎么理解呢?本期债基用鑫说和大家讲一讲!

债券收益率

说到收益率,理财的朋友一定不陌生,相比理财产品直观的收益率,债券收益率更复杂一些。今天我们挑比较常用的票面利率到期收益率来讲讲。

1

票面利率

债券在发行时就确定的利率票面利率(Couponrate),它决定了债券最基本的利息收入。在债券交易中,票面利率始终是不变的。那我们看到的时刻变动着的利率是什么呢?它就是债券投资中最受关注的到期收益率。

2

到期收益率

到期收益率(Yield ToMaturity,YTM),又称内部收益率,是可以使投资购买债券获得的未来现金流的现值等于债券当前市价贴现率相当于投资者按照当前市场价格购买,并且一直持有至到期可获得的年平均收益率。其中,到期收益率隐含两个重要假设:一是投资者持有至到期,二是利息再投资收益率不变。

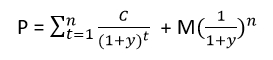
到期收益率一般用y表示,债券市场价格和到期收益率的关系式为:

*P-债券市场价格;C-每期支付的利息;n-时期数;M-债券面值。

举例来说

票面金额为100元的2年期债券,第一年和第二年均支付利息6元,当前市场价格为95元,则该债券的到期收益率和当前价格之间的关系可以表示为:

求解得y=8.836%。

从上面的公式可以看出到期收益率的影响因素主要有票面利率、债券市场价格、计息方式和再投资收益率。

计算债券到期收益率可以评估某一债券该不该买入,如果到期收益率高于投资人的预期报酬率,则应该买入,反之,如果低于预期,则不值得购买。

不过,对于我们普通人而言,用复杂的到期收益率公式很难准确计算出结果,而且到期收益率会受到票面利率、债券市场价格、计息方式和再投资收益率等因素的影响而波动变化,很难精准把握。

相比下,通过债券型基金,即把债券投资这件复杂又专业的事,交给专业的债券投资机构来把握债市的投资机会,更为有效。

久期

我们都知道债券有期限,那久期又是什么呢?和期限是一回事吗?

从定义上来说,久期指的是你购买债券后收回全部本金和利息的平均时间,可以粗略地理解成近似于债券的剩余年限。一般来说,债券期限越长,久期也越长。

在债券投资中,久期不止是个时间概念,更多用于衡量债券价格变动对收益率变化的敏感度,进而评估债券的价格风险。通常来说,久期越长的债券对利率敏感度越高,风险也就越高,反之久期越短,风险也就越低。比如同期发行的10年期国债的价格波动往往比3年期国债大。

和债券到期收益率一样,久期也是经过专业、复杂的公式计算得出的,在这里我们就不展开啦,大家记住,通常来说久期与债券的价格波动正相关就可以了。

本期的债基用鑫说就先到这里了,是不是觉得有点难?“工欲善其事,必先利其器”,开始债券投资前,了解债券的各类属性和技术指标是必不可少的。

今天的内容更多的是让大家对收益率和久期有基本的理解,感兴趣的朋友可以试试自己推演一下相关公式,会更有收获哦!

【债基用鑫说】下期预告:我国债券有哪些种类?

*市场有风险,投资需谨慎

XINYUAN

微信号|xinyuanfund01

官网 | www.xyamc.com

加载中...