新浪财经 外汇

肖峰:2015.04.24交易建议

FX168财经集团

关注

【财经日历】

16:00 德国 4月IFO商业景气指数

20:30 美国 3月耐用品订单月率

【市场瞭望】

周四(4月23日)纽约盘中,在下周美联储决议临近之际,市场密切关注美国经济数据的表现。然而,与周三靓丽的房市数据相反,周四美国公布的一系列经济数据均表现疲软,这极大的打压了美元的人气,使得美元遭到市场抛售。此外,当日另一焦点地缘政治局势动荡不安,沙特阿拉伯重新对也门的胡赛叛军武装进行空袭,这对油价构成支撑,油价在此影响下再创年内新高。

具体市场走势,美元指数回落跌至一周低位97.30,受累于疲软的美国数据;油价大涨3%创年内收盘新高,中东形势引发担忧;欧元兑美元升至1.08上方,希腊忧虑暂缓且美国数据疲软;现货金价从三周低位反弹,主要因美元走软,希腊和也门局势也对金价构成支撑。

美元指数回落跌至一周低位,受累于疲软的美国数据。美元指数走软,主要因为美国公布的经济数据总体表现疲软。日内美国公布的三项主要经济数据表现均不及预期。

具体数据显示,美国4月18日当周首次申请失业救济人数29.5万人,预期28.7万人,前值29.4万人。评论指出,尽管当周初请连续三个星期上升,但相关分项数据却表明劳动力市场稳步改善;今年来初请数据呈现震荡态势是因复活节及春假等节假日打乱政府统计模型,因此四周平均初请人数被视为更好的衡量标准,而过去四周平均人数低于30万也确认劳动力市场走强趋势。

美国4月Markit制造业PMI初值54.2,预期55.7,前值55.7。对于该数据,Markit首席经济学家威廉姆森表示,此次制造业增速是今年1月以来最为疲软的一次,或表明美国第二季度经济开局不良。制造业疲软的主要原因在于出口订单下降,或表明美元走强对出口竞争力造成一定影响。尽管与去年大部分时间相比2015年制造业增速有所放缓,但商品生产领域在美元走强的背景下也并没有崩溃,因此对于经济急剧下滑的担忧或许是有所夸大了。

油价大涨3%创年内收盘新高,中东形势引发担忧。 油价周四收涨逾3%,盘中触及年内高位。之前沙特及其盟友继续轰炸也门,加剧对中东石油供应安全的担忧。油市买家押注在连续两周下降后,美国石油产量将进一步减少,这也为油价升势助力。同时,美元走疲也支撑油市和其他美元计价商品市场。

欧元兑美元升至1.08上方,希腊忧虑暂缓且美国数据疲软。欧元兑美元走高主要因为美国公布的经济数据表现疲软,同时希腊债务谈判没有形成更多的忧虑。欧市盘中欧元走软,主要因为欧元区公布的经济数据表现亦疲软。

日内欧洲央行两位官员均对欧元区经济表达了乐观的观点。欧洲央行科尔Coeure称,虽然欧元区经济复苏依然不充分,但欧洲央行QE、油价及欧元下跌提振欧元区经济。

此外,欧洲央行首席经济学家普雷特Praet称,数据显示今年经济增长将积聚动能,欧元区已经开始出现周期性复苏。欧元区经济似乎正出现"转折",潜在增速下滑使欧洲央行货币政策更加复杂了。欧洲央行信贷宽松举措显示了积极的效果。

【行情解析】

1、美元指数:

美元指数1H图。昨日,美元大幅回落,回踩97.20位置,受此支撑震荡盘整,目前仍有继续下行动能,下方支撑97.0位置。今日预计多空双方将会围绕97.0展开争夺,若继续下破,美元恐将难以扭转疲软局势,若有效支撑,则上方98.0位置为第一目标,也是重要压力位。

2、EURUSD

欧元1H图。欧元昨日一波假破位,之后反向上行,突破震荡三角区间,上方触及1.0850附近,被压制震荡盘整。上一次上攻的高点1.0850压力依然强力。今日看下方1.0780支撑位。

{交易方案1}:

若价格初次触及1.0770-1.0780,多单进场,仓位3%,止损1.0750,第一目标1.0810,到达第一目标后减仓,设保本止损继续持有,第二目标看1.0840

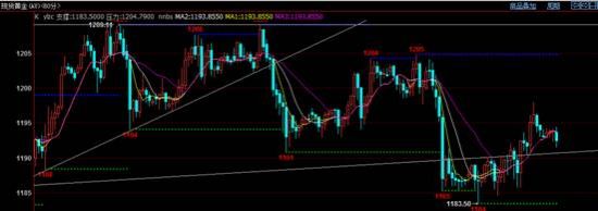
3、 XAUUSD

黄金1H图。黄金价格昨日晚盘有所起色,最高到达1198,受压力震荡盘整,目前依附于1190附近震荡盘整,修复指标。今日预计将会持续震荡,激进者可在震荡区间内轻仓多单,稳健者观望为主。

{交易方案1}:

若价格初次触及1190-1192,多单进场,仓位3%,止损1187,第一目标1195,到达第一目标后减仓,设保本止损继续持有,第二目标看1198,第三目标1204

友情提示:

为控制风险,仓内所有交易品种所占用总保证金额度不要超过本金的10%

肖峰

2015-4-24

加载中...