新浪财经 宏观经济

“室温超导”爆了!刚刚,中科院物理所火线发文!复旦教授:成果若证实,是诺奖级别!

市场资讯 2023.03.09 13:51

来源:上海证券报

北京时间3月8日,由美国罗切斯特大学科学家Ranga Dias领衔的团队在美国物理学会3月会议上宣布,该团队研发的超导体(由氢、氮和镥组成的材料)在近环境压强(1Gpa,一万个大气压)下实现了室温超导。由于这一发现可能颠覆多个传统行业,给人类科学文明带来巨大改变,一时间全球科技圈为之震动。

有消息称,上述成果发布时,所在的会议室越来越拥挤,直至保安出于安全考虑在门口拦人,多位物理界人士也都被堵在门口不让进。

今日,中科院物理所在其微信公众号上也发表了文章,科普了关于室温超导的知识。

与此同时,A股投资圈的小伙伴们也连夜学习和重温基础物理知识,并在各个群展开热烈讨论。然而,9日上午交易时间,西部超导联创光电中超控股等“超导概念股”却高开低走。

应用表面物理国家重点实验室常务副主任,复旦大学物理系教授李世燕在接受上海证券报记者采访时表示,该发现还有待证实。如果被证实,由于其所需压力也不算高(此次的合成和测试条件跟之前相比已经宽松很多),这将是诺贝尔奖级别的成果。从应用场景来看,虽然是室温超导,但是因为需要上万个大气压,其应用的场景会极为有限。目前最重要的还是其他研究组来证实该发现。

室温超导意味着什么?先要从超导体说起。

几乎所有导体都存在电阻,而电阻的存在会耗费局部电能,以热的方式散失。这使得从日常小电器到特高压电线,无不存在电能损耗。

超导体却意味着一种不存在电阻的状态。没有电阻就不会产生焦耳热,因此超导体可以应用于大规模集成电路,制备超导计算机;能够承载较大电流而不会有电流损耗,取代现有的高压输电线、制造超导电机等。

超导体还具有完全抗磁性和约瑟夫森效应两个特征。磁悬浮列车就应用了完全抗磁性原理,列车和轨道上装备的超导磁体使列车悬浮在空中。通过改变轨道上磁场的取向,可以使列车保持向前运动。利用约瑟夫森效应,可以制作超导量子干涉仪,用于测量非常微小的磁信号。

早在1911年,荷兰物理学家卡末林·昂内斯(Heike Kamerlingh Onnes)就已发现,当温度降低至4.2K(约-268.95℃)时,浸泡在液氨里的金属汞的电阻会消失。但至今,超导材料都未获大规模应用,极端温度始终是材料进入超导状态的必备条件。

室温超导如果能实现,无疑会带来巨大突破。但早在2020年,Ranga Dias团队就石破天惊地宣布,研发出一种新型含碳的硫化氢材料,可在室温下实现超导。但这种新材料提出了另一极端条件——267GPa(267万个大气压)的高压。如此高压的实现难度和成本,都远超极端温度。

更具乌龙色彩的是,上述研究成果当年曾登上《自然》封面,最终却以撤稿结束。

而今,Ranga Dias团队研发的最新材料仅需1Gpa的压强即可实现常温超导。那么,这一压强数值究竟有没有实用意义?

有人认为,这种压强要求仍不可能做成实用化导线,实现零下200度比实现1Gpa压强更容易且更经济,因此室温超导技术目前并没有产业化应用价值。有说法称,依靠普通等静压机完全可以实现1Gpa环境,超导商用已经在朝我们招手。

3月8日的《自然》网站上,再次登出这一研究。但无论如何,1Gpa的室温超导也同样有待其他物理学家验证。甚至由于撤稿前科,这一研究成果将面临更严格的审查。

北京时间3月9日凌晨,该研究的主要作者及论文主讲人、罗彻斯特大学机械工程系和物理与天文系助理教授Ranga Dias通过邮件表示,他对其团队此次的全新发现充满信心,他认为这将是一项重塑21世纪的革命性技术。

不过他同时还指出,“要将我们对室温超导新材料的发现应用到任何规模的现实世界中,还需要几年的艰苦工作。”

李世燕教授在接受上海证券报记者采访时表示,该发现还有待证实,特别是该论文的作者此前已经有两个类似的发现不能被同行重复。

在他看来,就学术方面而言,物理学家们一直都在寻找室温超导体。如果该发现被证实,由于其所需压力也不算高(此次的合成和测试条件跟之前相比已经宽松很多),这将是诺贝尔奖级别的成果。

“从商业上来说,作者自己也成立了公司,他说得很清楚,现在不会把这个样品提供给别人,他们会试图将该材料商业化。虽然从目前合成量来说,样品只有不到1mm,极微量,但因为合成条件并不严苛,不排除后期大规模合成的可能。从应用场景来看,虽然是室温超导,但是因为需要上万个大气压,其应用的场景会极为有限。目前最重要的还是其他研究组来证实该发现。”李世燕说。

延伸阅读:

有了上面这些预备知识,我们就可以一起来看一下这篇已经被发表在nature上的文章了。

看到Dias的名字了吗?最后一个

同大部分超导的文章一样,Dias研究团队对样品电输运、磁化率及比热进行了测量。

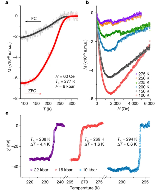
首先是电阻的测量结果,左图中给出了10、16、20kbar(1、1.6、2.0GPa)下的电阻测量结果,三个电压下电阻都降低到了0,这正是超导体的主要特征之一,需要注意的是,这里1GPa时Tc是最高的,压强越低,Tc越高,是一个令人意外的结果。插图是样品及电极图片。右图则给出了超导态与正常态的V-I曲线。

这张图是对磁化率的测量,a图是60Oe(Oe是高斯单位制中表示磁场强弱的单位,可以理解为高斯,即1T=10000Oe)下8kbar(0.8GPa)的磁矩随温度的变化图,可以明显看到其Tc为277K(4℃),b图给出磁矩与外磁场的关系,也符合超导体的特征,c图则是不同压力下的M-T曲线,这里的Tc与电阻上的保持一致,转变温度区间也很小,是非常好的转变。不过在a图中也可以看出来研究团队对原始数据做了一定处理。

这里多提一句,磁化率的测量会明显受样品形状、背底等因素的测量,理论上超导体应该表现出完全抗磁性(即4πχ=-1),但实际测量中测不到完全抗磁性(即4πχ>-1)也是可以理解的。当然Dias的文章中并没有约化,a图中纵轴是磁矩,并非磁化率。

Dias还对比热进行了测量,结果如上图所示,这里给出了10、10.5、20kbar的测量结果,可以看到,三个比热的曲线均能看到超导在比热上的转变,Tc与电阻的测量结果略有区别但完全可以理解,这个结果是合理的。不过该说不说,这个比热的转变并不算明显,尤其是10.5kbar的曲线,峰并不明显,10kbar的转变也尚不如20kbar明显。这三个比热的转变看起来也有些区别,尤其是10kbar和10.5kbar的数据,仅差了0.5kbar,但图像差异却很大。不过考虑是高压下测量的,或许有一些我们不知道的困难吧。

Dias还给出了样品的XRD(X射线衍射)结果,并绘制了晶胞图像,这当然也是必要的。

a图即XRD结果,他们采用了Mo靶,红线是理论计算的结果,圆圈是实际测量的结果,蓝线是二者的误差,看得出来,测量与计算的结果区别很小,样品可以说是一个纯相,Dias团队计算样品占比为92.25%,杂质为LuN1−δHε和Lu2O3

b图则是他们绘制的晶胞图,白色原子是氢,绿色的是镥,粉红色的是氮原子,他们给出的样品化学式是LuH3−δNε,61kbar时空间群是Fm-3m和Immm,但Dias认为超导相空间群是前者。

最后是该样品的超导相图(原文这是第一张图),Tc随着压强升高而减小,这是出乎大家意料之处,后面或许也将成为研究的重点,b图是样片形貌随着压强的变化,常压下是蓝色的,随着压强升高逐渐变为粉红,最终呈现红色,样品的颜色还是非常喜庆的。

篇幅有限,支撑材料就不带大家一起看了,感兴趣的同学可以点击链接跳转nature官网查看。

Evidence of near-ambient superconductivity in a N-doped lutetium hydride | Nature

从文章来看,这项工作无疑是突破性的,相关证据也很充足,如果能重复出来,搞不好未来能发诺奖。但物理学的研究终究不是一家之言,任何科学研究都应该经得起验证,这个也不例外,这项工作势必要经过行业内各个研究组的重复,如果经过多次重复之后,确定该结果的正确性,那将是划时代的工作。我们今年诺奖预测也就有底气了

这次的工作号称是近环境下的室温超导,通过上文,大家也能看到,Tc最高处的压强为1Gpa,大约1万个大气压,虽然还是很大,但相比于之前的270万个大气压,已经小了很多了,重复的难度也小了很多,相信已经有很多研究组已经开始着手重复实验了。

不过目前很多人对这个结果持观望态度,一方面是因为重复实验结果还没出来,另一方面或许是因为Dias之前的“前科”。

其实,在这之前,Dias就已经有了两个突破性的进展。一个是金属氢,另一个就是上一个室温超导。

Dias首先宣称自己在高压下合成了金属氢,相关文章发表在science上,但其他研究组没有重复出来,而他自己后来宣称,由于保存不当,保存金属氢的装置压力泄露,最终金属氢因为压力不足汽化消失了。后来,Dias也没有再合成金属氢。由此,金属氢可以说是成为了一桩“悬案”。

上次的氢化物室温超导也是由Dias合成的,其实现的压强高达270GPa,相关结果发表在nature上,但后续多个研究组试图重复该实验未果,并由于Dias未披露原始数据,多人认为其在磁化率的数据处理中使用了错误的方法,得到了并不能算正确的结论。因此在大家的一致抗议下,最终该文章被从nature上撤稿,当然,Dias研究团队所有成员都对该撤稿行为表示抗议,不过最终没有挽回。

正是因为这两起事件,领域内许多科学家对Dias研究团队其实持不信任态度,毕竟他们的数据结果总是比别人漂亮许多。但这次Dias给出很多原始数据,可以说全面又丰富,况且这次的成果只需要1GPa的压强,重复起来相对简单,想必我们很快就可以对该成果给出一个定论了,让我们拭目以待吧。

最近,物理界发生了一件震惊众人的大事。

闻听此言,吃瓜群众连手中的瓜都惊掉了。

为什么这件事情引起如此大的关注呢?这要从超导体的应用说起。

所以电阻会消失的对吗?

超导体:是的

根据物质的导电性能,可以将其分为导体、半导体和绝缘体。

在导体中,存在大量可以自由移动的带电粒子,他们可以在外电场的作用下自由移动,形成电流。

导体中自由的电子

在绝缘体中,电子则被束缚在原子周围,不能自由移动。

半导体则介于二者之间。

自由如导体,电子在运动的过程中也会受到原子的散射,产生电阻。

当温度降低到一定程度时,一些物质会进入一种奇妙的状态——超导态。此时电阻消失了,电子在其中无阻碍地运动。这个温度称为超导转变温度。

这个特性使得超导在应用方面大有作为:没有电阻就不会产生焦耳热,因此可以应用于大规模集成电路,建设超导计算机;能够承载较大电流而不会有电流损耗,可以制作高压输电线、超导电机等。

超导电机

除此之外,超导体还有两个特征:完全抗磁性和约瑟夫森效应。

普通导体处于磁场中时,其体内会产生一个感应磁场。而处于超导态的物质,无论外磁场如何变化,其体内的磁感应强度一定为零。

我们熟悉的磁悬浮列车就利用了这个特性超导线圈可以承载很大的电流,形成强大的超导磁体。列车和轨道上分别装备有超导磁体。当存在外磁场时,由于完全抗磁性,超导体内部会产生一个相反的磁场,使超导体内部的总磁感应强度为零。由此产生的斥力可以使沉重的列车悬浮在空中。通过改变轨道上磁场的取向,可以使列车保持向前运动。

超导电力悬浮系统

约瑟夫森效应是指两个超导体间隔很近,中间可以视为绝缘层,当距离近至原子尺度时,超导体中的电子对就可以越过绝缘层,产生超导电流。利用约瑟夫森效应可以制作超导量子干涉仪,用于测量非常微小的磁信号。

既然处于超导态的材料有这么多用途,为何没有广泛应用于生活中呢?

因为只有在特定温度之下,材料才会进入超导状态。这个临界温度非常低,往往为几十开尔文(大约零下二百多度!),这在日常生活中非常难达到,阻止了超导材料的大规模应用。

所以大家应该明白,为什么室温超导能让那么多人心中振奋了吧!

高压室温超导

是如何实现的?

回到这个举世瞩目的成果。本次出现高温超导的材料为碳(C)、氢(H)和硫(S)的化合物,其电阻随温度变化的曲线如下图:

R-T曲线

由曲线可以分析出,此种化合物仍属于常规超导体。

超导体分为常规超导体和高温超导体,其中常规超导体中电子-声子相互作用较弱,可以用BCS理论解释;高温超导体(主要包括氧化物超导体和铁基超导体),则不能用BCS理论解释。

BCS理论认为,超导态物质之所以有完全导电性,是因为低温下,电子中自旋、动量都相反的可以两两结合成对,称为Cooper(库珀)对。Cooper对在晶格中的运动是无损耗的。

那么,有读者可能会提出疑问了。电子和电子之间明明同性相斥,怎么能结合成对呢?

这是由于电子间不是直接相互作用的,而是通过晶格振动传递相互作用的:带负电的电子在运动时,会对附近带正电的晶格粒子产生吸引作用,而这些被吸引的很多带正电的晶格粒子,会异性相吸吸引来其他带负电的电子。

怎么才能使电子更容易形成Cooper对呢?当然是一个电子吸引来的晶格粒子越多越好啦!而其中最轻的粒子,也就是元素周期表的第一位:氢(H),成为最佳候选人。

固体氢的熔点为14K(约-259℃),而且低温并不超导。科学家们预测,在高压下,固体氢会由绝缘态变为金属态。由于H原子很轻,因此金属氢形成Cooper对的温度,即超导转变温度也应该很高,更可能接近室温,但所需的高压也非常高——高到现有的设备难以满足。而一些含H的化合物,则可以在目前技术水平可达到的高压下,在室温形成超导体。如2019年,德国马普所研究的氢化镧(LaH10)就可以在170GPa(170万个大气压)的高压下,实现250K(约-23℃)的超导转变温度。而本次使用的C、H、S化合物则取得了进一步突破,在267GPa(267万个大气压)的高压下,实现288K(约15℃)的超导转变。值得一提的是,此前我国科学家(吉林大学崔田、马琰铭团队)也曾经理论预测过本材料的高温超导电性。

虽然解决了温度这一难题,但又出现了高压这个难题,此次的室温超导是在267GPa的高压下达成的,这是什么概念呢?地球地心处的压力约为300GPa,267GPa已经十分接近地心压力了。这么高的压力,全世界也只有很少的实验室可以达到。

那么,这项研究是不是没什么实际意义呢?非也!这个实验可以给我们带来的启发非常非常多:启发我们思考常规超导体和高温超导体的关系、超导电子配对的机制、未来寻找新材料的方向、应用超导技术的新领域等等。而且,它还给我们描述了一个美好的未来,一个超导机理的谜团解开,真理现于世间的未来;一个常压室温超导成为现实、超导技术大范围造福于民的未来。毕竟梦想还是要有的,万一真的实现了呢?

加载中...