新浪财经 债券

基于Lasso-VAR模型再探不同级别信用利差之谜

市场资讯 2025.03.18 16:31

◇ 作者:中诚信国际研究院研究员 侯天成

中诚信国际研究院执行院长 袁海霞

◇ 本文原载《债券》2025年2月刊

摘   要

为挖掘不同等级信用利差走势的主要影响因素,同时实现更精确的利差预测,本文建立机器学习模型Lasso-VAR,对不同等级企业债券利差的影响因素进行筛选分析。模型结果显示,高等级信用债的利差主要受到中长期流动性环境的影响,而随着债券信用等级的下降,短期资金利率、市场信用环境和经济增长等因素也会对信用利差产生显著作用。本文还发现不同期限的流动性指标对利差的作用可能相反,经济数据对于债券利差的影响相对滞后。

关键词

信用债定价 信用利差 Lasso-VAR模型 时间序列

引言

随着我国金融市场改革的推进,企业直接融资渠道不断拓宽,信用债券成为支持企业发展的重要金融工具。在此背景下,加强企业信用债的定价机制研究,一方面,有利于投资者合理评估其持有的债券资产价值,有效管理投资利率风险;另一方面,也有助于政策制定者对企业融资和经济运行情况进行跟踪调节,维护国内金融市场稳定运行,对于债券市场高质量发展具有重要意义。

反映信用债定价的指标主要为信用利差,由企业发行的信用债收益率与同期限的无风险利率相减所得。虽然信用利差通常被认为是债券的违约风险补偿,但是在实际情况中,发行人的违约概率对信用利差的决定程度十分有限。例如,在2016年至2023年期间,期限为5年的AA等级的中短期票据债券的平均年收益率利差达到近360个基点,而在同一时期全市场的平均年违约率仅不足0.5%1。信用利差大幅超过预期违约损失的现象也被称为“信用利差之谜”。为了更好地探究企业债券定价机制,构建更为精确的信用利差预测模型,本文建立机器学习Lasso-VAR模型,进一步寻找影响国内公司债券不同级别信用利差走势的重要因素,为债券市场投资者和研究者提供参考。

国内外已有学者对于信用利差形成机制及其决定因素进行了较为深入的研究。Amato和Eli(2003)提出,信用利差之所以会大幅高于预期违约损失,可能是因为投资者不具备足够大规模的投资组合对信用风险进行分散,导致其对信用债的投资偏好相对较低。Huang等(2022)利用8个发达国家市场的信用利差数据验证单纯依靠违约风险难以解释信用利差的水平,并发现如将债券在二级市场的流动性差异加入利差模型后,模型对信用利差的拟合效果可以大幅改善。在国内研究方面,戴国强和孙新宝(2011)发现经济指标和货币发行量对企业债券信用利差存在正向影响,无风险利率和收益率曲线斜率存在负向影响。陈淼鑫和何彪(2017)在研究中利用国债在不同市场的收益率差异构建了描述市场流动性水平的指标,证实市场流动性的收紧会使随后的AAA和AA级别债券的信用利差增大。

尽管以往的研究已经取得一定成就,但仍然存在一定局限,包括所用模型对影响因子的筛选能力较弱、流动性的指标选取较为单一、缺少对短期信用环境变化的准确估计等。本文为解决上述问题,一是使用机器学习模型Lasso-VAR,更好地进行变量筛选,提高模型的准确性和预测能力;二是在模型中加入多种流动性指标,更具体地研究利差和不同流动性指标间的关系;三是除经济数据外,加入违约率数据以更精确地捕捉短期内市场的信用变化,以更深入地研究不同级别信用利差走势的主要影响因素。

信用利差影响因素及数据描述

本文使用中债估值的5年期中短期票据收益率2计算债券信用利差。信用利差具体计算方式为:每个月最后一个交易日的中债中短期票据收益率减去同期对应期限的国债收益率,记为CS。数据样本为2016年至2023年的月度数据。对信用利差可能产生影响的因子主要有以下几类。 

(一)无风险收益率 

无风险收益率可能主要从两个方面对信用利差的走势产生影响。一方面,较高的无风险收益率往往对应较高的经济增长率。此时,企业的经营环境良好,发生兑付风险的概率更低,投资者对于债券风险溢价的要求也会相应下降。另一方面,信用债与利率债之间存在一定的流动性差异,当市场环境发生变化时,利率债往往被投资者优先交易,导致短期内利率债收益率先于信用债收益率作出调整,信用利差被动变化。以上两种作用对利差的影响效果相反。本文使用5年期中债国债收益率作为无风险收益率走势指标,记为ifr。 

(二)无风险收益率曲线形状 

无风险收益率曲线的形状是反映市场对未来利率走势预期的指标,同样可能影响企业债的定价。当收益率曲线趋于陡峭时,意味着市场预期未来利率的上行和经济环境的改善,企业违约风险预期降低,进而使信用利差收窄。相反,收益率曲线的平坦化,则反映出经济潜在的衰退风险,可能使得信用债风险溢价升高。本文选取10年期与1年期中债国债收益率的差值,作为体现无风险收益率曲线形状的变量,记为Slop。

(三)市场流动性水平

由于信用债是流动性较弱的交易资产,需要更高的收益率弥补其在变现能力方面的不足,进而产生了流动性溢价,成为信用利差的重要组成部分。在构建模型过程中,信用债与利率债之间的流动性差异难以使用数据进行精确的定量描述,因此本文采用市场的资金充裕水平作为间接指标反映货币供需水平对流动性溢价的作用。根据经验分析,当市场中长期流动性趋于宽松时,投资者预期未来应对资金提现的压力相对较小,会倾向于配置票息更高的信用债品种,推动利差收窄;而当市场短期资金水平趋于宽松时,投资者则可能优先买入流动性较好的利率债,使利率债收益率先于信用债收益率发生变动,带动利差被动增大。本文分别采用广义货币供应量(M2)同比增速和社会融资规模同比增速描述中长期的货币供给和需求情况,记为M2 和FS。短期资金水平使用7天质押式回购利率(DR007)表示。由于质押式回购利率通常在月末时点受到需求扰动,本文使用月末最后10日的DR007平均值作为当月的短期资金利率水平,记为DR。

(四)股票市场收益率和波动率

根据Merton(1974)的结构化模型,企业的杠杆水平即企业的负债与公司的市值之比,是决定其债券违约风险的关键因素。企业的市值下降时,其偿债能力将有所弱化,债券的信用溢价理论上也会随之升高。实际情况中,股票市场还可能通过投资者情绪对债券市场产生影响,当股票市场波动幅度加大时,投资者在避险情绪的驱动下调整资产配置策略,进而引发债券市场定价变化。目前,已有研究对股票价格和信用利差之间的关系进行了实证,如谢世清和张梦鸽(2023)在研究中发现,低等级城投债利差与股票收益率呈负相关。本文以股票市场的整体走势来替代企业市值和杠杆水平的普遍变化,使用股票指数涨跌幅和其波动率作为模型因子,分别记为rsσs

(五)宏观经济运行情况

宏观经济环境的变化与企业的经营状况密切相关。在经济繁荣时期,企业通常能够获得更多的订单和业务机会,此时企业利润增加,信用状况相对良好,推动信用融资成本降低。相反,在经济衰退时期,企业资金紧张,违约概率增加,信用风险增加。本文选择具有代表性的数据,以研究经济环境变化对利差走势的影响。具体变量包括:体现市场供给情况的工业增加值同比增速数据,记为Ind;体现市场需求情况的社会商品零售总额同比增速和固定资产投资累计同比增速,分别记为Ret和Inv;体现通胀情况的居民消费价格指数,记为CPI;体现企业对于经济信心水平的制造业采购经理指数,记为PMI。

(六)市场债券违约概率

债券市场的信用环境是决定信用债定价的基本因素。信用风险环境变化可能通过投资者的配置需求对利差走势产生重要影响。理论上,当市场上的违约主体增多时,投资者对于信用债的配置情绪也会更趋谨慎,导致更高的信用溢价;相反,市场中信用事件有所减少则可能推动利差收窄。虽然前述变量可以从经济环境、企业市值等方面,间接体现未来债券发行人信用状况可能发生的演变趋势,但由于以上指标存在一定滞后性和自身波动性,难以更直接、精确地反映出市场短期内的信用风险变化,因此无法量化信用变化对投资者情绪的短期冲击。本文使用市场主体违约率,即“当月违约的公募主体家数除以月初市场存续的公募主体家数”,更直接地反映债券市场信用环境的整体变化,以研究信用环境对信用利差走势的影响。模型中的违约率指标记为Def。

Lasso-VAR模型介绍

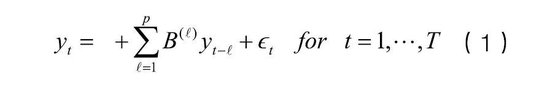
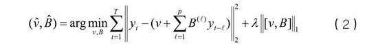
传统的向量自回归模型(VAR)被广泛应用于经济学、金融学等领域的时间序列研究中。相比于单变量的时间序列模型,VAR模型不仅考虑了被解释变量自身的回归效应,还加入了其他相关变量产生的影响,因此其往往具有更高的预测准确性。但是传统VAR模型存在一定的局限性。当模型中需要拟合的变量过多,或者变量之间存在较为明显的共线性问题时,VAR模型就有可能出现过拟合问题,导致模型的可解释性和准确性被削弱。一个较为有效的方法是将机器学习算法Lasso与VAR模型相结合,从而发挥对变量筛选降维,减少噪声对模型影响的作用。Lasso算法由Tibshirani(1996)提出,是一种用于线性回归的正则化方法,通过惩罚参数的设置,模型可以对具有较小权重的解释变量进行稀疏化处理,将对因变量影响较小的解释变量系数缩减至零,进而提高模型准确性。具体来看,一个包含k个变量的p阶滞后传统VAR模型可以写作公式:

其中yt=[y1,ty2,t…,ykt]T,为k个时间序列变量组成的向量;νk×1阶的截距向量;

k×k阶的系数矩阵;ϵtk×1阶的随机扰动向量。将VAR模型系数的估计值记为(ν̂jj ),则Lasso-VAR模型系数的估计值求解可以写为公式:

其中,‖.‖是L1范数,即

2是L2范数,即

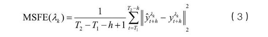
在惩罚参数调谐方面,由于VAR模型是时间序列模型,使用交叉验证会破坏变量间的时间依赖性,降低模型可解释性和精确性,因此本文使用滚动验证法选择模型最优参数,并在调整参数过程中使用最小的均方预测误差(MSFE)作为筛选指标,具体计算公式如下:

滚动验证法具体操作如图1所示。首先,利用1到 T1 的全部数据,构建以λk为参数的模型并进行预测;其次,不断将数据范围向前滚动,重复上步预测过程直到时间点 T2-1,计算出λk对应的MSFE;最后,根据最小的MSFE值选择出对应的最优参数λ

实证结果与分析

在构建模型前,本文首先对变量进行了差分、标准化处理和平稳性检验。考虑到在实际经济和金融数据研究中,2阶VAR模型通常已能较为有效地捕捉时间序列之间的相关影响,为兼顾模型准确性、复杂性和可解释性,本文将VAR最大滞后阶数设置为2,再由Lasso算法进行后续筛选,以避免向模型引入不必要的噪声,引发过拟合问题。通过Lasso-VAR对变量进行建模后,对利差影响较小的噪声变量的系数会被缩小至零,即如果变量对应的系数为非零值,则表明该变量对于利差的变化具有较为显著的解释作用。表1分别记录了不同等级模型中各变量对应的系数;图2中的柱形图对变量系数进行更直观的展示。由于变量经过标准化处理,模型中各自变量对应的系数大小也可以认为是各个自变量对于因变量解释程度的大小。具体而言,各类变量对于信用债利差的影响主要有以下几个方面。

第一,流动性指标对各等级信用利差均有重要影响,但长、短期流动性指标对利差的作用方向相反。本文分别使用社会融资规模、货币供应量和资金市场利率作为监测市场流动性水平的指标。其中,社会融资规模及M2更多反映实体经济中长期限的融资需求和供给,质押式回购利率反映金融系统短时间内的资金充裕水平。从模型结果看,各等级的信用利差均与社融增速的一期滞后值呈现正相关关系,此外中低等级的信用债利差还与市场质押式回购利率的一期滞后呈现负相关关系;M2对于利差的解释能力相对较弱。

总体而言,信用利差受市场的流动性指标的影响明显,但不同的流动性指标对利差的作用方向有所不同,中长期流动性水平收紧推动信用利差增大;而短期资金水平收紧则使利差收窄。分析其原因,当实体经济对于中长期的融资需求提升并使中长期流动性趋于收紧时,投资者会增加配置在未来更好交易的利率债产品,因此推动信用利差走扩;而当金融机构的短期资金水平收紧时,投资者为缓和短期流动性需求和考核压力,倾向于优先处置流动性较好的利率债获取资金,而非出售可能会因为快速变现而出现较大折价的中低等级信用债,进而导致利率债收益率在资金面变化时先于信用债收益率作出反应,形成信用利差的反向变化。

第二,违约率与中低等级信用利差正相关,且债券级别越低,违约率对利差相对解释程度越高。结果表明,高等级债券利差的走势相对独立于信用环境的变化;中低等级债券利差则会根据市场违约情况作出相关调整。具体来看,AAA等级的利差模型中,违约率的一阶滞后系数被缩减至零;AA+及以下级别的信用利差模型中,违约率的一阶滞后参数均为正值。对中低等级债券而言,违约率的上升显示市场的信用状况趋于恶化,此时投资者在避险情绪驱动下,会提高对于信用溢价的要求,导致信用债的价格相对下跌,利差增大;相反,市场信用环境出现缓和,投资者则倾向于降低信用溢价要求,推动利差收窄。

对于高等级主体而言,违约率变化不显著影响利差走势,这可能是由于高评级发行人的信用资质相对良好,即使市场信用状况发生变化,投资者仍然预期发行人能免受市场连锁反应影响维持兑付,不会显著改变对于高等级债券的配置策略。如袁海霞等(2022)研究发现,虽然债券成交价格与违约率之间普遍存在相关关系,但部分发行人受“国企信仰”等因素影响,其债券定价对于信用风险环境变化的敏感度相对更低。此外,通过对比中低等级别利差模型的系数可以观察到,与AA+和AA级别相比,AA-级别利差模型中违约率的系数绝对值在全部系数中相对更高,或显示信用环境的变化对于低级别的利差影响更为显著。

第三,部分经济数据对于较低级别债券信用利差存在一定影响,但作用效果相对滞后。对于AAA和AA+级别债券而言,各项经济运行指标并不会显著影响其利差的走势。但在AA和AA-级别利率模型中,经济数据是影响利差运行的关键变量。具体来看,PMI变化的二阶滞后显著影响AA和AA-级别利差运行;工业增加值的二阶滞后显著影响AA-级别利差运行。与预期一致,经济数据和利差主要呈负相关关系。经济运行向好反映发债企业经营环境的改善,在此背景下,投资者对于未来企业违约概率的预期有所下降,引起信用利差收窄。值得注意的是,模型筛选后的经济变量多为二阶滞后而非一阶,或显示经济数据对于利差的影响具有较其他变量更长的时滞效应。除直接描述经济的数据外,作为间接反映经济情况的指标,国债收益率对AA+级别以下信用利差同样存在一定影响,且效果相对滞后。在考虑其他重要的变量后,通胀水平对于信用利差的解释作用相对有限。

第四,权益市场与中低等级信用利差存在负向联动。模型结果显示,在AA+级及以下级别信用利差模型中,股票指数涨跌幅的二阶滞后的系数均不为零,即股票市场波动是影响中低等级利差的关键因素之一。与股票指数涨跌幅相比,股票市场的波动率对利差影响相对较小。具体来看,信用利差变化与股票指数涨跌二阶滞后主要呈现负相关关系,股票价格的上涨或推动后续利差收窄。从原因上看,当权益市场上升时,一方面信用债的违约回收率随着发行人的市值增加而提升,改善了信用债的相对配置价值;另一方面权益市场高涨也显示出此时投资者具有相对更高的风险偏好,促使市场追逐更高的票息收益,进而拉低信用利差。

图3展示了Lasso-VAR模型对各等级信用利差的非样本预测结果,黑色表示利差的实际数据,红色表示模型的单步预测值。总体而言,模型预测结果与利差实际水平较为接近,对于债券市场参与者进行投资决策和风险监测具有一定参考价值。然而需要注意的是,尽管VAR模型在Lasso算法帮助下对现有数据呈现较好的预测效果,但由于时间序列模型具有平移外推的特点,未来在利用模型对利差情况进行预测时,仍然可能存在预测结果与实际情况存在偏离的问题,即历史趋势或难长期简单重演。

因此,对于本文提出的Lasso-VAR模型后续或可从以下方面进行进一步完善:一是通过滚动样本保持对模型参数的高频更新,提高模型对变量相关性最新变化的适应能力,减少由于数据趋势变化带来的预测偏差;二是在模型中引入政策变化、新闻事件等突发事件变量,结合事件研究法等方式进行量化处理,帮助模型更好地捕捉未来可能发生的特定事件对利差预测结果产生的外部冲击;三是对于违约率、经济情况等样本数据加以指数平滑处理,进一步降低时间序列的随机波动特征,提高模型的预测性能。

总结

本文将机器学习Lasso算法与VAR模型相结合,剔除对利差影响较小的噪声变量,对不同等级的企业债券定价模型进行降维,提高利差分析模型的准确率。根据模型系数结果,高等级的信用债利差主要受到中长期流动性的影响,而随着债券信用等级的下降,短期资金流动性、市场信用环境和经济增长等因素对于利差的解释性随之增强。

具体而言,信用利差影响因素的具体特征包括:一是流动性指标对信用利差均具有重要影响,中长期流动性水平下降推动信用利差增大,而短期资金水平的收紧则可能使利差收窄;二是违约率与中低等级信用利差正相关,当市场信用状况趋于恶化,投资者在避险情绪驱动下提高对于信用溢价的要求,导致信用债的价格相对下跌,而高等级债券利差的走势则相对独立于信用环境的变化;三是PMI和工业增加值等部分经济数据对于较低级别债券信用利差有显著影响,且作用效果存在一定滞后性;四是股票市场涨跌是显著影响中低等级利差的因素之一。

当前我国债券市场投资者对于信用利差的管理存在诸多挑战。未来,随着我国金融市场市场化机制的不断推进,做好信用利差走势预测和风险控制的重要性也将随之提升,在利差计量技术方面具有优势的投资者或能取得更稳定的经营机会。总体而言,本文提出的Lasso-VAR模型预测结果与利差实际水平较为接近,对于债券市场参与者进行投资决策和风险监测具有一定参考价值,可以帮助投资者在进行信用债投资时更具针对性地跟踪市场相关变量,做好利率风险防范。

注:

1.  以公募债券市场为口径,用年内新增违约主体数量除以年初市场存量主体数。

2.中债估值的具体细节可参见中债信息网发布的《中债债券收益率曲线和估值基本原则(2023)》,https://www.chinabond.com.cn/zzsj/zzsj_zzjgcp/zzjgcp_cpdt/cpdt_cpbz/cpbz_qxsm_ath/。

参考文献

[1] 陈淼鑫,何彪. 信用利差与债券市场流动性的动态关系分析[J]. 金融与经济. 2017(4).

[2] 戴国强,孙新宝. 我国企业债券信用利差宏观决定因素研究[J]. 财经研究,2011(12).

[3] 刘春航,林学冠,陈璐. 银行账户利率风险框架下的信用利差风险监管研究[J]. 金融监管研究,2015(2).

[4] 谢世清,张梦鸽. 城投债信用利差的宏观影响因素研究[J]. 宏观经济研究,2023(2).

[5] 袁海霞,彭月柳婷,王晨. 债券价格对信用风险预警有效性的实证研究[J]. 债券,2022(2). DOI: 10.3969/j.issn.2095-3585.2022.02.015.

[6] AMATO J D, Eli M R. The Credit Spread Puzzle[J]. BIS Quarterly Review, 2003(4).

[7] HUANG J, NOZAWA Y, SHI Z. The Global Credit Spread Puzzle[J]. The Journal of Finance, 2022(1).

[8] MERTON R C. On the Pricing of Corporate Debt: The Risk Structure of Interest Rates[J]. The Journal of Finance, 1974(2).

[9] NICHOLSON W, MATTESON D, BIEN J. VARX-L: Structured Regularization for Large Vector Autoregressions with Exogenous Variables[J]. International Journal of Forecasting, 2017(3).

[10] TIBSHIRANI R. Regression Shrinkage and Selection Via the Lasso[J]. Journal of the Royal Statistical Society Series B: Statistical Methodology, 1996(1).

加载中...