新浪财经 宏观经济

费兆奇 刘康│金融开放条件下国债市场的波动溢出和风险定价研究

新浪财经综合

关注

金融开放条件下

国债市场的波动溢出和风险定价研究

来源:中国社会科学院金融研究所

文章作者

费兆奇中国社会科学院金融研究所货币理论与货币政策研究室主任、研究员

刘   康:中国工商银行金融市场部副研究员,国家金融与发展实验室特聘高级研究员

摘要及关键词

内容提要:

在进一步扩大金融业对外开放的背景下,如何度量全球风险对中国债券市场的影响,以及全球风险如何参与国内债市风险定价的问题具有重要的研究价值。本文通过构建双因素波动溢出模型和多因素的条件国际资本资产定价模型,比较研究全球因素(包括美国因素和欧元区特有因素)对中国不同期限国债的波动溢出效应;并考察金融开放条件下中国国债的风险定价。研究发现,全球因素对中国国债的波动溢出效应是显著的;全球因素对中国长期国债的波动溢出效应显著高于短期国债;美国因素对中国短期国债的波动溢出效应显著高于欧元区特有因素,而欧元区特有因素对中国长期国债的波动溢出效应显著高于美国因素;经济体之间的经济趋同和货币政策趋同(/货币政策趋同)对中国长期国债(/短期国债)的波动溢出效应具有显著的解释能力;中国国债的风险价格和风险敞口均具有显著的时变特征;与美欧相比,中国国债的超额预期收益和风险价格通常处于较低的水平,但在危机时期会出现大幅飙升的现象。

关键词:波动溢出 国债市场 风险定价 预期收益

文章正文

一、引言

在中国进一步扩大金融业对外开放的背景下,全球风险对中国资本市场的冲击愈发凸显。由于美、欧等主要经济体雄踞全球金融市场定价的制高点,其市场风险的波澜变幻,直接引致全球金融市场随之震荡。“橘生淮南则为橘,生于淮北则为枳”,不同国度风险敞口之下资本市场的各异表现,引发我们对全球风险以何种程度、何种方式影响中国资本市场的思考。进而,美、欧诸国所代表与引发的全球风险如何参与中国国内资本市场风险定价等问题的研究,也展现出前所未有的现实意义。

在此背景下,国际金融研究的一个基础性问题再次引发学界的关注,即“为何不同国度的资本市场演绎着不同的预期收益?”。主流观点将其归因为不同国度风险敞口的差异。在完全开放(或完全封闭)的国际资本市场中,某一国家资本市场的预期收益完全由全球的风险敞口(或国内的风险敞口)所决定,这是国际资本资产定价模型(或单因素资本资产定价模型)成立的基础。但当某一国家与全球资本市场的联系处于开放和分割之间的某种状态时,它的风险敞口则较难量化,因为它将同时受到全球风险和国内风险的影响。这正是现实中的情景:其一,在上世纪80年代末,一些新兴市场的金融自由化改革及资本账户的全面开放,显著提升了全球资本市场对新兴市场的波动溢出效应,但波动溢出的水平仍然较低(Bekaert & Harvey, 1997),说明全球风险对这些新兴市场的影响程度依然较小。其二,部分新兴市场在开放资本账户之后,全球的波动溢出效应并不稳定,呈现出剧烈波动的现象(Park & Lee, 2011),说明全球风险对各市场的影响水平具有随时间变化的特征。其三,全球资本市场(以美国市场代替)对发达经济体的波动溢出水平虽然较高,但尚未达到完全溢出的程度(Baele, 2005),这意味着即使对于开放程度较高的发达经济体而言,资产价格依然会同时受到全球风险和本地风险两方面因素的影响。为此,在中国加速金融业对外开放的背景下,准确评估外部风险对中国市场的波动溢出水平,即中国资本市场受全球风险和国内风险的影响程度及其时变特征,已成为新形势下研究中国资本市场定价的基础性内容。

当前,国内的相关研究主要聚焦在国际股票市场(费兆奇,2014;梁琪等,2015;李红权等,2017;郑挺国和刘堂勇,2019),对于债券市场的研究却相对有限。在国际资本市场中,债券市场的市值远高于股票市场;而且,国债券市场的波动溢出效应和定价问题还将直接影响到一国财政赤字的融资成本、货币政策的独立性(Schaeffer & Ramirez, 2017)、长期利率水平(Abad, et al.,2010)以及区域市场的金融稳定(Tsukuda, et al., 2017)。从中国的实践来看,一是随着利率市场化改革的深入推进,国债市场正逐步显现出为整个金融体系提供基准利率和交易基准的价值。二是从宏观调控的角度看,国债市场是连接财政政策与货币政策,以及人民银行开展公开市场操作的基础市场。三是随着中国金融开放的提速和2017年7月“债券通”的开通,境外投资者加速进入中国债券市场,且倾向于持有风险较低的国债。境外投资者持有中国国债的比例从2017年6月的4.00%快速跃升至2019年11月的8.63%。综上分析,研究外部风险对我国国债市场的冲击程度,以及外部风险对我国国债风险定价的影响具有越来越重要的现实意义。

在完全开放的国际资本市场中,如果跨区域资产具有相似的风险特征,那么,它们应当具有相同的预期收益,从而“一价定律”成立。由于各国国债具有较多的同质性,相关研究认为不同国家的国债市场在整体上具有相似的系统性风险。在此假定下,如果市场处于完全开放的状态,那么国债的风险溢价应当相同,进而它们的到期收益率也是相同的。为此,考察不同国家国债到期收益率的差异,成为检验国债市场开放程度的一种潜在方法。相关文献将这种方法应用于检验欧元区成员国国债的开放程度(Geyer, et al., 2004;Gomez-Puig, 2009)。其中具有共性的结论是在引入欧元之后,欧元区成员国国债在区域内的联动性得到了显著提升,区域风险因素对国债的定价发挥着越来越大的作用。Pagano & Thadden(2004)发现流动性差异是欧元区国债到期收益率仍然存在差异的一个主要原因。Schuknecht et al.(2010)发现欧元区成员国与德国国债的到期收益率之差在次贷危机期间显著扩大,各国在危机期间的财政失衡问题和投资者风险厌恶程度突然提升是导致这一现象的主要因素。

然而,受主权信用差异、流动性差异等因素的影响,不同国家国债的系统性风险并非完全相同。资产定价理论认为,忽略系统性风险的差异,直接对国债到期收益率进行比较分析是有偏误的。Barr & Priestley(2004)考察了全球主要经济体国债的预期收益。他们的资产定价模型允许国债预期收益同时受到全球和本地两组因素的影响:当预期收益只受到本地因素的影响,则模型退化为资本资产定价模型(Sharpe,1964),意味着本地与全球市场是完全分割的;当预期收益只受全球因素的影响,则模型退化为国际资本资产定价模型(Ferson and Harvey, 1993),意味着本地市场完全开放。Barr & Priestley(2004)发现,主要经济体的国债市场尚未实现完全开放,而是处于完全开放与完全分割之间的某种状态。Abad, et al.(2010)检验了影响欧元区国债定价的区域因素,发现各国国债受欧元区因素的影响较大,受全球因素的影响较小。这意味着欧元区风险对各国国债的定价发挥着主导作用。Pozzi & Wolswijk(2012)发现欧元区国债在次贷危机期间受区域因素的影响程度大幅提升。但是,资产定价理论高度依赖对系统性风险的准确识别以及相应资产定价模型的设定形式,由此产生了地区风险影响权重和模型设定的“联合检验”问题,为检验结果带来了不确定性。

鉴于上述分析,本文比较研究美国因素和欧元区特有因素对中国不同期限国债的波动溢出效应、差异及影响;并将波动溢出的时变特征引入多因素条件国际资本资产定价模型,考察金融开放条件下中国国债的风险定价。本文的要点主要包括以下几个方面:

其一,基于信息溢出视角考察国债的波动溢出效应。该方法的核心思想是,在完全开放的国际资本市场中,由于不存在投资“壁垒”,本地风险(本地信息冲击)对资产价格的影响,可以通过区域内的分散化投资得以消除;由此,只有全球的系统性风险(全球共同信息冲击)才能影响资产价格的波动(Baele, 2005;李红权等,2011)。从上述文献看,一个具有共性的结论是全球的国债市场一直处于完全开放和完全分割之间的某种状态。为此,本文通过考察全球共同信息对中国国债价格即期波动的解释程度来测度波动溢出的水平,并将国债价格即期波动中不能被全球共同信息所解释的部分,归因为本地因素。“一价定律”在本质上要求,不仅不存在资本流动障碍,而且投资者可以通过交易来消除套利机会。但在实践层面,套利机会的衡量十分复杂,正如投资者倾向于投资本国资产这一长期谜题,虽消除了形式上的资本流动障碍(如资本控制措施和交易成本),但还不足以促成资本的跨国界自由流动。如果考虑厌恶风险情绪、不确定性(如汇率风险)等因素,则可在部分程度上解释投资者对本国资产的偏好问题,但是这一谜题在很大程度上依然悬而未决。因此,本文采用的信息溢出法,对波动溢出的测度标准更为严格,因为它不仅考虑了市场的开放程度,而且直接衡量了全球即期冲击在各个国债市场之间的传播程度。

其二,通过扩展双因素模型比较研究美国风险和欧元区特有风险对中国国债的冲击及其风险定价。一方面,当前对于债券市场波动溢出的研究主要集中于单因素模型的检验,即考察全球风险(通常以美国因素为代表)对本地债市的溢出效应。然而,全球风险可能过于宽泛,作为主要经济体的美、欧诸国对全球资本市场的影响或许难分伯仲(例如欧债危机)。即除美国风险之外,欧元区的特有风险仍然可能对中国债市造成系统性冲击。为此,本文基于多元GARCH模型构建“美国—欧元区”双因素模型,比较研究美国风险和欧元区特有风险对中国国债市场的波动溢出效应及其影响因素。另一方面,如果欧元区特有风险对中国国债的溢出效应是显著的,那么中国国债市场的风险定价应同时考虑美国因素和欧元区特有因素等两个系统性的外部风险。在此条件下,本文基于多元GARCH-M模型将条件国际资本资产定价模型的外部因素由全球单一风险(Barr & Priestley, 2004)扩展为“美国—欧元区”双风险因素。

其三,对不同期限国债的波动溢出效应进行比较研究。既有文献集中于考察外部风险对当地国债总体指数的波动溢出水平。然而,不同期限的国债伴随着不同的风险及预期收益,更有研究指出期限风险可以较好地解释债市预期收益的波动(Fama & French, 1996)。为此,从理论层面看,如果外部风险对不同期限国债的波动溢出效应呈现出显著的系统性差异,那么在资产定价时,不同期限国债所面临的外部风险将呈现出系统性差异。从实践层面看,基于不同期限国债的波动溢出研究,能够为决策者和国际投资者提供更多的参考依据和投资选择。

其四,通过扩展Kalman滤波体系,考察国债波动溢出效应的时变特征。Kalman滤波(Kalman & Bucy, 1961)是基于状态空间方法的一套递推滤波算法,自上世纪60年代问世以来,逐步在航空器轨道修正、导航追踪、雷达控制、传感器数据融合等诸多领域得到广泛应用。随着计量研究的不断完善,Kalman滤波在近些年受到应用经济学的青睐,例如王博森等(2016)基于可违约债券CIR仿射定价模型,运用Kalman滤波法对政府隐性担保的风险定价进行了实证考察。Kalman滤波是在测量方差恒定的情况下,实现参数的时变估计。但金融数据可能存在“异方差”特性,例如,胡秋灵和马丽(2011)研究表明中国股票市场和债券市场的波动均具有显著的ARCH效应。

为此,本文试图进一步扩展Kalman滤波体系,释放关于“方差恒定”的假设;并运用GARCH模型(Bollerslev, 1986)描述方差的系统性变化,将“异方差”引入传统的Kalman滤波体系,进而实现对国债波动溢出水平的最优估计。

其五,在既定波动溢出水平的基础上考察国债市场的时变风险和定价。准确刻画国债风险价格、风险敞口和预期收益的时变特征,不仅可以揭示风险溢价的短期波动,有助于投资者及时修正投资策略;而且,能够为中国国债收益率曲线的构建和分析提供更精确的信息。本文在研究债市波动溢出的基础上,将波动溢出的时变特征引入条件国际资本资产定价模型,该模型具有三方面的动态特征:一是允许债市的波动溢出水平是时变的,即中国债市受美国因素和欧元区特有因素的的影响程度可以随时间变化;二是通过条件方差、协方差等模型形式的设定允许债市的风险敞口(risk exposure)是时变的;三是通过信息变量捕捉风险价格的波动特征。

此外,运用信息变量对国债波动溢出的时变特征进行模拟。与Kalman滤波的估计方法相比,运用信息变量对模型参数进行模拟的估计方法,可以对引起国债波动溢出的因素进行检验。相关研究发现宏观经济波动和货币政策调整会对债券的风险溢价产生显著影响(Amihub & Mendelson,1991;王雄元等,2015;牛霖琳和林木材,2017)。为此,本文构建了反映主要经济体经济趋同、货币政策趋同的相关因子,并检验这些因素对国债波动溢出水平的解释能力。

二、研究方法和模型构建

(一)基于信息溢出视角的波动溢出模型

信息溢出法认为在完全开放的国债市场,区域内的分散化投资可以消除当地信息冲击对国债价格波动的影响;有且只有全球共同信息的冲击会对国债的价格波动造成系统性影响,即各国的国债市场所面临的信息冲击是一致的,但对信息冲击的反馈程度是有差异的。为了使全球共同信息的测量具有可操作性,需要为其寻找一个代理变量,信息溢出法根据有效市场假说(Fama, 1970),假定全球(通常以美国代替)资产价格的即期波动可以充分反映所有相关信息的变化。相关文献将这一方法应用于检验国际股票市场的波动溢出效应(Bekeart, et al., 2005;Baele & Inghelbrecht, 2010;等)。本文以该方法为起点,研究国债市场波动溢出的水平。

1.描述全球风险的“美国-欧元区”双因素模型

为了比较研究美国风险和欧元区特有风险,本文将全球单因素模型扩展为“美国-欧元区”双因素模型,其二元GARCH模型的设定形式如下:

其中,

代表国债的超额收益矩阵;

代表参数矩阵;

代表信息集合矩阵;

代表新息矩阵;。

分别表示美国和欧元区国债的超额收益。信息集合

包括常数项、滞后1期的美国(欧元区)国债超额收益和股市超额收益,长期国债到期收益率与短期利率之差、长期国债到期收益率与股市股息生息率之差(Barr & Priestley, 2004;Abad, et al., 2010)。设定条件方差矩阵

符合非对称BEKK模型(Engle & Kroner,1995)程序,

是当

时取值为1,否则取值为0的虚拟变量。

美国新息

和欧元区新息

之间可能含有部分共同信息,即被一组共同信息所驱动。为了比较美国因素和欧元区特有因素对中国债市的冲击程度,本文设定欧元区新息除了受当地自身因素的影响之外,同时还受到美国因素的冲击。表达式为:

其中,

代表美国和欧元区国债市场在正交化之后的新息矩阵;

代表相应的条件方差矩阵。

分别代表各国的条件方差,

代表美国和欧元区的条件协方差。

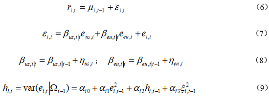
2. “双因素”波动溢出模型:基于扩展Kalman滤波体系的时变研究

本节基于波动溢出模型,将全球单因素检验扩展为“美国-欧元区”双因素检验,进而比较研究美国因素和欧元区特有因素对中国国债市场的波动溢出效应。同时,通过扩展Kalman滤波体系,构建时变参数模型,考察国债波动溢出的时变特征。扩展的Kalman滤波体系是指释放传统Kalman关于“同方差”的假定,并允许残差方差随时间呈现系统性变化。模型设定形式为:

其中,

代表中国长期(短期)国债的超额收益;

分别代表预期收益和预期外收益。

受到三个因素的影响:一是美国长期(短期)国债新息

的冲击;二是欧元区长期(短期)国债特有新息

的冲击;三是中国本地的特质新息

分别表示中国长期(短期)国债对美国新息和欧元区特有新息冲击的敏感度,以此描述相应的波动溢出水平。特质新息

的条件方差由TGARCH(1,1)程序决定,其中,

是当

时取值为1,否则取值为0的虚拟变量。预期收益

通过本地、美国和欧元区三组往期信息集合的估计而得,表达式如下:

扩展的Kalman滤波体系对于参数的动态估计,主要体现在两个方面:其一,允许量测模型(7)中波动溢出参数

随时间波动,其波动特征由转换模型(8)决定,设定其符合随机游走程序。其二,允许量测模型(7)的残差方差是时变的,并设定其时变路径由TGARCH(1,1)决定(如模型9所示)。此外,量测模型(7)和转换模型(8)的残差项均符合正态分布,且彼此互不相关。Kalman滤波体系的估计原理是,依据直至t-1时刻的全部信息集合,对

进行预测,计算其最优的预测估计

;此后根据公式

得到预测误差。预测误差

根据公式

为波动溢出参数

的不断更新提供新信息,公式中的

代表Kalman滤波增益。最后,扩展的Kalman滤波体系通过最大似然法进行参数估计:

其中,

的方差矩阵。

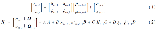
(二)引入时变波动溢出效应的多因素条件国际资本资产定价模型

本文对条件国际资本资产定价模型的扩展有二:其一,将影响中国国债的外部因素由全球单一因素扩展为“美国-欧元区”双因素。即中国国债的超额收益除了受自身风险因素(条件方差)的影响之外,还受到美国风险因素(中美国债超额收益的条件协方差)和欧元区特有风险因素(中欧国债超额收益的条件协方差)的影响。其二,引入时变的波动溢出效应,即允许外部风险因素对中国国债超额收益的影响随时间变化。模型的设定形式如下:

其中,

(N*N)矩阵的恒定系数。在

其中,上述表达式是为了保证风险价格的取值始终为正;

在上述模型中,由于波动溢出水平

三、波动溢出效应的实证分析与检验

(一)样本数据分析

本文选取美国、欧元区和中国三个市场作为研究国债波动溢出的样本。其中,侧重于比较研究长期国债(5年至10年期)、短期国债(1年至5年期)的波动溢出水平及差异。所有样本数据为月度数据,以本币计价,来源于Datastream数据库。

为了构建欧元区长期、短期国债指数,需要对欧元区19个国家的相关指数进行合成。但受限于Datastream数据库的数据可得性和各国主权信用评级的差异,本文选取主权信用评级为A级的爱尔兰、奥地利、比利时、德国、法国、荷兰和西班牙等7个市场,用以构建欧元区国债的相关指数。从总量的代表性来看,这些国家一般政府债务未偿还余额占欧元区19国总和的比重达到了69.823%(2019年12月数据),具有较好的代表性。计算欧元区长期(或短期)国债加权收益率的公式如下:

其中,

表1描述了各市场长期、短期国债超额收益率的均值和标准差,其中的超额收益率是指国债收益率与当地无风险利率之差。总体看,所有国家长、短期国债在样本期间的超额收益均为正值;从长、短期国债的比较来看,长期国债的超额收益及标准差均显著地高于短期国债的超额收益及标准差。从各市场比较来看,虽然中国国债的绝对收益率较高,但较高的无风险利率导致中国国债的超额收益率在样本市场中是最低的。

(二)波动溢出检验

1.参数估计

表2描述了基于扩展的Kalman滤波体系,对国债波动溢出水平进行时变估计的参数结果。其一,从长期国债的溢出效应看,无论是期末的时点估计

2.国债波动溢出的期限差异及区域差异

为了进一步考察外部因素对中国国债波动溢出效应的特征,表3计算了不同期限国债在样本期间波动溢出的均值水平,并通过T检验考察了期限差异和区域差异的显著性。其一,从期限的差异看,外部因素对中国长期国债的影响程度显著高于对短期国债的影响。美国因素对中国长、短期国债的波动溢出水平的差异为0.0588(T值为6.292);欧元区特有因素对中国长、短期国债的波动溢出水平的差异为0.205(T值为9.392)。其二,从区域的差异看,对于中国长期国债,欧元区特有因素的影响程度显著高于美国因素,差异为0.0784(T值为4.622);对于中国短期国债,美国因素的影响程度显著高于欧元区特有因素,差异为0.0676(T值为3.379)。

3.波动溢出的时变特征及政策含义

图1描述了外部因素对中国长期和短期国债波动溢出水平的时变特征。其一,外部因素对中国国债的波动溢出水平虽在不同时期各有升降,但长期的上升趋势并不明显。近些年,中国债券市场的对外开放不断提速,包括投资市场不断放宽QFII的限制,发行市场不断放宽熊猫债的限制,离岸市场不断丰富参与主体,积极发展上海自贸区债券业务,加快推进债券通的实施和不断完善人民币跨境支付系统,等等。从理论上看,债券市场的加速开放理应持续提升外部因素对中国债券市场的波动溢出水平,然而我们在实证检验中并未发现有显著提升的趋势。其中制度层面的因素是中国债券市场在法律、会计、评级、基础设施完善、防范风险等方面还有诸多需要完善之处,这些因素使得中国与全球资本市场的深度对接仍然存在一些问题,在一定程度上阻断了信息、资金在中国和全球资本市场之间的自由流动。

其二,从图1的比较看,美国因素在大部分时期对中国长期国债的波动溢出水平高于短期国债(表3中的“期限差异”是显著的);欧元区特有因素在全样本期间对中国长期国债的波动溢出水平高于短期国债。这说明,与短期国债相比,中国长期国债受外部因素的影响程度更高。从实践的角度看,长、短期国债的差异,说明国际资本更倾向于持有中国的长期国债(与短期国债相比),原因在于国际投资者受不对称信息等因素的影响,更倾向于采取被动的投资策略,即持有长期国债直至到期;这与短期国债到期后的再投资相比,可以节省大量的相关成本。

其三,一方面,欧元区特有因素对中国长期国债的波动溢出水平显著高于美国因素,潜在原因是经济基本面的变化对一国长期国债价格波动的影响处于主导地位,而中国与欧元区的经济往来更为密切(例如中欧贸易额一直高于中美贸易额)。另一方面,美国因素对中国短期国债的波动溢出水平显著高于欧元区特有因素,潜在原因是货币政策的变化对一国短期国债价格波动的影响处于主导地位,例如与欧央行相比,美联储货币政策对中国的影响程度更高。

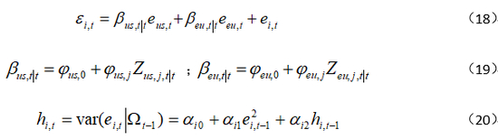
(三)国债波动溢出的解释因素

为了考察国债波动溢出的解释机制,本节研究了影响债券市场价格波动的相关因素,如汇率的不确定性(Dumas & Solnik,1995),经济(商业)周期的波动(Fama & French,1989),短期利率或货币政策的影响(Bayoumin & Eichengreen,1998)等。考虑到双边汇率的波动通常是经济体之间经济运行和货币政策相对变化的综合反映,即双边汇率波动的减弱通常反映了经济体之间的经济趋同和货币政策趋同(Fratzscher,2002);为此,本节主要检验经济趋同和货币政策趋同对于国债的波动溢出效应是否具有显著的解释能力,方法是构建运用信息变量描述国债波动溢出的相关模型,其一般表达式如下:

上述模型的设定允许国债市场的波动溢出水平

其中,表4描述了经济趋同因子和货币政策趋同因子对国债波动溢出水平的解释程度以及相应方差方程的估计系数。从相关参数的估计看,对于中国长期国债,中美经济趋同因子

(四)波动溢出模型的稳健性检验

本节对波动溢出模型的稳健性进行检验,包括:基于扩展Kalman滤波体系的双因素波动溢出模型(6-11);考察经济趋同(2个主成分)和货币货币政策趋同(1个主成分)对中国国债波动溢出影响的模型(18-22)。具体方法是采用广义矩估计(GMM)检验不同模型的标准化残差

表5汇总了检验结果的

四、时变波动溢出效应下的债市风险和预期收益

(一)时变风险价格和时变风险敞口

表6描述了模型(12)-(16)的参数估计结果。对于美国、欧元区和中国三个市场,每个市场均有部分信息变量系数估计值是显著的,说明相关信息变量对各国国债的风险价格具有显著的解释能力。这意味着所有样本国家的国债市场,其风险价格的时变特征均是显著的。此外,中国和欧元区本地信息的显著性,还说明中国和欧元区的国债市场尚未达到理论上完全开放的状态;否则,本地信息集合对各国国债风险价格的解释能力应趋于零或是不显著的。在方差模型(15)中,所有国家的残差平方系数、条件方差或条件协方差系数各有显著,意味着各国国债市场的风险敞口均具有显著的时变特征。

(二)长期国债和短期国债的超额预期收益

从各国国债超额预期收益的运行趋势看,其一,对于所有样本国家,长期国债的超额预期收益在多数时期持续高于短期国债;但是在特殊时期,长、短期国债超额预期收益也会出现短暂的“倒挂”,体现的是市场在经济衰退期对经济运行较为强烈的“悲观”预期。例如中、美两国短期国债的超额预期收益在次贷危机时期均出现了不同程度的“蹿升”,并超出长期国债的超额预期收益;此外,在2015年中国经济下行压力加大时期,中国长、短期国债超额预期收益也出现了短暂的“倒挂”现象。

其二,从各国的横向比较看,中国长期、短期国债的超额预期收益均处于较低的水平。如果以模型(12)作为分析工具,可以发现其主要原因有二:一方面,美国因素和欧元区特有因素对中国国债的波动溢出

五、结论及政策含义

本文通过构建双因素波动溢出模型和多因素条件国际资本资产定价模型,比较研究了全球因素(包括美国因素和欧元区特有因素)对中国不同期限国债的波动溢出效应、差异及影响因素;并将波动溢出效应的时变特征引入多因素的条件国际资本资产定价模型,考察了中国不同期限国债的风险和预期收益。主要发现及政策含义如下:

第一,全球因素对中国国债的波动溢出效应是显著的,但在近些年并没有呈现出显著的上行趋势。其潜在原因有二:一方面,2014年以来,全球主要经济体的经济复苏步伐和货币政策出现分化,使得中国与美国(欧元区)的货币政策趋同因子、经济趋同因子均出现了不同幅度的下降;从而弱化了全球因素对中国国债的波动溢出水平。另一方面,中国债券市场的对外开放在近些年不断提速,但由于市场的自身改革尚未完全到位,与国际资本市场的对接仍然存在一些问题。例如,虽然近期人民银行对债券市场基础设施机构互联互通做出安排,并允许部分银行以互联互通机制或直接开户方式参与交易所债券市场现券协议交易;但相关政策更多为原则性表述、具体细节仍待明确,交易托管结算系统等基础设施的统一仍有待进一步推进。又如,虽然当前已经引入国际评级机构加强我国评级体系建设,但由于评级粘性及客户承揽等诸多因素,中国债券评级的国际化进程还有待进一步加强,这也在一定程度上阻断了信息、资金在中国和全球资本市场之间的自由流动。后续还应持续推进国内债市的自身改革,进一步加强跨市场统一监管与信息共享,建立统一的市场规则,继续加大改革与对外开放的力度,减少由市场分割及监管差异带来的市场风险,进一步推动法律、会计等相关制度建设,引入更多类型的境内外机构投资者,持续推进中国债券市场的对外深层次开放。

第二,从期限比较看,全球因素对中国长期国债的波动溢出效应显著高于短期国债。说明与短期国债相比,中国长期国债受全球因素的影响程度较高,而受本地因素的影响较低。这意味着在对中国国债定价时,需要充分考虑到全球风险对中国不同期限国债的影响程度是有系统性差异的。从宏观调控的角度看,随着我国利率市场化改革的持续推进和国债市场的快速发展,人民银行通过调整短期政策利率进行利率调控(如通过引导国债在二级市场的短期收益率,进而影响长期收益率及后续同期限国债的发行利率)时,应将美债、欧债收益率出现的市场波动或政策调整,及其对中国不同期限国债产生的外部冲击纳入考虑范畴。

第三,从全球因素的比较看,美国因素对中国短期国债的波动溢出效应显著高于欧元区特有因素;而欧元区特有因素对中国长期国债的波动溢出效应显著高于美国因素。这意味着在分析外部风险对中国国债市场的冲击时,长期国债应更多关注来自欧元区的特有风险;短期国债应更多关注来自美国的风险。

第四,从波动溢出的解释因素看,中、美(欧元区)经济趋同和中、美(欧元区)货币政策趋同均对中国长期国债的波动溢出效应具有显著的解释能力;中、美(欧元区)货币政策趋同对中国短期国债的波动溢出效应具有显著的解释能力。即经济体之间的经济周期趋于同步、货币政策的步调趋于一致,均会有效提升全球因素对中国长期国债的波动溢出水平;经济体之间货币政策的步调趋于一致会有效提升全球因素对中国短期国债的波动溢出水平。上述结论意味着在全球经济和金融运行平稳的时期,保持与主要经济体经济周期和货币政策在步调上趋于一致,有利于促进国际资本实现跨区域的多样化投资,使得金融资源得到更高效的配置,进而促进经济的增长。但是,在国际金融较为动荡的时期,保持“以我为主”的独立、稳健的货币政策,可以有效降低全球风险因素对国内市场的冲击。

第五,在多因素条件国际资本资产定价模型中,波动溢出效应的时变特征允许美国因素和欧元区特有因素对中国国债的影响水平是时变的。在以此为基础的国债风险定价中,我们发现,其一,对于中、美、欧三个样本,国债的风险价格和风险敞口均具有显著的时变特征。其二,中国长期国债的超额预期收益在多数时期持续高于短期国债;但在次贷危机和2015年中国经济下行压力陡增的时期,中国长、短期国债的超额预期收益曾出现短暂的“倒挂”现象。其三,中国国债的超额预期收益与美国、德国相比,在多数时期处于较低水平;仅在危机时期与美欧等国的体量相当。问题在于中国国债的风险价格(单位风险报酬)较低,与美、欧相比存在数倍差距。中国的国债市场由于受市场分割较为严重、二级市场流动性较弱、利率传导机制不完善、刚兑尚未完全打破等因素的影响,国债的风险价格对风险变化不敏感,多数时期处于较低的水平;但在动荡时期会出现数倍的“飙升”现象,这极易导致突发性危机。为此,应深入推进和完善中国国债的市场化定价机制建设:一方面,明确国内做市商激励机制安排,增加做市商中非银行类金融机构占比,增加做市商报价规模,提升中长期债券在做市商报价中的占比,缩小做市双边报价价差,丰富做市交易对冲手段,进一步提高市场流动性。另一方面,应充分考虑全球风险对中国不同期限国债影响程度的系统性差异,推动中国国债市场与国际市场进一步接轨,使市场风险充分定价,构建并完善统一有效的市场价格形成机制和传导机制,防范国债收益率大幅度波动引致突发性市场风险。

参考文献略

(原文载于《经济研究》2020年第9期)

加载中...