新浪财经 产经

王川: 从波色*爱因斯坦凝聚态,看强者益强的最高境界

新浪财经

关注

来源:investguru

(1)

物理学中的基本粒子分两类:费米子,或者波色子。电子,质子,中子都属于费米子。一个费米子在某个时间只能够占据一个量子态,而不可能同时与其它费米子共享.  (费米是李政道的博士导师, 杨振宁也曾作为助手为他工作一年)

另一类粒子,如光子和包括某些原子在内的复合粒子 (composite particle) 则属于 Boson 波色子,多个波色子可以同时占据同一个量子态.

如果说费米子的世界,好像一夫一妻制的现代社会,那么波色子就类似一夫多妻的社会生态.

一次只能服务一个客户的生意,比如找份工作,咨询服务,类似费米子.

做一件事可以同时服务很多客户的生意,类似波色子,比如演员歌星,大众消费品,等等.

印度物理学家 Satyendra Bose 1925 年首次提出对热力学的经典波尔兹曼分布的改进,认为同等能量的光子彼此完全无法区分,以此假设可推导出普兰克公式,和实验结果吻合。他把论文直接寄给爱因斯坦,得到后者的重视. 爱因斯坦在波色的理论基础上,推导预测超低温下 “波色*爱因斯坦凝聚态” (Bose Einstein Condensate, 简称 BEC) 这种奇妙物质的存在.

波色子在不同能级的分布遵从波色*爱因斯坦统计,公式如下(具体推导和其它细节请参见任何统计物理的教科书, 如果理解有困难可跳过,看定性分析)

这个公式的直接结论,就是在极低温的时候,对于大部分能级而言,

kT << ( ϵ - μ )

因此在上述公式里分母远远大于 1, 这些能级的波色子的数目少得可以忽略,而大部分波色子都坠落到能量最低的能级,整个系统变成一个超级大原子, 表现出各种奇妙的宏观量子物理特性

七十年后的1995 年六月,美国卡罗拉多两名物理学家第一次在实验室超低温状态下冷却两千个铷原子,达到波色*爱因斯坦凝聚态,他们因此获得 2001年诺贝尔物理学奖. (下图为低于临界温度后 BEC 形成的原子吸收成像图)

封建社会的皇帝,后宫佳丽三千,而数百万效命疆场的年轻士兵战死时可能还是处男,这算是波色*爱因斯坦凝聚态的一种体现。在动物世界,一个群体内,单个雄性独霸所有母兽的现象, 更是相当普遍.

那么,在一个万物互联的复杂系统内,实现波色*爱因斯坦凝聚态的底层数学逻辑,是怎么样的呢?这要从六十年前的随机图论开始说起.

(2)

1913 年出生的匈牙利数学家 Paul Erdos, 是二十世纪数学界的一朵奇葩。他产出丰富, 一生中发表了 1500 多篇数学论文。他终身未婚无后,生活方式是辗转于世界各地的大学校园,学术会议和数学家的私宅中游学。每到一地,他去敲开当地某数学家的家门,宣布”我的大脑是开放的“,然后要求住在家中讨论研究学术论文。在被主人和家属厌烦嫌弃之前,他会要求介绍下一个探访对象的信息,再收拾行李上路.

Erdos 1959 年和他的合作者 Alfred Renyi 提出了所谓 Erdos-Renyi 随机图模型,解释复杂网络的链接规律:

这个模型有两个内在的假设:

第一, 一个复杂网络的节点的数目是固定不变的.

第二,所有的节点彼此是等价的.

而网络节点之间的链接,是完全随机的. 这个随机的几率, 对于所有节点都是一样的. 下图为一个不同几率情况下 Erdos-Renyi 随机图的演变.

按照这个模型的预测:

大部分人拥有同样数目的熟人,大部分公司拥有同样数目的贸易伙伴,大部分网站拥有同样数目的访问者.

长期看,没有一个网络节点会被偏爱而脱颖而出.  一个链接数目远超或者远低于平均值的网络节点,几率是非常非常低的.

这个模型和他的假设, 长达四十年没有受到人们的挑战.

(3)

但现实生活中,许多复杂网络的不同节点的链接数目的分布,更接近一个幂次定律 (Power Law) 分布,而不是正态分布.

以互联网的不同网站之间的彼此链接为例: 在 Erdos 随机图的模型里, 不同网站的链接数目呈正态分布,如下图左边。但在一个幂次律分布的真实世界,(下图右边)大部分网站只有很少的外在链接指向它们,而有一小撮网站却获得了绝大多数来自其它网站的链接.

匈牙利出生的美国物理学家 Albert-Laszlo Barabasi, 1999年和他的研究生 Reka Albert 提出一个关于复杂网络的新数学模型. (下图为物理学家 Barabasi)

这个模型改变了 Erdos 的两个关键假设:

第一,现实中的网络节点数目,大多是在不断增长的,而不是一成不变的。

第二,网络节点之间的链接,不是机会均等和随机的,而是遵循一个”优先链接“ (Preferential attachment) 的原则。打个比方,人们在选择结交的朋友时,往往更愿意认识那些人脉广泛信息灵通的交际花,而不是孤僻独行的隐士.

尽管个体行为方式很难预测,但统计上, ”优先链接“是客观的规律.

优先链接的后果,导致一个增长的复杂网络里,拥有更多链接的节点,在增长过程中获得更多的链接。换句话说,强者益强,而绝大部分的弱者,因为开始弱,后面就更弱.

以演艺界为例, 好莱坞的演员,如果认识更多业界人士,就可能获得更多的演出机会。获得的机会越多,他就更可能成功,也就认识更多的业界人士.

好莱坞演员工会 (SAG-AFTRA) 2016年的成员数目约十一万六千,但真正“在工作”的演员只有两万多。一年演出一场,也算是”在工作“ 了。工作的平均时薪,大约四十美元左右. 至于那些幻想当演员,而不够资格加入演员工会的“洛(杉矶)漂”们,更是不计其数.

真正所谓 A-List 名流演员 (年收入在两千万美元或更多),全美国只有不超过四十个.

这种情况不只局限于好莱坞. 英国网站 Casting Call Pro 2014年有调查,只有百分之二的演员,年收入超过两万英镑.

(4)

但仅仅是增长和优先链接这两点,就足以准确描绘复杂网络的发展模型吗?如何解释有些人和公司,在起点低的情况下,后来居上?

Barabasi 在他的网络模型之上又增加了一个新的参数: fitness (竞争力).

在一个复杂系统内,竞争力是你相对于其它竞争者而言获取更多新资源的能力:

比如在一个社区你更善于结交新的朋友,在一个公司你更高效的获取新的客户,等等.

其它条件都相同的情况下,竞争力更强的节点, 会获取更多的外界链接, 迟早会后来居上, 超过那些领先但竞争力不够强的节点.

搜索引擎谷歌就是一个典型的例子,它的搜索技术更加优越,尽管 1998 年才成立,但后来居上超越了包括 Yahoo, Excite, Inktomi, AltaVista 等早期领先者.

2000 年,Barabasi 在圣母大学 (University of Notre Dame) 的研究生 Ginestra Bianconi 发现,引入“竞争力”  η 这个参数后,网络的数学模型变得和波色*爱因斯坦的数学模型高度相似. (下图为物理学家 Ginestra Bianconi)

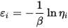
这里每个网络节点,对应于不同能级. 网络节点的竞争力越强,它对应的能级就越低.

网络节点之间的链接,对应于波色气体里的波色子.

在一个增长的网络里,增加新的节点,就好像在波色气体内增加一个新的能级.

而增加一个新的链接,就对应于增加新的波色子.

每个节点的能级 ϵ  等于 η 的对数乘以负一再除以一个常数 β

(这里β 等价于热力学的 kT )

不同网络节点的链接数目分布,经过很长的时间发展后, 遵循下面的公式:

波色气体的温度低于某一个临界点时,会出现波色*爱因斯坦凝聚态。在一个复杂网络里,当模型参数 β 过了一个临界点之后, 就会出现单个节点一家独大,占有了大部分来自其它节点的链接. 如下图.

来自微观世界量子力学的数学模型,居然和宏观世界的网络链接现象,表现出高度的相似性,这是 Barabasi 和 Bianconi 两位物理学家完全没有意料到的。但这个数学模型所预测的后果,直觉上很好理解:

在一个万物互联的复杂网络里,常会发生赢者通吃的现象。这就和波色*爱因斯坦凝聚态时绝大部分波色子跌落到能量最低的能级一样. 而一旦赢者通吃的局面形成, 除非外在环境发生巨变 ( 对应于温度提高过临界点),否则竞争者想挑战独大的赢家,几乎没有可能.

(5)

现实生活中一个波爱凝聚态的例子,来自于我们常用的桌面操作系统:微软视窗 Windows.

视窗 1985年首次推出,虽然起步晚于苹果公司的图形界面,但它是所有和 IBM PC 兼容的机器的默认软件平台。PC 价格通常比苹果机便宜一半以上, 而且视窗和老的软件,硬件和大量第三方应用兼容。 对于绝大部分普通消费者 (类似波色子),选择什么样的软件平台 (类似波色气体内的能级),是一个完全无需思考的问题.

视窗在桌面操作系统的市场份额很快迅速超越苹果,八十年代末突破80%,九十年代到现在,其份额长期高于90%, 一家独大. 即使 IBM 九十年代每年花费将近十亿美元用于 OS/2 软件平台的开发,试图追赶,也回天乏术.

假设你在八十年代错过了微软,假设你在 1990年五月 Windows 3.0推出 (微软此时早已一家独大)后才投资微软,虽然它在互联网创新上比网景,雅虎等公司慢一拍,虽然它在新世纪错过了搜索,移动互联网,云服务等技术浪潮,股价横盘十多年,但依靠桌面操作系统的垄断,它在2017年的今天又创新高. 而投资者在二十七年下来的累计回报(包含分红)仍然有约 84 倍,年化回报率超过 17%.

这就是网络时代波爱凝聚态的威力。

一次只能接一个客的生意,符合费米*迪拉克统计分布,不管你如何拼命努力,你的时间有限,接客数目有限,无法和竞争者拉大差距.

一次可以同时接很多客的生意,符合波色*爱因斯坦统计分布,在特定环境下 (多接一个新客户的边际成本极低, 趋近于零,类似于超低温),会出现一家独大而竞争对手用多少财力物力想翻盘, 也完全无法撼动的现象.

这种生意, 让投资者好喜欢, 好喜欢, 好喜欢...

这是你只要不犯大错误, 就可财源滚滚的境界.

这是你动动手指头, 就可将对手灭于萌芽状态的境界.

这是挑战者试图做很多看似更好的产品, 也不得要领无法超越你的境界.

这是竞争者即使财大气粗有金山银山, 也奈何不了你的境界.

这就是强者益强的最高境界, 波色*爱因斯坦凝聚态.

这样的例子还不止一个,请关注下集:

王川投资第四法则: 波爱为王

加载中...