新浪财经

能源政策对亚太地区新兴经济体能源转型的推进作用

市场资讯 2022.09.19 07:14

原文标题:The heterogeneous role of energy policies in the energy transition of Asia–Pacific emerging economies

发表期刊:Nature energy

作者:Peipei Chen, Yi Wu, Jing Meng, Pan He, Deyu Li, D’ Maris Coffman, Xi Liang, Dabo Guan

第一作者机构:The Bartlett School of Sustainable Construction, University College London, London, UK

出版年份:2022

由于新兴经济体的快速发展,亚太地区(Asia–Pacific, APAC)已经贡献了当前全球能源消费量、碳排放量的一半以上。尽管APAC在过去二十年中已经制定了大量能源政策,但由于对传统化石能源的过度依赖,该地区能源系统转型进展仍然缓慢。在此背景下,系统性评价APAC各类能源政策对能源系统转型的影响,能够为决策者在未来制定更为行之有效的能源政策提供可靠的参考。

现有研究主要侧重于分析OECD国家或发达国家的能源转型进程,APAC新兴经济体并没有得到太多的关注。由于APAC新兴经济体在制度、经济发展水平和自然资源等方面存在显著的差异,能源政策框架和监管环境有较大的不确定性,从区域角度衡量APAC各新兴经济体能源政策与能源转型之间的关系将是一项有挑战性的工作。

因此,Chen et al. 使用应用统计的方法评价了现有能源政策对APAC地区新兴经济体能源结构转型进展的影响。该研究首先使用可持续发展目标 7Sustainable Development Goal 7, SDG7)指标跟踪亚太地区新兴经济体能源转型进展情况。在亚太能源政策数据库的基础上,该研究构建了亚太地区42个新兴经济体的2112项能源政策面板数据集,通过双向固定效应模型和反事实情景的构建,量化了能源政策对能源转型的影响。

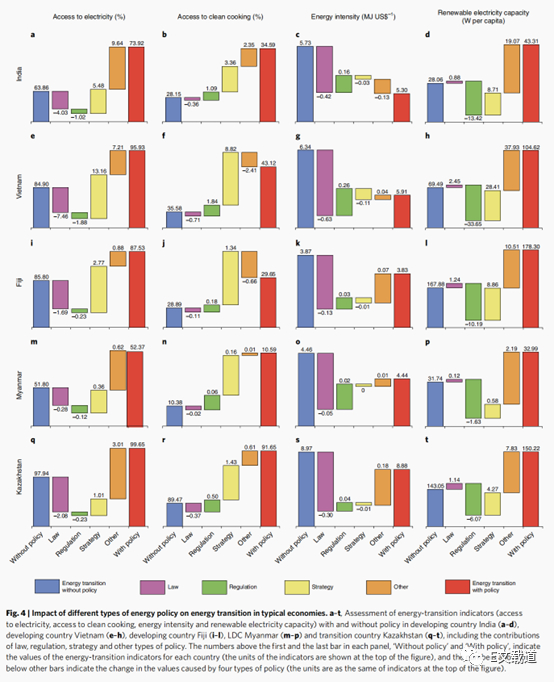
结果显示,自2000年以来,现有能源战略对亚太地区电气化发展、清洁烹饪、能源效率提高、可再生发电容量有不同程度的推进作用(Fig3),且各国能源转型进程存在明显的异质性。其中,印度、越南、菲律宾和泰国能源转型方面进展最快,原因在于这些国家能源政策制定数目较多,且有能力保障能源政策的执行。也有一些APAC国家的能源政策效果微弱,并没有在能源转型进程中起到明显作用。

该研究进一步将亚太地区的能源政策按照战略、法律、法规和其他四种类型分类,并讨论以上四种能源政策类型对各国能源转型的推动效果(Fig4)。总体而言,法律能够更有效地提升能源效率,而能源战略则在推进电气化、清洁烹饪和可再生发电容量的发展中起到更重要的作用。以越南为例,该国在近十年来推出了一系列中长期发展战略,有效促进了该国电气化发展和可再生能源的应用。

亚太地区能源转型仍处于不成熟的阶段,经济增长高度依赖于化石能源的消费,各国应针对自身需求制定不同的能源政策组合。针对处于能源转型早期阶段的国家,制定能源战略以提高电气化水平是促进能源转型的有效途径。而能源转型进程相对成熟的国家应在能源战略的基础上及时修订相关法律法规以进一步提高能源效率。

来源:E文载道

(环境生态网)

加载中...