新浪财经 产经

空间站是如何绕地飞行的?《张朝阳的物理课》探讨万有引力下的运动

市场资讯 2022.03.20 11:48

空间站是如何绕地飞行的?《张朝阳的物理课》探讨万有引力下的运动

来源: 时代在线

空间站的飞行轨迹是怎样形成的?卫星是如何绕地飞行的?3月18日12时,《张朝阳的物理课》第三十六期开播,搜狐创始人、董事局主席兼CEO张朝阳坐镇搜狐视频直播间,回归经典力学,推导空间站的飞行轨道等问题。他先从牛顿力学出发,为网友们解答了卫星为什么能在天上运行而不掉下来,接着带领大家复习了第一、第二宇宙速度的计算以及同步卫星的概念,在课程结尾演示了万有引力下的能量守恒定律和卫星轨迹方程的求解。

复习第一、第二宇宙速度 计算同步卫星轨道半径

为便于理解,在本次直播中张朝阳先带网友复习了第一、第二宇宙速度的计算,并且介绍了同步卫星的概念。为此,张朝阳先根据牛顿第二运动定律F=ma写出卫星做圆周运动的方程:

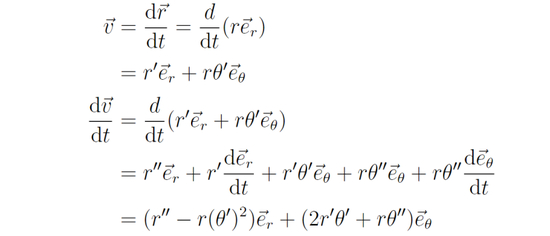
张朝阳解释道,做匀速圆周运动的物体,其速度大小虽然没有改变,但是速度的方向是在不断变化的,因此这个物体具有加速度。首先,角速度是角度随时间的变化率,而速度等于角速度与半径的乘积:

他画指示图来进行说明:

(张朝阳在直播中推导圆周运动加速度公式)

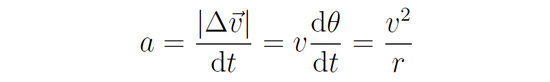
在一个很小的时间间隔上,速度的改变量指向圆心,它的大小等于速度乘以角度改变量。除以dt就可以得到加速度的公式:

将此加速度公式代回卫星圆周运动方程,化简可得卫星的速度:

G和M分别是万有引力常数和地球质量。随后,他在白板上演示了如何通过“黄金代换公式”将G和M换成更常见的物理量。为此,张朝阳考虑了地球表面的万有引力:mg=GMm/R^2,这里R表示地球半径,m表示地球表面附近物体的质量,g表示地球表面附近的重力加速度。于是有GM=gR^2。将这个结果代回卫星速度公式就得到:

张朝阳介绍,第一宇宙速度就是地球表面附近的卫星绕着地球做圆周运动时的速度。此时 r近似为R,于是得到第一宇宙速度公式:

这个速度的值是7.9km/s。而对于地球同步卫星,其公转周期与地球自转周期相同,即其公转角速度应等于地球的自转角速度。张朝阳将速度换成角速度乘以轨道半径,于是得到:

代入地球自转角速度、地表附近重力加速度、地球的半径等数值,张朝阳算得同步卫星轨道半径约为42600 km。“所以,为了保证卫星同步转动,其运行的轨道半径必须为四万两千多公里。” 张朝阳总结道。

接下来,张朝阳继续介绍了第二宇宙速度。所谓第二宇宙速度,就是物体从地球表面出发逃逸到无穷远处至少所需的初速度。

他先考虑了物体沿径向运动的情况。假设物体刚好以第二宇宙速度从地球表面沿径向逃逸,到了无穷远处这个物体的速度必须是零,否则它的初速度就不是最低要求的速度了。这时候引力做的功刚好抵消掉物体的动能,于是有:

于是得到第二宇宙速度公式:

这个速度大小是11.2 km/s。推导这个结果时考虑的是径向运动,因此张朝阳提了一个问题,如果物体以这个速度从切线方向飞出,那它还能不能逃逸到无穷远处呢?他介绍,这个问题将在下一次课程直播中解答。

推导万有引力下的能量守恒 解释卫星动能势能总和不变

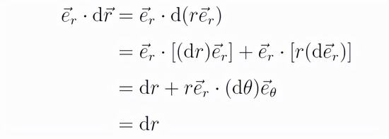
随后,张朝阳又进行了万有引力下的能量守恒定律的推导,揭示卫星在引力场中的总能量由动能和引力势能两部分组成,卫星运动期间总能量保持不变。考虑到情况的普遍性,张朝阳使用了矢量分析的工具来进行推导。当物体在引力场中运动了一小段距离时,引力场做的是:

其中矢量er是径向单位矢量。张朝阳给网友们详细演示了如何对此式进行化简:

于是万有引力做的功可以化为:

又因牛顿第二运动定律:

于是得出:

张朝阳解释道,括号里边的值就是总能量。在物体运动过程中,总能量的改变量为0,这就是引力场下的能量守恒定律。总能量表达式中的第一项是物体的动能,带负号的第二项是它的引力势能。

(张朝阳推导引力场下的能量守恒定律)

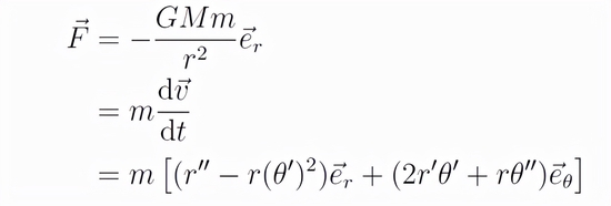
推导万有引力下的卫星轨迹 计算椭圆轨道时的极值距离

在地球引力下,卫星是如何运行的?张朝阳继续进行推演。首先,他引入了坐标,并作如下推导:

(张朝阳推导所用图示

结合万有引力下的牛顿第二定律:

对比径向分量和角向分量立即得到:

于是r^2θ’是常数,张朝阳将其记为a。他解释道,θ’是单位时间经过的角度,r^2θ’/2就是卫星连接地球中心的线段在单位时间内扫过的面积,这个面积是一个常数,这就是开普勒第二定律。

利用这个常数可以消去角度对时间的导数,从而根据上面的第一个式子得到:

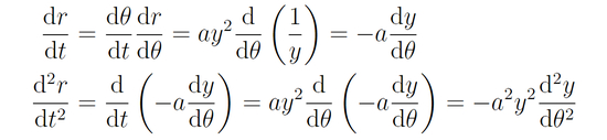
为求解这个方程,张朝阳引入了新的变量y=1/r,并且将对时间的导数化为对角度的导数:

将这个结果代入上面关于r的方程立即得到:

他强调,这是一个很简单的方程,其通解为y=A cos(θ+θ0)+ GM/a^2,其中A>0。并且,可以重新选取坐标的原点使 θ0=0,将y代回到原形式1/r,可得:

张朝阳解释,这正是极坐标下椭圆、抛物线或者双曲线的方程,也就是说卫星的运行轨迹只能是这三种曲线中的一种。据此,可以计算当运动轨迹为椭圆时的近地点距离和远地点距离。轨迹上离地球最近的距离是1/(A+B),最远的距离是1/(B-A)。

(张朝阳推导出卫星的轨迹)

据悉,在下节课中,张朝阳将会就空间站轨道的稳定性——当运行轨道受到干扰时,会发生怎样的改变进行推导解答。

持续打造知识直播平台 搜狐视频吸引诸多科普主入驻

截至目前,《张朝阳的物理课》已直播三十余期。张朝阳1986年从清华大学物理系毕业,并于同年考取李政道奖学金赴美留学。1993年底在美国麻省理工学院(MIT)获得博士学位,并继续在MIT从事博士后研究,1996年回国创业。

这也是阔别物理20多年后,张朝阳重拾物理。从去年11月开启第一节物理直播课,他先是从经典物理学开始,科普了牛顿运动定律与能量动量守恒原理等;而后从经典物理的“两朵乌云”说起,向近现代物理过渡,探讨了由黑体辐射研究引出的维恩、瑞利-金斯、斯特潘、普朗克等系列公式。

此后的物理课程逐步进入量子力学领域,从基础的薛定谔方程、算符对易关系等理论内容,到无限深势阱、氢原子波函数,再到谐振子量子化、气体定容比热的温度阶梯等更加具体实用的案例。内容丰富、覆盖广泛,理论公式由浅入深、繁简交融。

从此前的物理直播课可以看出,《张朝阳的物理课》的直播风格独树一帜:注重推导,通过一步一步详尽的数学计算,推导出相关的物理公式,把每个公式从头到尾拆解得十分清晰。正如张朝阳所说,“在好奇心的驱使下,了解自然界的奥秘、了解我们在这个世界生存的道理”。而了解道理最好的方法就是明白道理是怎么得来的,这也是《张朝阳的物理课》始终坚持用扎实的公式推导来讲授物理课程的原因。

据了解,《张朝阳的物理课》于每周周五、周日12时在搜狐视频直播,网友可以在搜狐视频“关注流”中搜索“张朝阳”,观看直播及往期完整视频回放。

除了《张朝阳的物理课》外,在直播方面,搜狐视频正持续打造知识直播平台,陆续邀请各领域的头部播主入驻,进行科普知识直播。包括中国运载火箭技术研究院专家钱航,直播讲述航空航天事业发展史;中国科学院基因组研究生博士、元码基因创始人田埂讲解基因组学与生活的紧密联系;香港科技大学物理系副教授王一则为网友介绍20 世纪以来物理学的发展。

此外,北京交通大学理学院教师陈征博士线上直播开课“奇趣的科学实验”;康奈尔大学物理化学博士包坤,化身“包大人玩科学”,教普通人看懂2021年诺贝尔奖;还有天体物理博士刘博洋科普“日全食是怎么产生的”;理论物理博士周思益也开通“弦论世界”直播课等。未来还将有更多知识播主入驻搜狐视频,一起互动玩转科学。

 

责任编辑:刘万里 SF014

加载中...