新浪财经 基金

如果要给定投加个期限多久合适?

新浪财经

关注

小基快跑

可惜定投不是爱情

多数人也没有想过和定投白头偕老

他们希望能在相对短一点的时间内获得收益

一万年太久,只争朝夕。

于是,一个很现实的问题常常被提及——

定投投多久比较好?

我们在2016年做过一个测算

将上证指数和标普500指数

模拟为定投标的(即视作1只基金)

计算出期间(指数上市日至2016年2月29日)

任意时间开始任意期限定投的收益情况

我们得出了两个结论:

1、定投时间越长,盈利的概率越大。

无论在A股还是美股,时间都是定投的好朋友。

注:上述盈利概率测算以历史数据为依据,仅供参考,不作为收益承诺。将上证指数和标普500指数模拟为基金进行测算,每期扣款金额为1000元,首期扣款日为指数上市日,定投截止日为2016年2月29日,期间每月1号为定投扣款日,定投收益率=[(sum(每期定投金额/每月月初收盘点位)*期末收盘点位)/(sum(每期定投金额*投资期数))]-1。

2、而从不同定投期限的收益率的角度来讲

情况稍微有点复杂:

美股代表标普500指数

各期限定投的收益率都差不多,

但上证指数定投期限越长,平均收益率越低

数据来源:wind

也许,上证指数的历史较短

测算的样本量较少,参考意义不大

但是这并不妨碍大家对“定投最佳期限”的探究

周末,小通看到“西泽研究院”

回测的一组定投数据

可能对解决这个问题有所帮助

定投标的:沪深300指数

定投起始日:从2003年1月1日起,在任意一天开始定投

定投周期:按月扣款

定投期限:1年、2年、3年、4年…9年、10年

数据截止日期:2018年3月31日

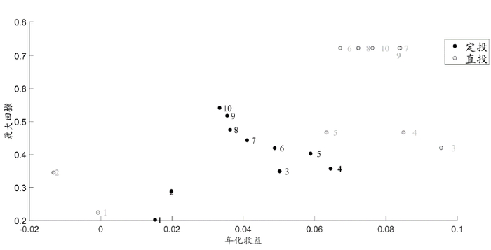
下图中

横坐标是年化收益率

纵坐标是最大回撤

黑色点是定投

灰色点是直投(一次性投资)

数字代表投资年数

沪深300指数定投与直投(2003-2018)

数字代表投资年数

数据来源:Wind,西泽研究院

从图中可以看到

随着投资年限的增加

定投年化收益率呈现出先增加后减少的趋势

定投4年的年化收益率最高

在此之后,随着定投时间的增加

年化收益逐渐降低,最大回撤逐渐增加

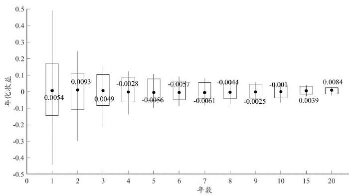
再看另一张图,用蜡烛图的方式展现了

不同的定投投资年数,年化收益率的分布

黑点和旁边的数字

代表了该定投期限下年化收益率的中位数

注:竖线的上方终点代表该投资期限下年化收益率的最高值,下方终点代表年化收益率最低值;长方形的上边短边代表该投资期限90%分位的年化收益,下边短边代表该投资期限10%分位的年化收益。

沪深300指数定投(2003-2018)

数字代表年化收益率中位数

数据来源:Wind,西泽研究院

可以很清楚地看到

随着投资年限的增加

年化收益率呈现出先增加后减少的趋势

定投4年,年化收益率的中位数最大

上图中还有一个现象:

随着定投年限的增加

年化收益率的分布越来越集中

换句话说,定投时间越久,收益的波动越小

综上,对于沪深300指数

从历史数据来看

定投4年可以获得较高的收益

但是,我们还是不能把

“定投4年”作为一个普遍的真理。

首先,从我们之前的测算能看到

即使定投5年,亏损的概率仍然不小

更别说定投4年了

其次,定投4年收益较高,主要是

因为A股过去比较明显的牛熊周期特征:

在2007年和2015年高点及时止盈

可以获得相对较高的收益

而拉长定投期限却有可能在熊市结束定投

收益大幅缩水

沪深300指数走势(2003-2018)

数据来源:Wind

如果换种市场形态

“4年”就未必是定投的最佳期限了

西泽研究院以1990年至2018年的

标普500指数和日经225指数为定投标的

做了两组测算

标普500指数(黑)和日经225指数(灰)

数据来源:Wind,西泽研究院

总体来看

标普500指数的走势呈向上趋势

而日经225指数呈现出类似“W”型的走势

在美股和日本股市定投

结果又会怎么样呢?

先看看标普500指数的定投测算结果:

标普500指数定投(1990-2018)

数字代表投资年数

数据来源:Wind,西泽研究院

对于走出“慢牛”的标普500指数

随着定投期限拉长,年化收益率越来越低

从下面这张图也能明显看到

定投标普500指数时间越久

年化收益率的中位数逐渐降低

标普500指数定投(1990-2018)

数字代表年化收益率中位数

数据来源:Wind,西泽研究院

定投日经225指数又是另外一番景象了:

日经225指数定投(1990-2018)

数字代表投资年数

数据来源:Wind,西泽研究院

走出“慢熊”的日本股市

定投的年化收益随着定投期限拉长

先降低后升高

定投4年的年化收益率中位数还是负值

日经225指数定投(1990-2018)

数字代表年化收益率中位数

数据来源:Wind,西泽研究院

定投4年

不是“放之四海而皆准”的最佳期限

投资标的的走势决定了定投的收益

未来,A股会走出怎样的行情?

像之前那样继续呈现很明显的牛熊周期?

还是像美国那样呈上升趋势

或是像日本那样震荡下跌?

谁也无法预测。

所以,“定投投多久比较好?”

这个问题并没有一个标准答案。

但是我们可以提供一个参考答案:

首先,定投时间太短肯定是不行的。

定投是一个积少成多的过程

定投时间太短,投入的本金不多

对你的生活意义不大(土豪大额定投除外)

但定投也不是时间越长越好。

随着定投时间拉长

积累的本金已经比较多了

单次扣款对整体的影响越来越小

定投“均摊成本”这一功能越来越弱化

举个栗子:

每月定投500元,定投5个月,亏损10%

这时,500元定投扣款可以将定投单位成本拉低1.8%;

如果定投20个月,同样亏损10%

这时500元扣款可以将定投单位成本拉低0.53%;

如果定投50个月,500元扣款

只能将定投单位成本拉低0.22%

定投到后来

实际上变成了另一种形式的一次性投资

扣款对定投的影响越来越小

市场波动对定投的影响越来越大

我们的建议是:

当你的定投扣款已累计50次后

就可以关注定投账户的收益率了

亏了就继续坚持扣款

赚钱了就考虑适时止盈

最后再多说一句

止盈后应该开启新一轮定投

股市总是冬去春来

定投也可以循环往复

这么好的投资工具,值得你用一辈子

加载中...