新浪财经 外汇

锁定外汇敞口控风险的关键:外汇期权定价模型应用浅析

新浪财经

关注
外汇K线图

外汇K线图

  来源:中国货币市场 

内容提要

外汇期权作为一种新兴金融衍生产品,现已成为国际金融市场的重要避险和投资工具。通过合理的数学模型来确定外汇期权的价格,是投资者应用期权锁定外汇敞口、控制利率风险的关键性问题。合理的期权定价的一个重要前提,是对标的物分布作准确描述。该文对三种代表性外汇期权定价模型的原理及适用条件进行简要介绍和论述。

外汇期权作为一种新兴金融衍生产品,现已成为国际金融市场的重要避险和投资工具。基本的外汇期权和所有的期权类似,本质上是一份在特定价格买卖外汇的合约。购买者有行使合约的权利但没有义务。随着市场的发展,期权的种类也变得非常丰富。通过合理的数学模型来确定外汇期权的价格就成为投资者应用期权锁定外汇敞口、控制利率风险的关键性问题。合理的期权定价的一个重要前提,是对标的物分布的准确描述。期权定价理论是现代金融理论最为重要的成果之一,本文拟对三种代表性外汇期权定价模型的原理及适用条件进行介绍和比较,具体包括二叉树模型、Black-Scholes期权定价模型和Garman-Kohlhagen模型,以期为合理运用定价模型、提高期权定价准确性提供参考。

一、二叉树模型

在金融理论中,二叉树期权定价模型提供了一个期权定价的通用数量模型。二叉树模型最早由Cox、Ross、Rubinstein于1979年提出。这个模型使用了标的资产价格随时间变化的离散时间模型。

二叉树模型的应用非常广泛,因为它能够在很多情况下使用,而其他模型往往只能针对特定的情况。这主要是因为,它是基于标的资产在一段时间内的变化,而非一个时间点的价格。因此,该模型可以用于在任意时间行权的美式期权的定价,也可用于在一系列特定时间行权的百慕大期权定价。因为它的简单性,二叉树模型已被内置于众多软件中。假设标的资产价格服从二项分布,也就是说在时间T内,二叉树模型把期权的有效期分为很多很小的时间间隔△t,并假设在每一个时间间隔△t内资产价格只有两种运动的可能:从开始的S上升到原先u倍,达到uS;或下降到原先的d倍,为dS(u和d为上升和下降的幅度,u为上升幅度,d为下降幅度)。其中,u>1,d<1以及ud=1。价格上升的概率假设为p,下降的概率假设为1-p。二叉树模型的基本思想是利用离散的模型来模拟资产价格的连续运动,然后利用均值和方差匹配来确定相关参数,最后从二叉树图的末端一直往回倒推,求出当前期权的合理价格,而这种假设也较符合实际情况。

单期二叉树模型为二叉树模型的基础,反映一个时间间隔的资产价格变化情况,而对于多期二叉树来说,需要推导得到n步二叉树模型的通式,以从后往前推的方法为目前的期权定价。即依赖于期末时刻经过不同路径的股价相对应的期权价值,

时刻的期权价值由it时刻的期权价值通过贴现得到,利用数学归纳法推导出n步二叉树期权的现值为

上述二叉树模型的推导建立在无风险利率固定不变的假设前提下,基本思想是由期权的空头与资产的多头构成一个无风险的资产组合。期末的组合价值再以无风险利率贴现,得到初始时刻的期权价值。但在实际应用中,期权有效期内的无风险利率并不是固定不变的,由于无风险利率的变动可以改变资产价格变动的概率,因此需要探究各个时段的无风险利率来为期权定价。

二、Black-Scholes期权定价模型

期权定价模型中最具影响力的当属Black-Scholes模型。作为外汇期权定价模型的基础,该模型由Fischer Black和Myron Scholes于1973年在美国提出,并获得1997年度诺贝尔经济学奖。

Black-Scholes方程的确定是建立在标的资产价格服从几何布朗运动的假设上的。简单的说,布朗运动是一种最简单的连续随机过程,它是描述资产价格随机性的基本模型。因此可以说资产价格是一个随机过程,而对于期权或其他衍生品这些金融工具,它们的价格是相关资产价格的函数。伊藤引理提供了对随机过程的函数做微分的框架。通过伊藤引理,可以写出金融衍生品价格的随机微分方程,通过对其求解便可以得到衍生品价格的模型。基于上述理论,推导出Black-Scholes计算期权价格的基本公式如下:

著名的Black-Scholes期权公式在金融衍生工具定价研究领域占有非常重要的位置,然而Black-Scholes期权公式在实际应用中存在缺陷,主要是假设股价回报率的波动率为常数。而实际数据表明,股价回报率分布呈现两个显著特点:尖峰和厚尾,不符合标准正态分布的特征。相比而言,Black-Scholes期权定价模型属于解析法,而二叉树期权定价模型属于数值法。Black-Scholes期权定价模型在期权的交易策略中给出了较为清晰的定量分析,得到了一个确定的解析值,在期权的数量较少时,利用Black-Scholes期权定价模型较为方便。但是Black-Scholes模型在很多情况下无法得到期权价值的解析值,这个时候就要用到数值方法,但二叉树模型的计算量大且效率较低。其次,从应用的方面来看,二叉树定价模型的应用范围较广,而Black-Scholes模型只适用于期权到期执行的情况,即只能为欧式期权定价而不能应用在美式期权上。二叉树模型是基于标的资产在一段时间内的变化而不是一个时间点上的价格,所以二叉树模型可以用在任意时间行权的美式期权以及可在一系列特定时间行权的百慕大期权的定价上。从这个方面来看,在实际定价时,二叉树模型对于财产保险这类现金流产生时间不确定的资产更为适用。第三,和Black-Scholes模型相比,二叉树模型的透明度较高且能够根据实际情况快速作出调整。在二叉树图中可以清楚地看到每一步结果,且可以很容易地理解这种定价思想,而在Black-Scholes模型中则很难看到标的物价格和期权价值的变化。

三、Garman-Kohlhagen模型

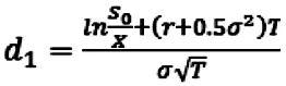
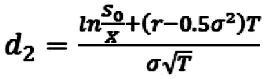
由于外汇期权中存在两个利率,即本国货币利率和外国货币利率,它们的差值以及相对变动会对汇率产生很大的影响,因此,需要对Black-Scholes期权定价模型作出一些修正。1983年Garman和Kohlhagen对Black-Scholes期权定价模型进行了修正,推出了 Garman-Kohlhagen模型,用以计算欧式外汇期权的定价。模型的具体描述如下:

其中,r:本国无风险利率,R:外国无风险利率,C:欧式买权价格,S:现在的即期汇率,E:外汇期权协定汇率,T:距到期日的时间,

:以复利计算的外汇年收益率方差,N(d1)和N(d2):累积正态分布函数。Garman-Kohlhagen模型的实现需要一定的假设条件:(1)模型中期权的选择必须是欧式期权;(2)市场是完美的,交易成本和税金是零;(3)外汇价格服从几何布朗运动,波动率

恒定;(4)本国无风险利率r、外国无风险利率R和股票收益的变动幅度,在整个期权有效期内是常数。

鉴于Garman-Kohlhagen模型在实际交易中的重要意义,本文对该模型进行了实证检验,以观察现实中的期权定价实际值与此模型理论值的差异程度。通过实证检验笔者发现,根据 Garman-Kohlhagen模型计算出来的理论价格和实际价格拟合程度很高,但二者之间还是存在一定的偏差,即预期偏差。这主要是由系统性偏差造成。主要原因包括:

1.关于交易成本的问题:由于理论值忽略了税收和交易成本,在同样的约定汇率下,只有当实际值与交易成本之和等于理论值时才会产生交易,所以实际值应该小于理论值。在实际交易中可以发现,在即期汇率附近,不论买权还是卖权,实际值都会与理论值有所偏离,一般小于理论值。

2.关于外汇期权协定汇率的问题:在选取外汇期权约定汇率时,所采用的数据一般并非是决策时候采用的即期汇率。因为每个人的风险偏好程度不同,所以每个人在决策时所采用的即期汇率也不同,实际的执行价格可能在当天的最高价与最低价之间。

3.关于外汇年收益率波动率的问题:外汇年收益率的波动率是利用历史数据的方差来估计的。但是对于历史数据期限范围及取数频率的选取,每个人的方法可能都不尽相同。并且在推导过程中默认了历史数据可以代表将来,这种做法本身就会带来一定的误差。此外经济环境发生改变也会使得一些历史数据不再具有参考性,从而造成很大差别。

尽管Garman—Kohlhagen模型并不是十分的精确,也并不能完美地描述现实,但它仍是实际期权交易中不可或缺的定价工具。

综上所述,期权定价模型各有其优缺点,所以在实际应用中我们可以综合考虑不同定价模型的适用条件,合理选用不同的工具,也可以将模型结合运用以使定价结果更为合理。

作者:田琦程,江苏银行资金营运中心

加载中...