新浪财经 产经

财政部用来调节国有金融企业工资总额的arctan函数好在哪里

新浪财经

关注

原标题:财政部用来调节国有金融企业工资总额的arctan函数好在哪里

来源:不知宣

作者:未知数宣

这两天金融圈朋友比较关注的一个话题是国有金融机构降薪的事情。贴几个图

本文不讨论这个政策的群众呼声,也不吐槽。我比较关注的是上图里面用到函数,arctan函数,财政部为什么不用别的函数偏偏用arctan函数来调节金融国企的工资总额呢?下面让我简单表述下我的观点:

从上不难看出,W与Y是一个分段函数,±20%范围内,财政部不想调整,W=Y,这是不变的映射,输入什么就得到什么;超过20%范围外的,财政部将使用这个函数去调整职工工资收入。

由此可以看出20%的波动界限是一个区分点,界限内的,财政部尽量不动,界限外的要进行调整熨平波动和差距,和税收调整有相似的道理。同时,有正有负,有增有减,增的太多的遏制你的上限,减的太多的,给你兜一个底限。同时,正负两面的调节力度应该相同也就是说要对称。此外应该还要满足的一个基本原则是,多劳多得,做得好的多拿一点,也是基本的激励制度,这个性质表现为单调。

下面我再来说说arctan x函数的几个优势:

1、定义域取-∞到+∞,并且是奇函数,具有很好的对称性。

2、单调递增,复合基本的激励制度。

3、收敛有界,值域取(-pi/2,pi/2)有界,并且是收敛的,即自变量趋向无穷后有上下限兜底,

4、它是一个基本初等函数,政策调节工具应当简单,是大多数人具备的常识基础。经过四则混合运算的初等函数也可,但是还是要遵循简单的原则。

5、它的收敛速度不是很快,在政策执行上具有某种相对人性化优势。

6、x趋近于0,arctan x等价于x,这符合波动较小的界限内尽量不变,并且分段点可以保持相切和平滑,不过这点在分段函数除以pi以后便失去了。

看下arctan(x)/pi的图像

要做到以上几点,在基本初等函数领域里,似乎也很难找到可以与之匹敌的,核心是构建一个S形函数。

1、幂函数奇次方可以有中心对称和单调增却不收敛

2、指数函数可以有些变化,下面我会举例讨论。

3、对数函数要保持奇函数特性和单调增应该不可以。

4、三角函数有周期性后就保持不了单调性了。

然后再针对性看下这个调节函数,Y取值也是可以±∞的,分段点,Y=±20%,函数是连续的,函数的左右极限是±30%,arctan±∞=±pi/2,同时是一个单调增的奇函数,在分段点左右导数是1/pi,没有保持平滑。

要保持平滑也可以,把pi拿掉,分段点就会等价于Y。但是产生了新的问题,他的极限是20%+10%pi,这不是我们可以接受的,两害相权取其轻,所以只能选择不平滑了。

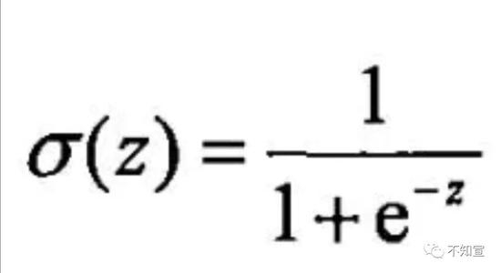
有个朋友提了一个不错的函数,叫sigmoid函数,表达式如下

Sigmoid函数是一个在生物学中常见的S型函数,也称为S型生长曲线。[1]在信息科学中,由于其单增以及反函数单增等性质,Sigmoid函数常被用作神经网络的激活函数,将变量映射到0,1之间。---此处来自百度百科。

这个函数是个S形函数,适当改造下说不定可以满足我们的需求。

可以看出这个函数是满足S形函数特征,并且改造后符合了奇函数对称的要求。它在x=0处等价于x/4,泰勒展开到三阶是x/4-x^3/48。

arctan(x)/pi在零点处展开等于x/pi-x^3/3pi。它的左右极限是±1/2,跟arctan(x)/pi是一样的,看下它的图像,

跟arctan(x)/pi是不是很像,那到底哪个好呢?让我们把两个函数图像放在一起对比下。

蓝色是修正的sigmoid函数,红色是arctan函数,可以明显看到的是,sigmoid函数收敛速度比arctan函数快,同时这两个函数有了三个交点,我们看正半轴那段,第一阶段,红高于蓝,第二阶段红低于蓝,这说明,在收入增速较低阶段arctan函数对其调控稍弱,收入增速较高阶段,arctan函数对其调控较大,这就很明显可以分辨出优劣了,在收入调控中核心思想是缩小贫富差距,保护弱者,遏制强的。

虽然在极限上两者都趋近于1/2,都有S形函数的性质,虽然都不能在分段点做到平滑,但都是比较优秀的。可是在泰勒的近似展开后,展现了一些微小的差距,由图像可以看出,arctan函数的收敛速度比较小,因此它的调控敏感度会大一些,有更细致的颗粒度和广泛的影响力。

另外一点是arctan函数从基本初等函数只做了一点点简单变化,而sigmoid函数从基本初等函数做了相对复杂的变化,而作为政策调控工具,简洁美也是重要的一点。

加载中...