诺奖获得者诺德豪斯最新成果:社会碳成本
A.综合评估模型
自然科学和社会科学的许多领域都涉及将多个物理或社会网络连接在一起的复杂系统。环境问题尤其如此,因为环境问题本质上植根于自然科学,需要社会和政策科学以有效和高效的方式加以解决。气候变化科学和政策就是一个很好的例子,它涉及大气化学和气候动力学等各种各样的科学。
随着对不同领域的理解不断加深,越来越有必要将不同领域联系在一起,以制定有效的理解和有效的政策。在这一角色中,综合评估分析和模型起着关键作用。集成评估模型(IAMs)可以定义为将来自两个或多个领域的知识集成到单个框架中的方法。这些有时只是理论上的,但确实有效。
B. DICE-2023
DICE模型在经济增长理论的框架内看待气候变化。在标准的新古典主义最优增长模型拉姆齐模型中,社会对资本进行投资,从而减少今天的消费,以增加未来的消费。DICE模型对Ramsey模型进行了扩充,纳入了气候投资,这与标准模型中的资本投资类似。该模型包含了从经济活动和气候变化造成的排放到破坏的过程的所有要素。
DICE模型(气候与经济动态综合模型)及其区域版本RICE(气候与经济区域综合模型)自1990年左右首次提出以来,已经过了多次修订。最新发布的版本是RICE-2010 3和DICE-2016模型,本研究描述了DICE的修订,而RICE(与杨自力联合)的更新版本将很快推出。我们首先描述DICE-2023模型,然后提供详细的方程。本节大量借鉴了早期的讨论(见Nordhaus 2017,2018,2018a)。
IAMs可分为策略优化模型和策略评估模型两大类。政策评估模型通常是递归或均衡模型,产生重要变量的路径,但不优化经济结果。政策优化模型具有目标函数或福利函数。
DICE模型主要是为策略优化而设计的,尽管它也可以作为给定策略的评估模型运行。在这两种情况下,方法都是最大化经济目标函数(问题中隐含的目标)。对于DICE模型,目标函数是指与消费路径相关的经济福祉(或效用)。优化的使用可以从两方面来解释:首先,从积极的角度来看,作为一种模拟竞争市场系统行为的手段;第二,从规范的角度来看,这是一种可能的方法。
在DICE模型中,假设世界或个别地区具有定义明确的偏好,用社会福利函数表示,它对不同的消费路径进行排名。社会福利函数在每一代人的人均消费中是递增的,而消费的边际效用是递减的。一代人的重要性。
不同代人的相对重要性受到两个中心规范参数的影响:社会时间偏好的纯粹率(“代折”)和消费边际效用的弹性(简称“消费弹性”)。这两个参数相互作用决定了商品的贴现率,在维度上与实际利率相同,这对跨期经济选择至关重要。在建模中,我们将规范参数设置为与观察到的由市场利率、风险和资本回报率所反映的经济结果一致。折现率的选择是关键。
DICE模型假设,经济和气候政策的设计应使消费流动随着时间的推移而优化。必须强调的是,消费应被解释为“广义消费”,它不仅包括传统市场商品和服务,如食品和住房,还包括非市场项目,如休闲、健康状况和环境服务。它还可能包括非人类因素,如其他物种或生态系统的福利。5我们在DICE模型中增加了对平衡的解释。我们指定了基准情况,以便从概念的角度来看,它代表了当前存在的市场和政策因素的结果。换句话说,基线模型试图从描述性的角度预测主要经济和环境变量的水平和增长,就像现有的气候变化政策一样。基线与“无控制”政策不同,如上世纪60年代可能存在的那种政策,在任何地方都没有针对减缓气候变化的政策。同样的。
最后,我们要强调的是,这种方法并不为政策的社会可取性或在现有条件下的空间或时间内的收入分配提供理由,就像海洋生物学家通常不会对鲸鱼或小鱼的饮食习惯的公平性作出道德判断一样。
接下来我们建立模型的方程。我们将把主要修订和次要修订区分开来。这一节是技术性的,如果您希望获得重要的结果,可以跳过这一节。
A. 目标
首先,我们假设政策的选择是为了最大化经济福利的一般概念。更准确地说,我们最大化了一个社会福利函数W,它是人口加权人均消费效用的贴现和,其中c是人均消费,L是人口,Ψ是贴现因子,所有这些都将在我们继续讨论时讨论。

在选择目标函数的基础上还有几个进一步的假设。首先,它涉及消费“效用”的具体表现。DICE模型假设效用由常数弹性效用函数表示,如式(2)所示。

请注意,在这里和下面,我们已经包括了方程的实际参数,括号中有数值项,例如[1.5]。
这个方程假设消费边际效用的弹性为常数ψ。弹性是表示不同年份或不同世代消费的可替代性程度的参数。如果ψ接近于零,则不同代的消费接近6个替代品;如果ψ很高,那么消费就不是紧密的替代品。通常,ψ也会被用来表示风险规避,但这是两个截然不同的概念,不应该混淆。此外,弹性也不同于个人的行为特征。我们校准ψ。
第二,这个规范假设一个时期的消费价值与人口成正比。
第三,这种方法对未来几代人的经济福利进行了折扣,如式(3)所定义。

在这个规范中,Ψ(t)是贴现率,而纯社会时间偏好率ρ是贴现率,它提供了不同世代效用的福利权重。
方程(2)和(3)在DICE-2023中略有修改(特别是ρ从0.015下降到0.010,ψ从1.45增加到1.5)。其目的是降低实际利率,以反映近年来市场利率的下降。其影响是2020-2100年的平均贴现率从DICE-2016年的4.2%/年修订为DICE-2023年的3.9%/年。从时间路径来看,DICE-2023的贴现率从2020年的4.5%/年下降到2100年的3.4%/年。详细的讨论见附录G。
B. 人口、产出和生产力
经济部门是经济增长文献的标准。
与标准分析的主要区别在于气候变化建模所需的非常长的时间框架。虽然大多数宏观经济模型只能运行几年,或者在发展背景下只能运行几十年,但气候变化项目必须运行一个世纪或更长时间。其结果是,许多预测和假设都是基于非常薄弱的证据。
我们从经济增长的标准方法开始。DICE模型相对于许多模型是简化的,因为它假设了一个单一的全球商品,可以用于消费或投资。
应该广泛地看待消费,不仅包括食物和住房,还包括非市场环境便利设施和服务。区域产出和资本存量使用购买力平价(PPP)汇率进行汇总,这在经济增长和IAM社区中已被广泛接受。
下一组方程决定了世界产出随时间的演变。人口和劳动力是外生的。这些被简化为逻辑型方程。假设的增长率下降,世界人口总数接近108亿的极限。这些数字来自联合国的预测,在最近的修订中只有小幅修改。
产出是根据资本和劳动的柯布-道格拉斯生产函数产生的,并对损失和减损进行了调整。产出是根据世界银行和国际货币基金组织的估算,以购买力平价(PPP)汇率衡量的。未来的生产率增长主要基于Christensen等人(2018)的估计。技术变革主要有两种形式:经济领域的技术变革和减少碳排放的技术变革。
碳节约型技术变革体现在两个方面:第一,降低二氧化碳排放与产出的基准比率;第二,降低支撑技术的成本。

在这个规范中,Q(t)是衡量全球产出净损害和减少,L(t)是人口和劳动力投入,A(t)是全要素生产率,K(t)是资本存量和服务。8个生产函数中的附加变量是Ω(tt)和αα(tt),它们代表气候损害和减排成本,将在下一节中讨论。
C. 损害赔偿
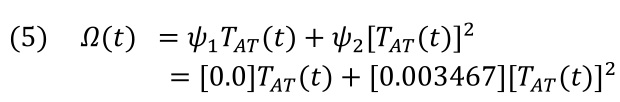
式(5)表示气候变化对经济的影响或损害,这是气候变化经济学中最棘手的问题。要想在代价高昂的减排和气候损害之间取得适当平衡,做出明智的决定,这些估算是必不可少的。然而,从长远来看,对气候变化造成的损害提供可靠的估计是极其困难的。

DICE中的损害函数被简化,并假设全球平均地表温度从工业化前水平(以1765年为中心)的增加是一个合理的、充分的损害统计量。这一规范省略了或只是间接地捕捉了累积效应(例如长期变暖而不是瞬时温度对海平面上升的影响),也省略了取决于温度变化速度的影响。损害函数也隐含地假设损害与收入成比例。根据最近的综述,我们进一步假设二次损伤函数最能捕捉气候变化对产出的影响(Nordhaus和Moffat, 2017;Hsiang等,2017)。
2023型使用了与早期版本相同的伤害结构,但包含了几项更新。
损害赔偿的第一个组成部分是对目前有关损害赔偿的文献的综合。本纲要增加了自Nordhaus和Moffat(2017)综述以来发表的研究,这些研究是早期估计的基础。我们的更新重点是Piontek等人(2021年)调查的研究,这些研究与IPCC第六次评估报告(O ‘Neill等,2022年)审查的全球损害研究密切重叠。更新后的结果表明,在比工业化前温度升高3°C时,相当于gdp的损失为1.62%,高于之前版本的1.22%。值得注意的是,构成这一估计基础的研究通常忽略了潜在的重大气候变化影响渠道,如生物多样性丧失、海洋酸化、极端事件、社会动荡等。
其次,我们增加了一项关于临界点的综合研究的结果(Dietz等人,2021年),该研究估计,由于3°C的变暖,全球产出将额外减少1%。
第三,我们将其他被排除影响的判断调整增加到3°C升温时产出的0.5%。这一调整反映了(i)对文献中尚未可靠量化的气候变化影响的担忧,(ii)不确定性,以及(iii)未反映在我们综合总体损害估计中的近期研究,如附录i所述。
全球气温比工业化前升高3°C时,产量将减少2%;6°C时,产量将减少12.5%。与2016年的模型相比,由此产生的损害系数几乎增加了两倍,并导致碳的社会成本大幅增加。
当应用于温度大幅升高时,我们在式(5)上加了一个警告标签。损伤函数已在1至4°C范围内进行了损伤估计校准。这种有限的应用范围是合适的,因为在最初的100年里,不同情况下的温度都在这个范围内。此外,气候变暖加剧的证据必然非常有限。另请注意,(5)中的二次函数形式并没有反映出对阈值损害的潜在担忧,这些阈值损害可能出现在1.5或2.0°C的升温超过Dietz等人(2021)临界点研究中包含的阈值损害。
D. 减轻
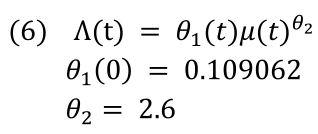
下一个方程是消减成本函数,如(6)所示。

(6)中的减排成本方程是一个简化型模型,其中减排成本是排放控制率μ(t)的函数。减排成本函数假设减排成本与产量成正比,是排放控制率的多项式函数。成本函数估计是高度凸的,这表明削减的边际成本从零开始上升,与削减率呈线性关系。截距θ1(t)表示从2020年开始将排放量减少到零所需的产出的比例,约占产出的11%。
有关该参数随时间变化趋势的讨论,请参阅本节下面的内容。
DICE模型包括一项“支持技术”,这是一项可以取代所有化石燃料的技术,尽管价格相对较高。该技术是一种良性的零碳技术。它可能是太阳能或风能,安全的核能,或一些尚未被发现的能源。从概念上讲,以保障技术为代价,经济实现了零净碳排放。
2023型号使用了与早期版本相同的功能形式。有两个小修订值得注意。
对后备技术成本的估计是有争议的,DICE模型的后备成本相对于可再生能源或碳捕获的成本估计较高。成本函数来源于高度详细的过程模型。通过对净排放为零的情况下边际成本的估计,我们可以估计出支持技术的边际成本。ENGAGE研究结果的统计分析(Riahi等人,2021年,2021a)表明,2019年的支持价格为515美元/tCO2, 2050年为515美元,这是大多数模型可以达到零净排放的最早年份。
模型假设实现零排放所需的技术随着时间的推移而不断改进。假设从2020年到2050年,保障技术的成本下降率为1%/年,之后为0.1%/年。通过设置减排-成本方程(6)中参数的时间路径,将备用技术引入模型,使控制率为100%时的减排边际成本等于备用价格。
从建设上看,零排放政策的成本由后撤技术的成本和排放产出比决定。附录中的一些代数运算表明,致力于零净排放减排的产出份额(ψ)等于:

其中,四个变量按顺序分别是是零净可减排减排的产出份额,支持技术的成本,无控制排放-产出比,以及减排成本函数的指数。零排放减排成本占2020年产出的11%,从2020年到2100年,每年下降1.7%,至2100年占产出的2.7%。
另一个修订是包括能源二氧化碳以外的排放。
这个加法基本上是消减成本函数中的标量增加。如需进一步讨论,请参阅下面关于排放的部分以及附录H。
E. 主要会计方程
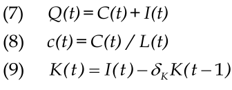
接下来的三个方程是标准的会计方程。式(7)表示产出被消费和总投资所除。
式(8)定义了人均消费量。式(9)表明,资本存量动态遵循具有指数折旧率的永续存货方法。注意,时间步长为5年,因此(9)中的系数为5年折旧。

F .排放
DICE-2023在处理温室气体排放方面进行了重大修订。在早期的版本中,只有工业二氧化碳排放是可控的(可消减的),其他温室气体和强迫被认为是外生的。这是一个合理的简化,但在低排放或零排放的情况下是站不住脚的,因为变暖潜势的很大一部分来自其他来源,如土地排放、甲烷和氯氟烃。因此,当前版本将所有“可减弱的”排放包括在内生类别中,仅将一小部分强迫排除在“不可减弱的排放”之外。关于这些方法的详细讨论见附录H。
温室气体排放的最大份额来自二氧化碳。然而,大量的过程和气体也对辐射强迫有贡献。到2020年,可削减的二氧化碳当量排放总量为工业排放的140%,到2100年下降到工业二氧化碳排放的121%。这一比率表明DICE-2023与DICE-2016相比,增加了12个可减少的排放。成本函数来自对非二氧化碳排放的减排成本函数的研究。包括土地利用和可消减的非二氧化碳排放在内,到2050年可消减的二氧化碳当量排放量将增加35%。在一个理想的世界里,这种扩展允许更大的潜在减排和实现更雄心勃勃的目标的潜力。当然,就非工业二氧化碳来源更难控制的程度而言(例如反刍动物的甲烷排放),估计的减排可能高估了现实可能的程度。
基线排放预测是总产出、时变排放产出比和排放控制率的函数。基准排放控制率反映了当前的政策,我们估计控制率约为5%或碳价约为6美元/tCO2。排放控制率由正在审议的气候变化政策决定。
(3)中的减排成本由对数线性函数参数化,该函数是根据最近对减排成本的研究进行校准的。与早期DICE模型相比,减排-成本函数的参数没有重大变化,但将其扩展到非工业二氧化碳排放是全新的,并且是基于对这些来源的减排成本函数的研究。
早期版本的DICE模型在优化中使用排放控制率作为控制变量,因为它最容易用于线性规划算法。在最近的版本中,我们还纳入了碳税作为控制变量。在考虑不确定性或使用价格型行政制度时,使用碳价格是有利的,但在确定性情况下,解决方案是相同的。
经济区块的最后两个方程是排放方程和碳燃料的资源约束。

式(10)定义了在二氧化碳当量基础上测量的可削减基准排放量。第一项是每年的工业排放量,由碳强度σ(t)乘以产量表示。第二阶段是土地利用排放的二氧化碳,每5年减少10%。第三项是可减少的非二氧化碳温室气体排放。不受控制的工业碳强度σ(t)被认为是外生的,最初以每年1.5%的速度下降。其他排放来自SSP2情景(IIASA, 2022)。在式(11)中,co2当量总排放量减少1减去上述减排率,1- μ(t)。
式(12)是CCum给出的对碳燃料总资源的限制。该模型假设增量开采成本为零,碳燃料随着时间的推移被市场有效分配,当限制生效时,碳燃料产生霍特林租金。在实践中,目前的预测表明,该约束在基准情况下不具有约束力,基准路径上的累积碳排放量略高于化石燃料碳总量6000 GtC的一半,因此该约束通常被省略。

G.地球物理扇区
IAMs的一个关键特征是纳入了将经济与影响气候变化的不同力量联系起来的地球物理关系。在DICE模型中,这些关系包括碳循环、辐射强迫方程和气候变化方程。包括这些的目的是,它们以一种集成的方式运行,而不是将输入作为来自其他模型或假设的外生输入。
下一个方程(13)到(21)将经济活动和温室气体排放与碳循环、辐射强迫和气候变化联系起来。这些关系已被证明是一个重大挑战,因为需要将本质上复杂的动力学简化为少量可以用于综合经济-地球物理模型的方程。与经济学一样,地球物理关系的建模哲学一直是使用简约的规范,这样理论模型是透明的,这样优化模型在经验和计算上是可处理的。
如上所述,DICE-2023包括一整套可消减的长期温室气体,即受控制的气体。所以,除了工业二氧化碳,可消融的气体还包括陆地二氧化碳、甲烷、氟氯化碳和其他混合良好的气体。就碳/强迫/气候模块而言,二氧化碳排放与碳循环有关,因此与强迫有关。其他温室气体直接与强迫有关,并使大气化学发生短路。这个快捷方式将在正确的力中引入小的误差,但相对于总力,这些误差的大小可能很小。
H. 碳循环
DICE-2023模型的主要结构修订是引入了DFAIR模块(下面讨论的FAIR模型的DICE版本),它代表了碳循环的动态。碳循环和气候模型是任何IAM的关键组成部分。DICE-2023在处理这些模块方面做出了重大改变,特别是碳循环。DICE和大多数其他IAMs的早期版本使用线性碳循环结构。虽然这些方法作为一种简化似乎是可以接受的,但它们没有考虑到一个重要的发现,即非大气汇吸收二氧化碳的能力随着排放量的增加而下降(讨论见NAS 2017)。
早在1957年,Revelle和Seuss(1957)就对碳饱和度进行了讨论。最新和最广泛的多模型碳循环比较是在Joos等人(2013)。这项研究表明,在100年内,5000 GtC脉冲的大气保留率为70%,而100 GtC脉冲的大气保留率仅为30%。
虽然饱和度的重要性多年来已经为人所知,但在过去十年中,一种简单的建模方法已经可用:由Millar等人(2017)开发的FAIR或有限振幅脉冲响应模型。
FAIR模型基于二氧化碳浓度对排放响应的线性四储层脉冲响应模型。FAIR模型的一个关键创新是引入了一个结构参数。tα,随着累积二氧化碳排放量的增加,该参数增加了大气中二氧化碳总排放量的15%。
虽然“储层”可能有地球物理名称(“永久的”、“长期的”等),但它们没有物理或结构解释,只是简化形式动力学方程中的变量。因此,对于负排放的场景来说很重要的一点是,储层可能会呈现负值——这一事实在FAIR的一些早期实现中被忽略了。
附录中报告的模拟表明,FAIR模型密切跟踪历史排放-浓度路径,以及小排放脉冲。然而,对于非常大的脉冲(例如,Joos等人的5000 GtC脉冲),FAIR大气保留量不能很好地跟踪整个碳循环模型。

I、气候方程
气候系统的其他方程包含辐射强迫和全球平均温度的关系。这些模型紧跟早期版本的DICE模型,变化主要包括初始条件的更新。
总体而言,现有的气候研究模型过于复杂,无法纳入经济模型,特别是用于优化的经济模型。相反,我们采用了一个小型结构模型来捕捉温室气体浓度、辐射强迫和气候变化动态之间的基本关系。温室气体的积累通过辐射强迫的增加导致地球表面变暖。温室气体积累与辐射强迫增加之间的关系由经验测量和气候模式得出,如式(18)所示。

F(t)是自1765年以来来自CO2和其他温室气体等人为源的温室气体总辐射强迫的变化。FEX(t)是来自不可消减的温室气体和其他来源的外源强迫,FABATE(t)是来自可消减的非co2温室气体的强迫。(这些来源已经在上面讨论过了。)该方程使用1765年估计的碳储量和温度作为工业化前的平衡。我们省略了对非二氧化碳温室气体处理的描述,这在附录D中讨论。
气候模块使用由IPCC AR5开发并在Millar等人中参数化的温度对辐射强迫响应的双箱模型(2017)。该结构与早期版本的DICE模型中使用的结构相似,但已进行了修订,以使用AR5和Millar等人的方程结构。在这种方法中,较高的辐射强迫使大气层变暖,从而使上层海洋变暖,逐渐使深海变暖。系统中的滞后主要是由于不同层的扩散惯性造成的。最新版模式将IPCC第六次评估报告(2021年)的平衡气候敏感性(ECS)和瞬态气候响应(TCR)气候敏感性调整到IPCC范围的中心,ECS为3.0°C, TCR为1.8°C。修改后的模型方程:


J.计算和算法方面
与使用递归时间步算法的气候模型等物理科学模型相比,IAMs在计算上通常比较复杂。DICE模型是一个具有非线性不等式和等式约束的非线性优化问题。通常使用GAMS建模系统中的CONOPT或NLP求解器来求解模型(参见Brooke et al 2005)。这是基于广义简化梯度(GRG)算法。
基本方法是在线性化非线性方程的算法中嵌入线性规划算法。虽然这个算法不能保证解决方案是全局最优的,但我们多年来的经验并没有建议除了算法找到的解决方案之外的任何解决方案。
该模型也可以使用EXCEL求解器运行(最方便的是使用风险求解器平台或其他高级产品)。使用EXCEL Solver也更容易理解和检测编程错误。DICE-2023尚未实施,但我们预计很快就会实施。对于500年的标准运行和11个场景,GAMS在2021年高端PC上的执行时间为12秒。
对各个领域(如碳循环)细节的更多关注带来了一个不幸的副产品,那就是多年来DICE模型的复杂性不断增加。2023年版本的变量和方程大约是1992年版本的2.5倍。然而,1992年版本、代码和计算机所用的时间是2023年版本、代码和计算机所用时间的180倍(1992年的经验在Nordhaus 1992年报告)。计算机和软件已经大大超过了建模,但这是否提高了精度还需要几十年的经验。该模型的代码和描述可以在https://bit.ly/3TwJ5nO上找到。
这个DICE模型的草图清楚地表明,它是复杂的经济和地球物理现实的高度简化表示。虽然小而全面的模型有许多优点,但由于过于简单化,它们也有很大的缺点。我们将讨论那些与生产、税收和功能形式相关的例子。
简化的一个例子是使用单一商品来代表所有的消费、投资和政府提供的商品和服务。在国际贸易的背景下,单一商品的使用尤其受到限制,因为贸易的本质是各区域商品的异质性。在衡量相对国家产出时是使用市场汇率(MER)还是购买力平价汇率(PPP)的问题上,这一点尤其重要。虽然在IAM建模中使用哪种方法的问题多年来一直存在争议,但使用PPP衡量产出现在已成为公认的最佳实践。
另一组重要问题涉及税收。最简单的模型忽略了税收体系的结构。这对能源和资本税和补贴尤其重要,因为它们对能源使用和能源部门长期决策所使用的回报率有很大影响。一些详细的国际会计准则包括了有关美国税收和监管体系的更现实的细节,但它们过于简化或忽视了国际税收体系提出的问题。税收体系的结构对于估算碳定价或征税的有效水平尤为重要,因为需要考虑碳定价与现有税收结构和监管扭曲之间的相互作用。(请特别参阅劳伦斯·古尔德及其同事的几项重要研究,例如,古尔德和哈夫斯特德,2018年)。
税收结构问题只是现实经济中许多没有反映在DICE模型中的低效率和外部性之一。这些市场失灵包括化石燃料的副产品及其对公共健康的影响、能源部门的垄断和监管、规模经济以及(最重要的)信息效率低下,例如内生技术变革。对这些低效率的处理超出了DICE模型的范围。
许多简化也被隐藏在模型的功能形式中。
例如,DICE模型依赖于Cobb-Douglas函数来表示生产过程。这很可能高估了某些领域的替代,而低估了其他领域的替代。此外,它可能建议替换的平滑程度,这在只有少量流程时是不存在的,在这种情况下,活动分析框架将更可取。
我们必须把这些对过度简化的担忧放在所提出的问题的背景下考虑。模型的目的不是成为真实世界流程的精确副本。除了不可能实现这一目标外,更详细的细节实际上对许多目的来说都不那么有价值。
相反,模型被用于洞察关键问题。例如,如果我们关心当前消费和未来消费之间的长期跨期权衡,一个相对简单的模型就可以说明这些问题。同样,为了确定与未来气候变化相关的不确定性,模型必须足够小且易于管理,以便可以估计不确定性(包括不确定变量的共变),并可以使用蒙特卡罗或其他技术来捕捉所有主要的不确定性。然而,对于许多其他问题,例如税收政策变化或国际贸易或碳泄漏或国际合作的影响,需要更多的细节来捕捉国际和部门对政策变化的反应。
像DICE模型这样的综合评估模型具有广泛的应用。其中最重要的是:(1)做出一致的预测,即系统不同组成部分的输入和输出一致;(2)计算替代假设对产出、排放、温度变化、影响、价格和经济增长等重要变量的影响;(3)以一致的方式追踪替代政策对所有变量的影响;(4)估计替代策略的成本和收益;(5)估计与替代变量和策略相关的不确定性。目前的研究提出了如下一套情景。
基线:在这种情况下,截至2023年的现行政策将无限期延长。这种方法是预测(比如政府预算)的标准方法,也适用于气候政策不断变化的世界。如上所述,基准假设二氧化碳排放的平均价格约为6美元/tCO2,或全球减排率为可消减温室气体排放量的5%。“基准”情景预测碳价格每年增长1%。
无控制:我们有时会提到“无控制”路径。这是一个零碳价格的运行。仅供变量计算时参考,不作为评估的场景。
成本效益最优(C/B最优):在此情景下,气候变化政策根据成本效益分析原则使经济福利最大化,从2025年开始所有国家都全面参与,没有气候限制。C/B最优方案涉及减排成本的现值和减少气候损害的收益的现值之间的平衡。尽管基本假设是高度乐观的,但这一情景提供了一个效率基准,可以用来衡量其他政策。(注意,这个场景在早期版本中被称为“最佳”。我们添加了“成本-收益”修饰词,以强调它依赖于货币化的影响,并使用标准的经济学方法来实现福利最大化。它不同于其他依赖于预防或阈值避免原则的方法。)
温度限制:在这种情况下,C/B最优策略的实施受到进一步的约束,即全球温度不高于工业化前水平2°C(或其他目标)。“温度限制”情景是C/B最优情景的变体,它建立了一个预防性约束,即不超过特定的温升。
根据目前的假设,如果不不切实际地增加减排或灾难性地减少产出(见下文碳价格结果),将温度限制在1.5°C以内的设想是不可行的。
可选折扣率。关于贴现的假设极具争议,对政策有重大影响。我们通过设定每年1%、2%、3%、4%和5%的固定贴现率来考虑基准的替代方案(上面讨论过)。这些模型是通过调整偏好函数的参数来匹配校准的实际利率。
交替损伤函数。DICE损伤函数被批评遗漏了一些重要的损伤。因此,我们使用Howard和Sterner(2017,2022)提出的另一种损伤函数。损伤函数的结构与DICE版本相同。虽然Howard和Sterner有几个潜在的结果可供选择,但在他们的首选估计中,一个合理的中间地带是在3°C上升时9%的伤害/输出比。该温度损伤系数比当前DICE模型中使用的温度损伤系数大3倍。虽然我们对背景论文中简要讨论的样本和程序有保留意见,但结果是对损害文献和影响的合理和更悲观的看法。
巴黎协定。2015年的《巴黎协定》制定了一项政策,旨在将气候变化限制在比工业化前水平高2°C的范围内。为了实现这一目标,根据《巴黎协定》,各国同意通过“国家自主贡献”尽最大努力。例如,中国宣布将在2030年将碳强度在2005年的基础上降低60 - 65%。
在分析过程中,假设各国根据截至2022年夏季的修订认捐在2030年实现其国家贡献目标。然后,我们考虑2020年至2030年排放控制率的隐性变化(总体每年约1个百分点),并预测2030年至2100年排放控制率每年略低于0.5个百分点的增长。应该强调的是,2030年以后的任何预测都不依赖于国家承诺,而且《巴黎协定》建模者的预测差异很大。这一设想假设所有国家都实现了其目标,并通过统一的碳价格体系或国家排放上限体系以及国家内部和国家之间的完全排放交易来实施承诺。我们注意到,所有这些假设都是高度乐观的。
所有场景都内置了一些重要的约束条件。一个制约因素是气候政策的实施有限制。其中包括每五年最多提高12%的排放控制率。
此外,到2120年,排放控制率限制在100%,之后限制在110%。控制限制来自强调高分辨率IAMs和极高碳价格的运行。最后,所有的情景23都假设100%的参与者参与协调和全面的碳价格。这些关于政策,特别是参与和协调的假设显然是极端乐观的,与国家行动和国际协议未能达到理想的情况相比,这些假设将降低成本和更好地执行目标。
我们现在报告一组有代表性的结果。除了1.5°C极限之外,所有情景都很顺利,1.5°C极限处于可行性的边缘,产生了异常结果,因此在本讨论中略过。
A. 排放、浓度、温度
对于主要结果,我们报告了基线、C/B最优、2°C和巴黎政策。表1和图1报告了不同情景下CO2排放的结果。很明显,要实现任何一个目标,轨道都需要迅速下降。
表2和图2报告了不同情景下CO2浓度的结果。目前的政策基线远远高于实现政策目标所需的轨迹。请注意,《巴黎协定》将使碳浓度降低约三分之一,达到2°C的目标。
表3和图3报告了不同情景下全球气温上升的结果。基线(当前政策)2100年的温度变化为3.8°C。2100年C/B最佳运行温度变化为2.7°C。C/B最佳温度变化明显高于2℃运行时,因为在该温度变化下,损伤虽然很大,但不会急剧增加。到2100年,《巴黎协定》将使气温上升速度从基本路径降低约三分之一,达到2°C的目标。请注意,这些温度计算略高于传统测量,因为它们使用了工业化前(1765年)的基线,而不是后来的基准。
B. 政策和对收入的影响
接下来,我们将展示关键的政策变量(下一节将讨论碳排放的社会成本)。表4和图4显示了排放控制率的结果。请记住,这适用于所有的二氧化碳排放以及可减少的非二氧化碳温室气体排放。由于现行政策的薄弱,本世纪的基准排放控制率很低。2050年政策的排放控制率为25%,40%,巴黎、C/B最佳目标和2°C目标的58%;2100年,巴黎、C/B和2°C的最佳目标分别为45%、76%和99%。这些比率相对于早期的DICE模型和目前的一些模型是低的,因为控制气体的综合性质,因为运行假设完全的效率和政策参与,如上所述。
表5和图5显示了碳价格(二氧化碳排放的价格)的结果。这些指标反映的要么是全球上限排放的交易价格,要么是全球碳税的统一水平。2022年的基准价格估计为6美元/tCO2(2019美元)。2040年C/B最佳、巴黎和2°C的政策价格分别为90美元、47美元和155美元/tCO2。在这些计算中,平均碳价格相对于其他估计是适度的,主要是因为排放控制率较低。还要注意的是,鉴于当前全球价格约为6美元/吨二氧化碳,价格上涨受到政策的限制,我们认为全球价格的上涨是可行的。
我们注意到,在现实主义和模式的限制下,1.5°C情景是“不可行的”。例如,我们删除了测试运行中排放控制率的约束。在不受约束的情况下,1.5°C的限制得到了满足,但这需要将全球统一碳价格从2020年的6美元/tCO2提高到2040年的400美元/tCO2。目前的经济成本几乎是1千万亿美元。虽然这一目标的可能性还可以再争论几年,但争论很快就会结束,因为这一目标很可能在本十年结束之前获得通过。
图6显示了与不同温度轨迹相关的损伤(以输出的%表示)。在基线(当前政策)情景下,到2100年,年损失将达到产出的5.0%。延长后的巴黎计划在基线基础上有所改善,到2100年将减少3.7%的产出。与当前的政策方案相比,C/B最优方案减少了一半的损害,到2100年,损害-产出比为25,为2.6%。2°C的极限情景的损害率为输出的1.4%。
表6显示了每次运行的总“财富”。这些被计算为消费的现值(技术上,这是校准到第一期消费的效用现值)。高效项目的利害关系绝对很大,但相对较小。C/B最优方案增加了107万亿美元的财富,略低于一年的产出。C/B最优方案与2°C方案之间存在微小差异,因为排放路径相似。巴黎计划做出了实质性的改进。
C. 碳排放的社会成本
气候变化经济学中最重要的一个经济概念是碳的社会成本(SCC)。这一术语指的是每多排放一吨二氧化碳或其当量所造成的经济成本。
更准确地说,它指的是每增加一单位二氧化碳当量排放所带来的经济福利折现值的变化。SCC已成为气候变化政策的核心工具,特别是在确定涉及温室气体排放的监管政策方面。对SCC的估计必然是复杂的,因为它们涉及排放、碳循环和气候变化的全方位影响,还包括气候变化造成的经济损失。
SCC的数学原理如下。取DICE模型的方程,得到t时刻的SCC:

关键的定义在中间项。分子是t时期排放的边际福利影响,而分母是t时期单位总消费的边际福利影响。这两个变量的比值给出了(22)的第三项,其中SCC等于单位排放在t时期消费的经济影响26 numéraire。在实际计算中,我们取(22)的离散近似。
请注意,SCC是时间索引的,因为排放的边际损害随时间而变化。表7和图7显示了对碳社会成本(SCC)的估计。
表7和图7显示了对碳社会成本(SCC)的估计。
2020年期间基准SCC为61美元/tCO2(以2019年国际美元计算)。这高于53美元/tCO2的C/B最佳运行的SCC,因为在C/B最佳运行中损害较小。这远远低于摄氏2度时85美元/吨二氧化碳的最高限额。在受温度限制的运行中,较高的SCC反映了经济学的解释,即严格的温度极限相当于在温度极限处具有急剧扭结的损伤函数,因此在超过2°C时,损伤函数会急剧升高。请注意,当前DICE版本中SCC的估计显著高于早期年份,原因在其他部分中讨论过,请特别参阅下一节。
最具指导意义的发现之一涉及折扣对SCC和其他政策的重要性。表7显示了折扣对SCC的强大影响。以5%折现率计算的碳社会成本是DICE C/B对2020年最优估计的三分之二,而以1%折现率计算的碳社会成本是DICE C/B对2020年最优估计的8倍。
此外,图8将SCC的估计值与其他几个当前值进行了比较。GIVE模型是由“未来资源”的研究人员使用产出的概率估计和损害估计的其他组成部分编制的综合估计(Rennert et al, 2022)。它使用相对较低的贴现率,并有相对较高的社会碳成本。第二套评估与联邦政府使用的SCC有关,由一个跨部门工作组编制。图8显示了EPA(2022)的SCC估算草案,包括总体评估和基于DSCIM模型(气候影响实验室,2022)的特定损害模块,近期贴现率为1.5%至2.5%。在打折假设的条件下,EPA的估计与DICE-2023的估计非常接近。图8还显示了基于早期方法和模型的更新草案(OMB, 2021),这些方法和模型不包含建议的方法更新。这一估计值明显低于DICE-2023中的相应值。从图8中可以看出贴现率在确定SCC中的重要性。
D. 与早期DICE版本的比较
我们在表8中显示了当前建模结果和早期版本的有限比较。这两个比较分别是1992年的原始DICE模型和最新版本DICE-2016。表8的面板A显示了到2015年的预测比较,而底部是到2100年的预测比较。
从A组到2015年,也就是历史,1992年的模型对浓度和温度的预测非常可靠,但对排放的预测只是中等水平。2016年的版本对2015年的所有变量都表现良好(但模型是在实际数据可用之前构建的)。对于2100年的预测(仍是遥远的未来),在最新模型中,基准二氧化碳工业排放和浓度已被向上修正,而在最新模型中,温度变化很大,并被向下修正。
产出预测的历史是一场彻头彻尾的灾难。这一变化的主要原因是市场汇率向购买力平价汇率的转变。另一部分——如表8B的最后一行所示——是对世界产出的时代精神的修订。请注意,这是人口预测略低和人均产出预测高得多的结合。这一修正反映了上世纪80年代对增长的高度停滞主义观点(如《增长的极限》),以及2010年代末更为稳健的增长评估。对2100年的最新评估略有下降,反映出去全球化、大流行病的影响以及对各种冲突持续存在的担忧。
多年来DICE模型结果的一个主要变化是对碳的社会成本的估计不断上升。最初的DICE-1992模型没有计算SCC, SCC后来被应用到气候变化经济学中。
然而,重新运行1992年模型的基线情景得出的估值为18美元/tCO2,而2023年模型的估值为61美元/tCO2(以2019年美元计算)。向上修正是对损害、贴现率和产出水平不断发展的科学理解的一个显著例证。进一步的研究将提供一个分解的变化来源在SCC由于不同的成分。

表1。不同情景下CO2排放的结果。
(a) 注意到1.5°C情景会灾难性地减少产出以减少排放

图1所示。不同情景下CO2排放的结果。

表2。二氧化碳浓度,百万分之一(ppm)

图2二氧化碳浓度,ppm

表3不同情景下全球气温上升

图3不同情景下全球气温上升

表4二氧化碳和可消减温室气体排放控制率(不控制的百分比)

图4二氧化碳和可消减温室气体排放控制率(不控制的百分比)

表5所示二氧化碳排放价格(2019年美元/tCO2)

图5二氧化碳排放价格(2019年美元/tCO2)

图6气候变化影响(年度GDP损失百分比)

表6所示。全球财富总额(消费现值),2019年美元。
这些数字使用GAMS计划的目标函数,以消费现值为单位来估计政策的总体经济影响。对它们进行基准测试,使基线情景下的目标函数值等于该情景下的消费现值。

表7所示替代情景下的碳社会成本(2019美元/tCO2)本表包括1.5°C情景下的SCC,以表明为实现目标而导致的灾难性产出损失所导致的成本。

图7碳的社会成本,替代方案(2019年美元/吨二氧化碳)

图8碳的社会成本,2020年,可替代贴现率和模型(2019年$/tCO2)


表8所示DICE-2023与DICE-2016和DICE-1992结果的比较
原文信息:
Barrage, L., & Nordhaus, W. D. (2023). Policies, Projections, and the Social Cost of Carbon: Results from the DICE-2023 Model (No. w31112). National Bureau of Economic Research.
原文链接:
https://www.nber.org/papers/w31112?utm_campaign=ntwh&utm_medium=email&utm_source=ntwg21
(环境生态网)
