新浪财经 债券

企业ESG表现、绿色债券融资成本与碳减排绩效

市场资讯 02.11 16:30

◇ 作者:中国农业银行金融市场部总经理 段兵

中国农业银行金融市场部资深专员 张搏

中国农业银行金融市场部高级经济师 邢炜

◇ 本文原载《债券》2026年1月刊

摘   要

本文基于A股上市公司面板数据,采用双重固定效应模型,探究企业环境、社会与公司治理(ESG)表现对绿色债券信用利差的影响及绿色债券发行对企业碳减排的作用。研究发现,ESG表现通过风险定价、信息可核验、投资者偏好、流动性联动四大通道显著降低企业绿色债券发行利差。分项来看,治理(G)对利差缩窄影响最为显著,社会(S)次之,环境(E)则不显著。企业绿色债券发行则通过资本开支、“承诺—核证”和“关注度—外部压力”、融资约束缓解四大机制显著减少企业碳排放量。基于此,政策层面的关键在于通过规则与激励设计,把“资金—治理—问责—约束”四条传导链条稳定地内生到企业的日常财务与运营决策中,可从制度治理、激励相容与微观行为三个层面系统推进。

关键词

ESG表现 绿色债券发行 碳排放

我国绿色发展和绿色金融建设量质并进,绿色债券“存量+流量”居全球前列。截至2024年末,存续绿色债券约为1868只、余额2.2万亿元,合并“非贴标但投向绿”债券后,整体规模超6万亿元1。我国ESG发展虽起步晚,但在政策与市场双驱动下快速深化,本土评价体系逐步完善,相关指引与准则陆续出台。2024年起,上海证券交易所、深圳证券交易所、北京证券交易所同步实施可持续披露指引,ESG因子广泛纳入债券定价模型,绿色债券监管与问责机制持续完善。

本文聚焦“ESG评级—信用利差”与“绿色债券发行—企业碳排放强度”,通过实证检验ESG对债券定价的边际影响及绿债减排效应,力图为绿色金融定价效率提升、工具优化与监管完善提供中国经验与政策建议。

文献综述

(一)ESG评级与绿色债券信用利差的研究

国内外多数研究证实,高ESG评级企业享有更低融资成本,ESG绩效与信用利差负相关(北京大学国家发展研究院课题组,2024)。

国际层面,Oikonomou等人(2012)提出,良好社会责任表现可降低债券违约风险并压低收益率。Zerbib(2019)对2013—2017年全球数据的研究证实,绿色债券相较普通债券存在平均2BP(基点)的“绿色溢价”,反映投资者的环境偏好。Xia和Zulaica(2022)发现市场对高碳排放企业债券要求“碳溢价”,从侧面印证环境绩效欠佳会推高融资成本。

国内层面,Lian et al.(2023)研究表明,企业ESG评级与债券利差显著负相关。相关国内研究还显示,ESG得分上升可降低各类债券票面利率,且高ESG评级与低违约概率相关。

(二)企业发行绿色债券对碳排放的影响研究

针对绿色债券能否真正改善环境绩效,学术界多数研究支持“真绿假说”。Flammer(2021)等发现,企业宣布发行绿色债券时股价出现正向异常回报。丁芳(2024)对2012—2022年A股企业数据的分析显示,发行绿色债券可改善ESG表现。宏观层面,张科等(2023)基于279个地级市数据发现,绿色债券规模增加可显著降低单位国内生产总值(GDP)碳排放强度。国际清算银行(BIS)报告显示,企业首次发行绿色债券后四年内,碳排放强度下降约25%。另有研究指出,缺乏严格监督时,企业可能夸大资金环境效益。针对争议,近期有学者提出用更长周期、更大样本数据重新评估绿色债券环境影响,并通过匹配发行企业与特征相似的未发行企业,验证净效应。

综上,高ESG评分降低债券融资成本的结论在国内外均成立;绿色债券减排潜力获认可,但“漂绿”争议尚存。

实证分析

本部分围绕论文核心研究议题展开实证检验,具体包括ESG评价对绿色债券信用利差的影响与绿色债券发行对企业碳排放的影响。考虑到研究样本为面板数据,本研究核心计量策略采用双重固定效应模型,以提升核心变量间因果关系估计的准确性。

在具体回归设计上,针对两大议题分别构建计量分析框架。

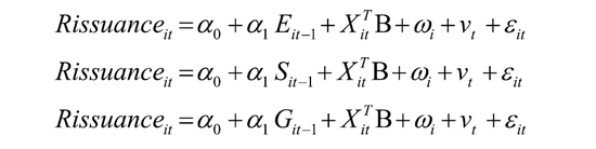
其一,针对“ESG评价与绿色债券信用利差”议题,被解释变量设定为企业发行绿色债券与同期限国债的发行日利差(反映绿色债券融资成本),核心解释变量为企业ESG综合得分及E(环境)、S(社会)、G(治理)分项得分;为缓解“绿色债券发行可能反向影响企业ESG评分”的内生性问题,核心解释变量采用滞后一期数据。控制变量层面,兼顾企业微观特征与债券特征。

其二,针对“绿色债券发行与企业碳排放”议题,被解释变量为经对数化处理的企业碳排放量(确保数据平稳性),核心解释变量为企业绿色债券发行规模(采用绝对规模指标,与被解释变量的量化维度保持一致);控制变量选取与前一议题一致的企业微观特征。

本部分将通过“基准回归→逐步加入控制变量→引入固定效应→双重固定效应检验”的递进式分析逻辑,依次呈现两大议题的实证结果,并结合经济意义与理论机制解读系数含义,为论文核心研究假设提供经验证据支撑。

(一)ESG评价与绿债发行

1.模型设定与指标选取

假设一:ESG评分越高,投资者认为其“绿色违约风险”(如资金挪用、项目不达标)越低,要求的风险溢价越低。

为检验这一假设,我们设定基本模型如下:

其中Rissuanceit为被解释变量,采用企业发行的绿色债券与同期限国债发行日当天的利差进行衡量。ESGit-1为解释变量,采用企业ESG得分进行衡量。为了观察E、S、G分项得分对绿色债券发行溢价的影响,分别选取企业E、S、G得分作为解释变量进行回归,设定模型为如下三种形式进行回归。

ωi为个体效应,νt为时间效应,εit为扰动项。

本文选取了2020—2024年A股上市企业ESG评级相关数据、企业在这5年所发行债券利率相关数据、企业层面和债券层面相关面板数据,数据来自于万得(Wind)数据库、中债DQ金融终端。在处理数据的过程中,将滞后一年的ESG评级与企业债券信用利差等数据进行匹配,剔除样本缺失值和异常值,共得到4428条样本数据。ESG评价、E评价、S评价、G评价数据来源于中债登数据库。其余数据主要来源于Wind数据库、国泰君安数据库。各项指标描述性统计如表1所示。

2.回归结果分析

表2为以ESG得分为被解释变量的回归结果。其中(1)列不含控制变量和固定效应,主要为了观察总体效应。结果显示,ESG得分显著为负,说明ESG得分越高,企业发行绿债与同期限国债利差越小,企业ESG表现的确会带来绿色债券发行溢价。(2)列—(3)列为引入控制变量后的回归结果,分别采取随机效应模型、仅控制时间的固定效应模型,以及同时控制时间、个体的固定效应模型进行回归。

总体来看,在固定效应模型中,ESG得分显著为负,说明结论稳健。在双向固定效应模型中,ESG评价估计系数为-0.04,说明ESG得分每上升1分,发行绿色债券与国债之间利差可以缩窄4个BP。

为增强解释力,可将绿色债券一级发行日相对国债的信用利差sit拆解为若干可识别的经济构件:

其中,

在本文的双向固定效应框架与控制变量下,ESG的边际影响可以理解为对上式若干分项的共同压降,即发行溢价(利差缩窄)的来源。

对于ESG表现和绿色债券发行利差之间的关系,可以从以下四条“通道”进行阐释。

一是风险定价效应(credit)通道。更高的ESG水平(尤其是G的完善),会降低重大违规、环境事故、诉讼触发违约的概率,改善现金流的可预测性与债务服务秩序。在结构化信用风险(如Merton或减压模型)下,

二是信息—可核验(info)通道。高ESG主体普遍匹配更规范的披露、清晰的募集用途闭环、第三方核证与投后跟踪,降低“黑箱”与道德风险,缩小承销簿记时的估值分歧与不确定性贴水,

三是投资者偏好和约束(pref)通道。长期资金与受托指引在绿色资产比例、ESG约束上形成“制度性需求”。偏好侧的需求弹性提升、申购深度加大,使承销价格更接近投资者的较低必要回报,

四是流动性(liq)联动通道。高ESG评分主体发行的绿色债券通常伴随更大规模、更稳定持有者结构与更高跟踪度,二级做市意愿与周转效率提升,流动性贴水下降,

从控制变量定价检验结果来看,显示出的是“信用风险—流动性—效率”的一致性。具体含义如表3所示。

这些符号与经济直觉一致,意味着在控制传统信用、运营与流动性因子后,ESG系数的负向效应可解释为对信用、信息、偏好三端的增量压降,而非由基本面差异“伪装”的相关性。

上面研究的是企业ESG综合表现对绿色债券发行溢价的影响。分项回归把结论推得更具体。未加控制时,E、S、G三项系数均显著为负,总体上均对应发行溢价(相对国债的利差缩窄)。在加入控制变量与双向固定效应后,G与S仍显著为负且顺序不变,而E失去显著性。根据检验结果:

G每提高1分,利差缩窄约4.8BP(幅度高于ESG综合得分);

S每提高1分,利差缩窄约1.0BP(略低于综合得分);

E不显著。

为什么G>S,而E不显著?可从“定价所依赖的信息有效性”进行理解:

一是治理(G)代表着“可执行性与可信度”,最能压缩风险溢价。治理(G)系数绝对值最大(≈-4.8BP/分),关联着内部控制、资金用途合规、关键绩效指标(KPI)约束与问责,是“漂绿”风险的第一道闸门。G的改善同时压降screditsinf o,对发行定价影响双路并行且强度最高,因此在计量上呈现最大幅度的负向系数。

二是S管控“落地风险”,影响项目能否顺利推进。社会(S)次之(≈-1.0BP/分),S体现劳工管理、社区沟通、项目落地的“社会许可”。在大量需要征地、施工、并网的绿色项目中,S直接关系到停工、延误、舆情等尾部风险,主要通过screditsinf o的尾端收敛作用压降利差,但影响强度弱于G。

三是“资金用途为王”,主体E易被项目口径稀释。环境(E)在本文设定下不显著,这并不意味着环境绩效“无效”,而是传导路径与测度层级存在错配。这可能来自以下几个方面。

(1)项目口径优先:绿债是“用途限定”的工具,项目级E-KPI(节能量、替代率、碳减排量)更能直连定价,主体级E评分的边际增量在含有项目核证信息时被稀释。

(2)行业或生命周期结构:高E的“天生绿色”行业新增项目的边际改善空间较小,而高耗能行业对“改造型绿色项目”的融资需求强烈。因此,“项目—KPI—定价”的边际效用更多体现在后者。

(3)控制项与固定效应的吸收:企业固定效应部分吸收了长期的行业和技术禀赋;在此基础上,主体级E的短期可识别波动对价格的解释力随之下降。

(二)绿债发行与企业碳排放

1.模型设定与指标选取

假设二:企业绿色债券发行规模越大,碳排放量越小。

为检验这一假设,我们设定基本模型如下:

其中CEit为被解释变量,采用对数化处理过的企业碳排放量进行衡量。Issuanceit为解释变量,采用企业发行绿色债券规模进行衡量。两个核心变量均采用的是绝对规模变量,而非比例变量(如企业碳排放强度)进行回归,保持了一致性,同时模型也对企业规模进行了控制。

ωi为个体效应,νt为时间效应,εit为扰动项。本文选取了2021—2023年的A股上市公司绿债发行规模、企业碳排放量和其他企业与债券层面的相关面板数据。

本文以公司为单位,匹配历年公司绿债发行规模与当期碳排放量等数据,在剔除缺失值和异常值之后,共得到247条样本数据。数据来源于Wind和国泰君安数据库,描述性统计如表7所示。

2.回归结果分析

表8报告了绿色债券发行规模对企业碳排放(取对数)的回归结果。(1)列为不含控制项与固定效应的基准估计,(2)—(5)列在逐步引入企业层面控制变量、时间固定效应与个体固定效应后给出递进式结果。

可以看到,核心解释变量“绿债发行规模”的系数在各规格下均为负且显著,方向与显著性跨模型稳健。在双向固定效应规格(5)列中,系数约为-0.090(p<0.01):鉴于被解释变量为ln(碳排放),该系数可解释为“半弹性”(semi-elasticity)——在其他条件不变的情况下,绿债发行规模每增加1亿元,企业总碳排放的当期水平平均下降约9%(近似

对负向系数的经济学解读与前文“定价分解”的思路一致,可从“资金—治理—问责—约束”四条通道理解绿债的减排效应。

(1)资本开支(Capex)通道:绿债将资金导向节能改造、清洁替代与流程优化(如余热回收、电机变频、原料替代等),直接压降范围1和范围2排放;该通道对重资产、能耗占比高的行业尤为有效。

(2)承诺—核证(MRV)通道:用途限定、第三方核证与阶段性披露提高了减排承诺的可执行性,弱化资金挪用与“漂绿”空间;若契约引入票息递增/递减或回售触发,问责强度进一步内生化。

(3)关注度—外部压力通道:发行公告与存续披露放大媒体与投资者对环境绩效的关注,提升“社会许可”门槛与声誉成本,倒逼发行人在运营侧持续兑现减排。

(4)融资约束缓解通道:对现金流紧张、传统信贷难以覆盖的节能项目,绿债作为“定向融资”缓解前期投入的资金瓶颈,使原本净现值为正但受限于资金可得性的项目得以落地。

控制项的估计结果与“信用—运营—规模”三类经典机制一致。

一是流动比率系数显著为负,说明流动性更好的企业具备更强的前置投入与持续运维能力,能更快把减排项目转化为现实产出。

二是资产负债率系数显著为负,表明更高的表内杠杆并未提升排放量,可能反映了两类对立效应中的“约束效应”占优:一方面,高碳项目在信贷侧受限,导致扩产性、能耗强的投资被抑制;另一方面,债务约束提高了对能效的边际重视度,促进以节能降耗换取成本与现金流改善。

三是ROA与资产规模(取对数)系数显著为正,体现“规模—产出—排放”的扩张效应:盈利与规模的扩大往往伴随产出端与设备利用率上升,在短期内推高绝对排放水平(即便排放强度可能下降)。

四是总资产周转率在主要规格下不显著,指向“效率指标”的解释力已被固定效应与其余运营类变量部分吸收,或其作用更多体现在“碳强度”而非“绝对排放”维度。

相关启示和政策建议

本文基于企业层面数据证实,绿色债券融资与碳排放成显著负相关。这表明绿色债券并非单纯融资“标签”,而是契约化的治理与问责载体。政策核心需通过规则与激励设计,将“资金—治理—问责—约束”四条传导链条内生化到企业日常决策,可从制度治理、激励相容与微观行为三个层面系统推进。

一是以制度治理为核心,降低信息摩擦与道德风险,使“绿色承诺”可验证、可问责。需进一步统一细化绿色分类口径与项目界定标准,搭建跨部门共享的碳核算与环境绩效数据库,实现项目“事前—事中—事后”可追踪。推行更具操作性的用途限定与绩效披露模板,将年度减排量、能效提升率等关键指标纳入强制性存续期披露。第三方核证方面,建立资质准入、抽样复核与失信惩戒闭环机制,明确虚假披露的法律责任与经济惩罚。通过这些制度安排,降低投资者信息成本,为资金定价提供可靠信号。

二是以激励相容为抓手,打通财政—货币—监管政策工具之间的协同传导。应鼓励绿色债券契约引入环境绩效挂钩票息机制或回售/赎回触发条款。财政贴息、担保等政策需与环境绩效直接挂钩;货币与宏观审慎政策可通过再贷款、风险权重调整等工具,将环境绩效与契约质量作为分层支持维度。针对区域差异明显的行业与企业,可试点“碳价—利差”联动机制,使碳市场价格信号传导至债券定价,强化“减排越多、融资越优”的激励结构。

三是以微观行为为落点,重塑金融机构与企业的内生决策边界。对金融机构,应将环境绩效可验证指标纳入投行尽职、承销准入与定价核心清单,推动“环境绩效—契约条款—内部资本计价”一致。对发行企业,需将绿债资金与具体技术工艺改造对应,建立立项至运营的预算与绩效闭环,确保绿债资金在生产中可度量、可沉淀。对高排放存量资产,可在转型金融框架下设立转型债等工具组合,以“技术路线—时间表—绩效门槛”约束替代“一刀切退出”,提升减排可行性与可信度。(本文为“第三届中债估值杯”征文活动获奖作品)

注:

1.中国发展改革报社,《我国绿色债券市场跃居全球首位》,2025年9月1日。

参考文献

[1] 北京大学国家发展研究院课题组. ESG在债券投资中的应用研究[J]. 气候政策与绿色金融,2024(8).

[2] 丁芳.绿色债券发行对企业 ESG 表现的影响研究[J]. 经济学,2024,7(12).

[3] 张科,熊子怡,黄细嘉,绿色债券,碳减排效应与经济高质量发展[J]. 财经研究,2023, 49(6).

[4] Flammer C .Corporate green bonds[J].Journal of Financial Economics, 2021: 142.

[5] Lian Y, Ye T, Zhang Y, Zhang L.  How does corporate ESG performance affect bond credit spreads: Empirical evidence from China[J]. International Review of Economics & Finance, 2023: 85.

[6] Oikonomou L, Brooks C, Pavelin S. The Impact of Corporate Social Performance on Financial Risk and Utility: A Longitudinal Analysis[J]. Financial Management, 2012, 41(2).

[7] Xia D, Zulaica O. The term structure of carbon premia[J]. BIS Working Papers, 2022, No 1045.

[8] Zerbib O. The effect of pro-environmental preferences on bond prices: evidence from green bonds[J]. Journal of Banking & Finance, 2019.

加载中...