新浪财经 宏观经济

ESG指数:热潮中探索前进

市场资讯 2024.03.25 22:01

  来源:兴业研究

吴艳阳,林蕴琦,钱立华,鲁政委

2024-01-12 17:17

不同于传统权益或固收指数的编制,ESG指数不仅考虑了企业的财务稳健性,还包括了其在可持续性方面的表现——这种综合评估方式为投资者提供了一个更全面的视角来评价公司的长期价值。

ESG指数目前主要布局在权益和固收领域,可以分为宽基、主题两大类型:1)宽基类ESG指数一般通过正面筛选和负面筛选等筛选方法,经权重调整后得到的指数;2)主题类ESG指数旨在关注特定ESG相关主题,在捕捉ESG热点的同时,兼顾ESG投资理念和监管要求。除了新能源,目前最受关注的ESG指数主题是气候变化。

从投资收益来看,ESG指数在全球投资市场中表现出色,同时推动了全球ESG ETF规模的大幅增长。但在境内市场,ESG指数表现呈现分化,权益类以宽基指数表现较好,固收类指数整体跑输信用债总财富指数,进一步细分则发现信用债ESG指数表现整体落后于纯绿债指数。

国内市场ESG指数发展起步较晚,但发展迅速。总体看来,内地指数编制机构正在加大对ESG主题指数的布局,旨在承接国内外市场ESG投资指数化的需求。尽管短期内可能面临挑战与不确定性,但从中长期来看,ESG指数及其挂钩产品将通过其中长期展现出的较强收益稳定性和复苏潜力,持续吸引那些寻求长期、稳定回报的投资者,尤其是在面临市场波动和经济衰退压力的时期。

一、ESG指数概述

随着全球对气候变化、社会公正和良好治理等议题的日益关注,ESG投资已经成为主流金融市场不可或缺的一部分。在这一趋势的驱动下,ESG指数的编制开发近年来得到了显著的完善和发展。不同于传统权益或固收指数的编制,ESG指数不仅考虑了企业的财务稳健性,还包括了其在可持续性方面的表现——这种综合评估方式为投资者提供了一个更全面的视角来评价公司的长期价值。投资者和投资机构越来越倾向于向那些在保护地球、承担社会责任以及展现公平和道德治理等方面体现积极价值观的公司投资。这不仅是出于伦理和道德的考虑,也是一种有效的风险管理策略。为了满足日益扩大的ESG投资需求,知名的金融指数提供商、投研机构乃至交易所纷纷推出了各自的ESG指数系列。这些ESG指数不仅应用于股票和债券等传统金融产品,还广泛覆盖于其他资产类别。

ESG指数的应用范围广泛,既包括全球市场,也涉及特定地区和国家的ESG表现,体现了市场对不同层面ESG表现的深入关注和评估需求。从底层资产类型来看,主要布局在权益和固收领域,可以分为宽基、主题两大类型:

(1) 宽基类ESG指数:一般通过正面筛选和负面筛选等筛选方法,经权重调整后得到的指数,最大化突出ESG因子在指数编制过程中的占比和作用。宽基指数根据具体的编制方法具体又可以细分为ESG整合和ESG价值,前者通常针对ESG评级结果进行整合筛选,后者则更侧重于特定某个行业的筛选。

(2) 主题类ESG指数:聚焦于细分领域,一般关注特定的ESG主题,通过此类环境热点议题获得相应收益,如新能源、水资源、低碳技术等主题。该类指数旨在关注特定ESG相关主题,在捕捉ESG热点议题带来超额收益的同时,兼顾ESG投资理念和相关监管要求。除了新能源,目前最受关注的另一类主题是气候变化。气候变化主题指数在编制过程中充分考虑气候因素带来的风险和机遇,兼顾气候目标与投资目标的实现。典型代表的气候类ESG指数包括巴黎协议目标或气候过渡基准指数、碳效率指数、低碳目标指数等[1]。

二、海外ESG指数发展现状

2.1 海外指数商ESG指数布局情况

全球首只包含ESG概念的指数Domini Social 400 Index于1990年发布。经过30余年的发展,ESG指数的开发也得到了广泛重视,开始飞速发展。据IIA(Index Industry Association)统计:截止2022年底,ESG指数增长较2021年同比大幅增长55.1%,全球ESG指数数量已超过50,000只[2]。

从全球挂钩的ESG被动产品规模来看,主流的ESG指数来自MSCI、富时罗素、标普、晨星、彭博和纳斯达克等机构。

(1) MSCI:截止2023年一季度,MSCI已拥有超过3900只股票和固收类ESG指数[3],特别是MSCI ESG领先指数系列在全球具有广泛影响。MSCI ESG领先指数系列专注于ESG评级高于同行业其他公司的企业。该指数覆盖了23个发达市场的公司,覆盖每个国家约50%的市值。MSCI ESG领先指数采用全面的ESG方法,根据公司面临的ESG风险和机遇、对这些风险和机遇的管理以及ESG 信息的披露来评估公司。此外,MSCI还提供ESG通用指数,关注那些ESG表现不断提升的公司。

(2) 富时罗素(FTSE):FTSE的ESG产品包括FTSE4Good指数系列,旨在衡量那些展现出强大ESG实践的公司的表现。FTSE ESG评级和数据模型为全球各地的公司提供了ESG曝光度和实践的多维度衡量,并且剔除了涉及以下领域的公司:酒类、烟草、赌博、化石能源、军火等。

(3) 标普(S&P):标普ESG指数已覆盖股票、债券、REITs资产,数量超过300只。其关注的重点在于气候转型、碳效率、碳成本风险。标普提供的ESG指数分为四类:核心ESG、气候变化ESG、主题ESG和固收ESG,其中最负盛名的为标普500 ESG指数。标普500ESG指数是一个基础广泛的市值加权指数,旨在衡量符合可持续发展标准的证券表现,同时保持与标普500类似的整体行业组权重。该指数剔除了不符合联合国全球契约价值的公司,如烟草、有争议的武器和化石能源领域的商业参与。

(4) 晨星(Morningstar):晨星在整合了Sustainalytics的基础上提供ESG评分和评级,并提供了一系列针对不同地区和投资风格的ESG指数,包含Morningstar Equity Sustainability Index,Morningstar Bond Sustainability Index,Morningstar Thematic Index等系列。

(5) 彭博(Bloomberg):彭博的ESG数据服务提供全面的ESG信息,并与诸多机构合作开发了多项ESG指数系列,包括:彭博SASB ESG指数、彭博MSCI ESG固定收益指数、彭博洛克菲勒ESG改善指数、彭博高盛全球清洁能源指数。其中使用最为广泛的是与可持续发展会计准则委员会(SASB)合作开发的Bloomberg SASB ESG指数,该系列包括股票和固定收益ESG指数,重点关注最有可能对特定行业公司的财务状况或经营业绩产生重大影响的ESG因素。

(6) 纳斯达克(Nasdaq):纳斯达克提供了一系列ESG相关指数,其中包括纳斯达克CRD全球可持续性指数(Nasdaq CRD Global Sustainability Index),旨在追踪那些展示出可持续性和环境友好型商业实践的公司表现。纳斯达克100 ESG指数则是由符合纳斯达克制定的ESG标准的独立证券组成,母指数包括在纳斯达克交易所交易的100家最大的国内和国际非金融公司。

全球范围内,越来越多的指数提供商正在推出不同类型的ESG指数,覆盖从传统股票、债券到新兴市场。同时,也重点开发了在环境、社会或治理下针对特定主题(如气候变化、性别平等)各个领域的子指数,用以衡量标的在特定议题下的表现和风险敞口,ESG指数的复杂性也随之大幅提升。近年来,富时罗素、MSCI、Solactive等相继开发了ESG投资与因子相结合的ESG + Smart Beta指数,成为本领域的重大创新。

2.2 海外ESG指数发展特征

随着ESG投资的场景逐渐丰富,ESG指数的需求不断增长,ESG指数化投资也愈见成熟。截至2022年底,境外ESG ETF产品数量共1112只,规模合计约4520.12亿美元,产品数量同比增长27.09%,但受全球市场整体环境影响,资金净流入放缓。

从ESG指数发展历史和趋势来看,海外ESG指数发展呈现出以下特征:

(1) 从投资标的来看,ESG指数以权益类为主,且固收类稳步攀升。截至2022年底,权益类ESG指数占据了市场的主导地位,规模占比高达80.53%,而固定收益类ESG指数的关注度也在逐渐提升,占比约19%[4]。其他类别,如多资产、REITs、商品等,总体占比仅为0.47%。目前,权益ESG指数布局发展已经相当全面,但在当前全球宏观经济前景充满不确定性的背景下,权益指数增幅波动较大,市场对权益类资产持有谨慎态度,导致固定收益类ESG指数逐渐受到更多关注。

(2) 从投资策略来看,ESG整合走向主流。在ESG指数的发展历程中,市场经历了从ESG负面筛选策略向更全面的ESG整合策略的转变。2020年整合法超越负面筛选策略成为投资者最常采用的ESG投资策略,这一转变体现在越来越多的ESG指数通过基本筛选和精细调整权重,不仅保证了与广泛基准指数的走势表现相符,还实现了ESG因子的最大化暴露。这种新型ESG指数的设计将ESG理念融入传统的投资框架,有助于实现风险与收益的更优平衡。它们不仅可作为传统宽基指数的有效替代品,还兼具了责任投资和市场回报的双重优势,为现代投资者提供了一种兼顾责任和效益的新选择。这种趋势不仅彰显了ESG投资理念的成熟,也体现了市场对可持续发展的深刻理解和积极响应。

(3) 从投资主题来看,气候转型类指数成为当前焦点。随着气候议题在金融市场中的持续升温,与此相关的资产标的表现出色,这一趋势催生了以E变量为核心的ESG指数的快速发展。近期举办的联合国气候变化大会(COP28)等国际会议对全球气候行动也起到重要推动作用,全球投资者和监管机构越来越意识到气候变化对经济和社会的深远影响,以及对投资组合风险的重新评估和管理的迫切需要。此外,政策引导和技术创新在推动公司转向更可持续的运营模式,这进一步加强了市场对于能有效反映企业在气候行动方面表现的指数的需求。与气候转型类指数相关的投资产品规模也在迅速扩大,这包括与这些指数挂钩的基金、以及其他投资工具,包括MSCI低碳指数以及基于欧盟气候变化政策和巴黎协定下的气候指数系列,标普气候变化ESG指数系列,恒生气候变化1.5℃目标指数等。

(4) 从投资地区来看,ESG指数的发展呈现出明显的地域差异性与集中趋势。与ESG投资整体布局相同,欧美地区也是ESG指数的开发和投资先锋。欧洲市场的ESG ETF不仅数量庞大,规模也达到了令人瞩目的水平,因此对ESG指数的需求格外大。截至2022年底,欧洲市场共有632只ESG ETF产品,总规模高达3058.50亿美元,占ETF总市场规模的22.55%,远高于其他发达市场,表明欧洲投资者对于ESG产品的稳固需求和成熟的投资意识。相比之下,美国市场虽然在ESG领域的整体市场份额上不及欧洲,但美国市场的ESG ETF净流入金额非常显著,体现了对ESG投资的强烈需求和成长潜力。此外,由于美国市场在ETF产品的发行商方面龙头效应非常明显,顶级发行商凭借品牌效应和规模优势,占据了ESG指数开发市场的主导地位。

2.3 海外ESG指数收益表现

近年来,境外ESG指数在全球投资市场中表现出色。多数ESG指数的收益率不仅与传统指数相当,甚至在某些情况下超过了非ESG基准指数。这一现象部分得益于对环境、社会责任和良好治理实践的企业通常具有更强的风险管理能力和长期可持续发展潜力。在过去十年中,多个国际ESG指数在投资回报上优于或等同于它们的非ESG对应指数[5]。

在考虑到风险调整收益时,ESG指数通常展现出较高的稳定性。这一现象反映了ESG投资策略在减少投资波动性方面的优势。在面对市场不确定性和经济波动时,ESG指数往往能展现出较强的抗风险能力,这得益于其覆盖的那些在环境和社会治理方面表现良好的企业。从长期投资角度来看,ESG指数的收益表现亦令人瞩目。随着全球对可持续发展目标的重视,那些在ESG领域表现出色的公司越来越受到投资者的青睐。

ESG指数在全球范围内大体上呈现出与其母指数相比有一定的收益增厚优势。这一现象在特定区域尤为明显,例如在欧洲和亚太发达市场的ESG指数,它们往往超越了传统指数的表现。然而,在新兴市场中,ESG指数的表现与母指数之间的差异则较为复杂,表明在这些市场ESG投资的表现可能更受特定区域因素的影响。具体到国家层面,美国市场的某些ESG指数相比标普500表现出更强的收益表现,而其他市场如英国和亚洲某些地区的ESG指数与母指数的差异不大。ESG策略在不同国家和地区的成效可能与当地的市场结构和投资文化息息相关,因此ESG指数编制的因地制宜显得尤为重要。

三、国内ESG指数发展与市场表现

3.1 国内ESG指数发展现状

国内市场ESG指数发展起步较晚,但发展迅速。截止2023年12月,内地全市场共存有349只存续ESG主题指数。

总体看来,市场金融机构正在加大对ESG主题指数的布局,旨在承接国内外市场ESG投资指数化的需求,其中以中证、国证、华证以及万得指数为代表。

3.2 国内ESG指数发展特征

(1)权益类ESG指数

国内最早的ESG主题股票指数是深圳证券信息有限公司在2005年发布的国证治理指数。

从发行机构来看,ESG股票指数的发行机构较集中。截至2023年11月,共有17家机构发布了ESG股票指数,其中中证指数有限公司共发行77只ESG股票指数,占比全市场发行量的27.80%,位居第一。其次是上海华证指数信息服务有限公司与万得信息技术股份有限公司,分别发行40只与36只ESG股票指数。境外指数商来看,MSCI指数是在中国发行ESG股票指数最多的境外指数商,共发行了16只ESG股票指数,远超其他境外指数商。

(2)固收类ESG指数

通常来说,ESG的数据可得性和质量是决定ESG发展的重要因素,而债券发行人披露质量相对较差。因此,债券ESG指数发展速度明显低于股票ESG指数,但近几年ESG债券指数也经历了快速发展的过程,国际主流的指数供应商纷纷推出ESG固定收益类的指数。例如,MSCI推出MSCI中国ESG领先指数、MSCI China ESG Universal指数均为MSCI发行的中国市场的相关固定收益类指数,截止2023年11月,MSCI共发布ESG指数20类,其中6类为固定收益指数。国内指数供应商例如中证指数也发布了沪深300 ESG信用债指数、500ESG指数等22条覆盖A股的指数。疫情以来,受全球通胀和市场震荡下行等因素影响,投资者风险偏好下降,固定收益类ESG指数产品以短期公司债为主,其次为宽基类,而主权债、市政债等类型的新发产品数量和规模均较小。

从发行机构看来,中央国债登记结算有限责任公司发行的ESG主题债券指数数量最多,达到81只;其次为中证指数有限公司,共发行28只债权类指数。

(3)其他类型指数

除ESG债券指数外,多家指数商在过去几年陆续发布了基于可持续投资的房地产(REITs)指数、商品ESG指数、外汇ESG指数、ESG目标风险多资产指数,ESG指数底层资产范围和多样性日益丰富。例如,中证指数有限公司与海通证券股份有限公司共同合作发布的海通ESG股债联动,上海浦东发展银行股份有限公司发布的浦银北极星ESG指数以及恒生指数有限公司发布的各类外汇ESG指数。

3.3 国内ESG指数收益表现

3.3.1 权益类指数

截止2023年12月底,内地市场存续的ESG权益指数共计180只,按照指数的编制方法与风格,本文将内地市场存续的ESG权益指数分为两大类型:

①ESG宽基指数:基于宽基母指数开发,包括ESG基准指数、拓展核心宽基+主流投资因子的ESG策略指数;

②ESG主题指数:聚焦于特定主题,跟踪ESG维度下公司的整体表现,提供反映特定ESG主题的指数化投资工具。

其中,ESG宽基指数一般是指通过基础筛选和权重调整以实现贴合宽基指数走势表现、实现ESG因子最大化暴露的指数。从境外相关ESG指数编制规则来看,该类指数还可以细分为两类:ESG整合和ESG价值。其中,ESG整合指数通常基于ESG评级结果,对母指数进行一定条件的筛选与权重调整。相对于母指数,ESG整合指数通过ESG评级结果的筛选能进一步提高指数的ESG表现,提高指数的整体抗风险能力。ESG价值则通常是基于母指数,针对特定行业进行倾斜或剔除。相对于母指数,ESG价值指数通过价值投资策略生成的指数在一定程度上体现了该指数的价值倾向性[6]。

ESG主题指数的发展则源于近年来可持续发展框架下的行业主题类指数的快速增加,如清洁能源、水资源、低碳技术以及绿色房地产等。该类指数旨在关注特定ESG相关主题、有着更精准的目标和行业集中度,同时结合了ESG衍生指标,使其在捕捉ESG议题热点带来的超额收益的同时,兼顾了ESG投资理念和相关监管要求。具体的ESG主题指数编制方法,以标普道琼斯全球清洁能源精选指数为例[7],该指数旨在衡量全球30家具有代表性的从事清洁能源相关业务公司的表现。通过识别全球市场中从事清洁能源相关业务的公司,按清洁能源敞口程度及市值筛选指数成分股,并剔除碳足迹相对较高的公司,成分股权重按市值与清洁能源敞口程度的乘积进行计算。

我们统计了目前内地市场存续的ESG权益指数,并对ESG宽基指数关联的母指数进行了统计。结果如上图所示,ESG宽基指数占全部ESG权益指数比例为43%。ESG宽基指数中,以基于沪深300的EGS基准指数、ESG核心宽基筛选和整合类策略指数为绝对主导,如沪深300ESG领先指数、沪深300ESG价值指数等,约占ESG宽基指数总数量的一半。因此,如果要合理考察ESG宽基指数收益表现,可以与其对标的宽基母指数如沪深300进行对比。

而对于ESG主题指数,如上证180碳效率指数、乡村振兴ESG领先指数等,由于覆盖主题范围广泛,横跨碳中和、乡村振兴到新能源、医疗、消费等多个主题和不同市值规模标的,因此如果要对ESG主题指数业绩进行评估,可以参考大盘或万得全A作为比较基准。

1)以沪深300作为母指数的ESG宽基指数业绩表现

由于不同时间跨度下,指数策略的表现有很大差异,即不同的ESG与财务因子在不同的时间周期内有效性存在差异。同时,绝大多数内地市场的ESG指数为近五年内编制,因此为了合理分析ESG宽基指数收益表现,我们以2023年12月31日为截止日,分别考察了截止日前3个月、6个月、1年、3年和5年回测期内不同ESG宽基指数的年化收益率,并与母指数沪深300年化收益率(图中红色虚线)进行对比,如下图所示:

从上图可以清晰看出,以沪深300作为母指数的ESG宽基指数不管在短期还是长期表现都较为优异,在不同回测期内均有>50%的ESG宽基指数跑赢沪深300。而随着回测期拉长到1-3年,ESG宽基指数年化收益呈现中枢上移;特别是在过去半年和1年内,ESG宽基指数均显著跑赢沪深300。但随着回测期拉长到5年,ESG宽基指数相对沪深300超额收窄,收益优势不如6个月-1年期差异明显。

为了综合考虑不同期限收益率与对应的波动风险情况,我们计算了以沪深300为母指数的ESG宽基指数在不同期限的年化夏普比率并取平均值,与沪深300在不同期限的年化夏普比率进行了对比,如下表所示:

可以看出,以沪深300作为母指数的ESG宽基指数整体夏普比率在3月-5年的不同时间宽度上均高于沪深300,但仅在时间拉长到5年以上的夏普比率才由负转正。

综上分析,我们认为目前存续的以沪深300为母指数代表的内地市场ESG宽基类指数相比母指数,整体表现优秀,不管在短周期还是长周期均能跑赢母指数。我们推测部分原因是由于沪深300成分公司总体ESG治理水平良好、ESG信息披露质量较高,使得ESG指数编制机构能够获得质量较高的沪深300样本数据,并能开展有效的ESG策略开发和指数编制,从而获得跨越周期的优秀、稳定的收益表现。

2)ESG主题指数业绩表现

如前所述,为了评估ESG主题指数的收益表现,我们将ESG主题指数的年化收益均值与万得全A年化收益率在不同时间宽度上进行了对比,如下所示:

很遗憾,在短期-中期(3月-3年)的不同时间跨度内,ESG主题指数均跑输万得全A,仅在时间拉长到5年期才勉强与万得全A持平。在较短的时间周期内,ESG主题指数全面跑输;但随着时间周期拉长,ESG主题指数与万得全A的收益差在逐渐缩窄。

而从夏普比率对比来看,ESG主题指数相比万得全A也差距明显,仅在3年-5年期才与万得全A持平。

总体来看,ESG主题指数相比市场的收益表现不如ESG基准指数相对母指数有优势。同时,我们也能明显看出,ESG主题指数的表现分化远远大于ESG基准指数(图表12、图表14),这也与ESG主题指数的窄基特征密切相关。由于窄基的投资范围和目标较为单一,因此其收益和风险水平都可能受到特定行业或地区的影响,不同主题的指数表现受市场行情影响较大,因此对于一些追求多元化投资的投资者来说,可能并不适合。

3.3.2 固收类指数

近年来,随着发债主体信披完善和ESG债券供给增加,境外指数商也在加大固收类ESG指数布局,但整体和权益类ESG指数规模差距较大。

对于境内市场,由于ESG固收投资策略开发远未成熟,因此以中债为代表的境内ESG固收指数编制机构以开发固收类ESG主题指数为主,主要类型为绿债指数(绿色发展主题)、碳价指数(碳中和主题);固收类ESG宽基指数也有开发,但品类和数量均少于主题指数。

从市场实际的ESG指数供给来看,根据本报告研究,我们将ESG固收类指数按投向分为纯绿债指数和面向所有信用债(包含绿债)的信用债指数。纯绿债类指数又可细分为贴标绿债指数和投向绿债(非贴标)指数。其中,贴标绿债指数仅严格投向贴标绿债,投向绿债指数则不考虑是否贴标;境内ESG信用债指数按照编制方法,主要分为筛选策略和整合策略的两类,筛选策略以优选和剔除为主,整合策略以ESG因子与债券投资因子如隐含评级、到期收益率、利差等进行整合编制。

为了准确分析ESG固收指数收益表现,我们首先对总体ESG固收指数的表现进行了分析。本报告基于财富指数来进行业绩比较,选取刻画信用债整体走势的中债-信用债总财富(总值)指数[CBA02701.CS]来对比分析ESG固收指数的收益表现。如前文所述,同样以2023年12月31日为截止日,分别考察截止日前3个月、6个月、1年、3年和5年回测期内不同ESG固收指数的年化收益率,并将均值与中债-信用债总财富(总值)指数年化收益(下图红色虚线)进行对比,以反映不同时间宽度下ESG固收指数的相对表现:

根据统计,ESG固收指数区间年化收益均值范围在2.09%-3.19%之间,在不同时间宽度上,ESG固收指数没有呈现收益表现的明显分化,和ESG权益指数差异较大。而从上图可以看出,不管是短期还是长期,ESG固收指数均全面跑输信用债总财富指数。从夏普比率结果来看,ESG固收指数也全面落后于中债信用债财富指数,如下图所示:

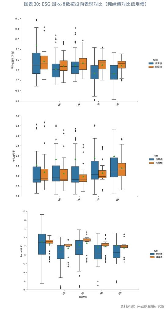
ESG固收指数中以纯绿债指数开发最为成熟、市场供给数量最多。为了更好地比较ESG固收指数各种类别的表现情况,我们又对存续ESG固收指数按投向划分的纯绿债指数(155个样本)和信用债指数(565个样本)进行了对比分析:

从上图分析可以看出,ESG信用债指数的年化收益率和年化夏普比率中枢在各个时间宽度上均跑输纯绿债指数,ESG信用债指数的年化收益率仅有平均值在3个月的时间宽度上跑赢纯绿债指数;而ESG信用债指数的年化波动率中枢则在所有时间段上显著高于纯绿债指数。

总结来看,由于内地市场固收ESG数据质量远不如权益ESG数据,且固收ESG策略还处于摸索阶段,远未成熟。ESG数据可得性和数据质量是决定ESG指数发展的重要因素。债券发行人信息披露质量相对较差,固收类ESG指数的发展明显慢于权益类ESG指数。ESG固收指数中,传统以绿债指数为绝对主导,而境内市场一直到2020年底才发布了第一只ESG信用债指数“中债-ESG优选信用债指数”——不管是从发展历史、还是上文收益分析来看,我们都发现ESG信用债指数开发远未成熟,收益表现分化明显,未来还有很大发展空间。从编制机构来看,目前内地ESG固收指数市场以中债为绝对主导,中证近年也有部分ESG固收指数产品问世,其他机构偶有零星开发,整体市场供应数量和多样性都不高,也影响了ESG固收指数的编制方法发展和收益表现。

四、展望

从ESG投资视角来看,全球对可持续发展的认识越来越深刻,机构与个人对ESG投资的兴趣也越来越浓厚。投资者正在积极寻找在气候变化、社会问题以及多样性、公平性和包容性(DEI)方面表现优秀的公司,同时金融市场也在做出回应。从投资策略来看,尽管目前市场仍然以主动投资为主,但被动投资正在持续升温。

回顾2023年,中国ESG市场在高质量发展的政策推动下持续发展,产品发展日趋成熟。市场各主体积极行动,投资者对ESG投资的认识和参与度逐渐提升,ESG投资体系不断提速,但与国际市场相比仍有较大的提升空间。

目前,在国内市场上,以股票类资产为主的ESG指数化投资持续占据主导地位。以ESG ETF为例,截至2023年底,市场上所有的ESG ETF标的指数均聚焦于股票类指数,而在债券类ESG指数基金的发展方面,仍有较大的提升空间。

目前国内ESG指数化投资产品的发展呈现出一定的结构特征:公募基金占据了较大的市场份额,而银行理财和保险公司在这一领域的参与度相对较低。

预计2024年ESG指数将保持其在全球投资市场中的重要地位,即使在面对宏观经济挑战和市场波动时,也可能表现出相对较强的稳健性和抗风险能力。

预计2024年将出现更多围绕特定ESG主题的指数,如气候变化适应、绿色科技、社会影响投资等。这些指数一方面迎合了政府和监管对于ESG的规定,另一方面在行业轮动下,能够为投资者提供更细分的市场领域投资机会,使其能够根据特定的可持续发展目标或价值观进行投资。随着投资者需求的多样化,指数商将会提供更多涉及ESG指数的定制化选项,允许投资者根据自己的具体需求和投资标准,选择或调整指数的构成。

对于权益类资产的投资,包括公募基金和银行理财在内的资产管理机构有潜力进一步探索ESG优选和策略指数的投资价值。这些机构可以借鉴境外的指数编制方案,与指数供应商合作,以提升和完善ESG指数的编制方法。同时,顺应全球发展趋势和国内的政策导向,资产管理机构可考虑加强对碳中和主题指数基金、碳期货ETF以及气候变化相关基金等创新产品的投资布局。

在固定收益投资领域,预计市场机构将结合市场需求,推动更多围绕气候变化、乡村振兴等ESG主题的信用债指数的开发。同时,结合国内ESG披露指南的出台,资产管理机构也会加大对于ESG策略债券指数资管产品的研发。特别对于银行业来说,ESG在固收资产端的投资应用场景有望进一步扩宽,ESG正在融入债券指数编制过程中,ESG因子加权、社会责任投资、可持续发展主题等策略正被逐渐应用到综合债、高流动性债、中资美元债等不同债券品类之中,进一步扩充了人民币债券指数的ESG应用场景。

展望未来,我们相信国内指数编制机构将在ESG指数产品创新方面继续发力。被动型策略产品的发展有赖于ESG指数种类的丰富,虽然境内的ESG指数种类相比境外成熟市场仍有差距,不过境内市场的ESG指数大多发布于2019年以后,ESG基准指数、ESG优选指数、ESG整合指数还有待进一步完善,建议机构积极探索ESG相关指数的开发和种类创新。

总体而言,尽管短期内可能面临挑战,但从中长期来看,ESG投资的稳定性和可持续性将促使ESG指数在未来展现出更为稳健的增长。ESG指数及其挂钩产品如ETF将通过其中长期展现出的较强收益稳定性和复苏潜力,持续吸引那些寻求长期、稳定回报的投资者,尤其是在面临市场波动和经济衰退压力的时期。

加载中...