新浪财经 产经

被罚没1.4亿后,朗迪制药回应

澎湃新闻

关注

澎湃新闻记者 朱远祥

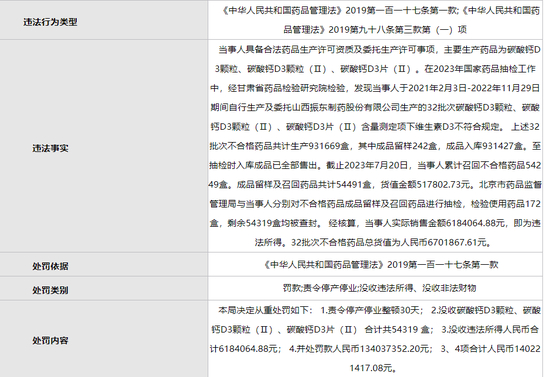
罚款1.34亿元,没收违法所得618万余元,停产停业整顿30天……10月16日,北京朗迪制药有限公司(以下简称“朗迪制药”)被市场监管部门重罚,原因是32批次的碳酸钙D3颗粒等产品检验不合格。

作为国内知名的钙制剂企业,朗迪制药研发销售的多款产品被称为“朗迪钙”,其主要采用钙与维生素D3的“科学配比”,宣称“适合中国人体质”。不过,在2023年国家药品抽检中,该公司的32批次产品被检出维生素D3含量偏低,不符合规定。

朗迪制药被查出不合格的32批次产品,包括碳酸钙D3颗粒、碳酸钙D3颗粒(Ⅱ)、碳酸钙D3片(Ⅱ),销售数量共93万余盒,生产日期为2021年2月至2022年11月。

10月16日,北京市市场监督管理局根据“生产、销售劣药”的法律条款,对朗迪制药作出行政处罚,除了责令其停产停业整顿,还开出上亿元的“顶格”罚单——罚款金额为药品货值金额的20倍。

10月23日,朗迪制药向澎湃新闻表示,“诚恳接受”市场监管部门的处罚决定,将提升代加工生产的质量管控和工艺要求,“坚定不移加强产品质量监管体系建设”。

朗迪制药表示会妥善解决消费者需求,已购买相关批次产品的可以退货。

朗迪制药的碳酸钙D3产品包装显示,每片的维生素D3含量为200国际单位。澎湃新闻记者 朱远祥 图

处罚:不合格批次产品销售93万盒,责令停业1月、罚款1亿

“专为中国人研制,适合中国人体质。”这是“朗迪钙”产品的宣传语。其产品研发理念,是让人体补钙的同时补充维生素D,并通过维生素D3有效帮助钙的吸收。

“朗迪钙”的产品说明显示,钙与维生素D3的配比是:每片(袋)含钙500毫克、含维生素D3为200IU(国际单位)。据业内人士介绍,营养素补充剂中的维生素实际含量,应在标示值的80%~150%范围内。

朗迪制药此次被监管部门处罚,主要是由于产品中的维生素D3“不符合规定”。

10月16日,北京市市场监督管理局对朗迪制药作出处罚后,在其网站公布了相关处罚内容。

行政处罚信息显示,在2023年国家药品抽检工作中,经甘肃省药品检验研究院检验,朗迪制药的相关批次药品不合格:2021年2月3日至2022年11月29日期间,朗迪制药自行生产及委托山西振东制药公司生产的32批次碳酸钙D3颗粒、碳酸钙D3颗粒(Ⅱ)、碳酸钙D3片(Ⅱ),其含量测定项的维生素D3不符合规定。

上述32批次的产品,包括24批次的碳酸钙D3颗粒、7批次的碳酸钙D3颗粒(Ⅱ),以及1批次的碳酸钙D3片(Ⅱ)。

根据公布的处罚信息,32批次的不合格药品共计生产931669盒,除成品留样的242盒外均已售出。

经核算,朗迪制药销售上述批次药品的实际销售额618万余元,被认定为违法所得;32批次不合格药品的总货值为670万余元。

北京市市场监管局对朗迪制药的处罚内容包括:责令停产停业整顿30天;没收已召回的不合格药品5万多盒;没收违法所得618万余元;罚款13403万余元。这些罚没款,合计超过1.4亿元。

对朗迪制药的此次行政处罚,其依据为《中华人民共和国药品管理法》。朗迪制药的碳酸钙D3颗粒等产品,上市前已获得国家药监局的药品批号。

根据我国药品管理法第117条,生产、销售劣药的,没收违法生产、销售的药品和违法所得,并处违法生产、销售的药品货值金额十倍以上二十倍以下的罚款;情节严重的,责令停产停业整顿直至吊销药品相关证照。

从北京市市场监管局的行政处罚内容来看,朗迪制药被认定为“生产、销售劣药”且情节严重。罚款数额为“顶格”处罚的1.34 亿元——是32批次不合格药品总货值的20倍。

10月23日,朗迪制药接受澎湃新闻书面采访时称,公司诚恳接受北京市市场监管局的处罚,正按要求执行整改。

回应:32批次产品可退货,将加强代加工生产的质量管控

停产停业、巨额罚款,此次行政处罚让朗迪制药陷入舆论漩涡。

在32批次产品检验结果出来的2023年7月,朗迪制药曾在其网站发布声明称,检验结果为“维生素含量略低于标准”。该声明写道:“经第三方权威专家认证,维生素D3易因气温、运输等客观环境因素造成含量不稳定,但不会对人体造成伤害。”

朗迪制药在上述声明中公布了联系方式,表示将为消费者“答疑并解决问题”。

10月16日的行政处罚信息表明,朗迪制药32批次的不合格产品已销售93万余盒,截至2023年7月累计召回5万多盒。也就是说,至今应有不少产品仍在消费者手中(此类产品标示的有效期多为二年或三年)。

对此,朗迪制药向澎湃新闻表示,购买涉及32批次产品的消费者,可以与客服联系退货,“公司会为广大消费者妥善解决相关需求”。

朗迪制药称,经过整改之后,将会“用更多的好产品服务用户”。

“朗迪”品牌创立于2006年,该品牌的碳酸钙D3片(Ⅱ)、碳酸钙D3颗粒先后在2009年、2010年上市。朗迪制药网站宣称,该公司是一家集研发、生产、销售于一体的现代化综合制药公司,其钙制剂产品连续多年居于行业销售榜前列,系“钙界翘楚”。

从此次公布的行政处罚内容看,朗迪制药方面委托生产的药企为山西振东制药公司(以下简称“振东制药”)。这家药企,曾经是朗迪制药的母公司。

工商信息显示,朗迪制药原名北京康远制药有限公司,其企业名称随着控股方的变化而多次变更,曾先后更名为“振东康远制药”、“振东朗迪制药”,2022年5月变更为“朗迪制药”。

据界面新闻报道,2016年,振东制药以26.46亿元收购朗迪制药(原“康远制药”)。此后,“朗迪钙”的系列产品,给振东制药带来不菲的利润。2017年至2020年间,振东制药每年净利润均超过2亿元,2020年的净利润达到3.61亿元。也正是在此期间,“朗迪钙”跃升成为全国销量第一的钙制剂产品。

2021年8月,振东制药发布公告称,将其子公司朗迪制药100%股权,以58亿元出售给上海方朗企业管理公司。

振东制药与朗迪制药自此从股权结构上剥离,但双方在业务上联系紧密。2021年8月双方签订《药品委托生产合同》,由朗迪制药委托振东制药生产碳酸钙 D3 片(II)、碳酸钙 D3 颗粒产品,有效期为十年。

10月23日接受澎湃新闻采访时,朗迪制药表示,已全面优化代工生产流程,提升代加工生产的质量管控和工艺要求;将加大生产研发投入,加紧自建生产加工流水线;提升物流管理水平,在气温较高时段使用冷链运输,加强对流通中产品的检测。

朗迪制药称,将持续加强内部管理和质量控制,“保证采取一切必要措施来确保产品的质量和安全”。 

 

责任编辑:刘万里 SF014

加载中...