我国长端利率定价的国际比较
◇ 作者:泰康资产总经理兼首席执行官 段国圣
◇ 本文原载《债券》2025年2月刊
摘 要
本文从宏观经济、债务周期、期限溢价模型三个角度对我国长端利率定价进行了研究。从影响利率定价的宏观总量与结构性因素来看,我国10年期国债利率略低于国际经验显示的可比水平,通过仿射期限结构模型(ATSM)估计的期限溢价亦处于相对较低水平。一些国家在化债过程中,长端利率往往受货币政策快速放松和曲线陡峭化的双重影响,总体倾向震荡下行。由此来看,国内利率可能仍有进一步下行空间。
关键词
长端利率 宏观经济 债务周期 期限溢价
近年来,伴随我国经济转向高质量发展,经济结构转型深入推进,无风险利率中枢也呈现持续回落态势。一般认为,利率水平的中期趋势既反映名义经济增速或广义资本回报率的变化趋势,也受一国人口结构、产业结构、宏观杠杆率等结构性因素的影响。从国际比较的视角来看,考虑影响利率定价的结构性因素的差异后,我国的无风险利率的定价是否合理?2024年末开启的新一轮化债进程又将如何影响利率走势?此外,我国长端利率期限溢价的变化又隐含了哪些信息?本文旨在从不同角度的国际比较视角出发,对我国长端利率的定价及未来走势作出展望。
宏观经济角度下我国长端利率定价的国际比较
(一)经济增长与通胀对长端利率的影响比较
海外主要经济体的经验表明,名义利率与名义经济增速拟合度较高。名义增长的代表性指标是实际国内生产总值(GDP) 增速和通货膨胀率。通过预判未来经济增长和通胀率的变化,来判断利率水平走势是海外债券市场的常见分析方法。从美国、日本、德国、英国等国家的经验来看,10年期国债利率与名义经济增长走势整体具有强相关性且绝对水平接近。
从相关性角度分析,国债利率与经济增长、通胀的相关性有所不同。20世纪90年代后西方各国央行纷纷将通胀目标纳入政策框架,货币政策与通胀的关系因此建立起来。例如,1993年泰勒规则被美联储纳入制定货币政策的理论框架中,英格兰银行在1992年宣布采用通胀目标制,欧洲央行在1998年也设定了保持中期通胀率低于2%的目标,日本央行为了刺激消费与投资,在2013年采取量化宽松政策,并宣布引入通胀目标等。这导致美国、日本和欧元区的10年期国债利率与通胀的相关性要显著高于与实际增长的相关性(见图1)。国内则稍有不同,国债利率与经济增长的相关性相比通胀指标要略强。
从整体看,我国利率中枢虽与名义增长高度相关,但绝对水平偏低。一方面,美国、日本和欧元区的10年期国债利率水平基本与名义增长中枢接近,我国的国债利率绝对水平则长期低于名义GDP增速;另一方面,我国的国债利率水平也低于经数据回归得出的经验中枢水平(见图2)。这一现象在考虑人口结构、经济结构和货币政策操作特征后仍然存在。
(二)经济及人口结构对长端利率的影响比较
1.人口结构对长端利率的影响
全球经验显示,人口负增长与老龄化往往带来长期利率下行压力。背后的作用机制是人口负增长和老龄化带来劳动力供给短缺,并抑制消费、投资需求,进而拖累经济潜在增速。
根据联合国人口司统计,以65岁以上人口占比衡量老龄化程度,1950年以来,主要发达国家老龄化进程持续演进。以各国老龄化加速的年份为原点T(美国2007年、英国2008年、德国1999年、法国2010年、日本1987年和中国2014年)进行对标,人口老龄化进入加速阶段后,各国10年期国债利率有不同幅度的下行,持续时间不尽相同。在主要国家中,我国利率下行幅度最小,目前持续时间长于英、美,但仍短于日本、德国。
从横向比较来看,我国长端国债利率低于相同老龄化程度国家的平均水平。根据世界银行数据,2023年我国65岁以上人口占比14.3%,过去3年均值为13.8%。按照主要国家样本的截面数据回归模型看,对应的10年期国债利率应大体位于3%附近,我国利率水平低于这一经验值(见图3)。
2.经济结构对长端利率的影响
产业结构也对利率水平具有重要影响。从全球经验看,随着服务业占比提升,经济增长中枢下移,长端利率也将随之下行。美、英等国家服务业占比上升幅度最快的阶段也对应了国债利率大幅走低的阶段。一方面,服务业的发展往往伴随着技术进步和社会分工的细化,这有助于降低生产成本,从而减缓通胀压力、压降利率水平;另一方面,与制造业相比,服务业对投资和债务融资的依赖度更低,服务业发展降低了全社会的债务融资需求,进而导致债务的价格(利率)走低。
从横向比较来看,我国长端国债利率也低于类似产业结构国家的平均水平。根据国家统计局数据,2023年我国服务业产值/GDP为54.6%,过去3年均值为53.8%。全球主要国家样本的截面数据显示,该水平下对应的10年期国债利率水平在4%左右,高于我国当前利率水平(见图4)。
(三)货币政策对长端利率的影响比较
从海外经验看,货币政策会引导长端利率变动。当实施零利率政策或非常规的宽松政策时,长端利率大概率趋势性下行,而激进的加息则会推动长端利率快速上行。政策利率的绝对水平对长端国债利率的绝对水平也有较强的引导效果。
例如,2020年3月,为应对新冠疫情冲击,美联储两度紧急降息,将基准利率降至0~0.25%,同时实施“无上限”量化宽松政策。10年期美债利率从2019年末的1.9%一度下降至0.6%左右。此后大规模刺激政策、供给冲击和能源价格上涨导致美国通胀水平大幅上升,为维持物价稳定,美联储快速加息,政策利率一路上调至5.25%~5.5%,推动10年期美债利率一度接近5%。
再如,日本央行在1990年资产价格泡沫破灭后,开始采取宽松的货币政策,1991—1995年,分9次将贴现利率从6%下调至0.5%,带动10年期国债利率趋势下行。此后日本经济始终未能摆脱通缩格局,并先后经历亚洲金融危机、互联网泡沫破裂、全球金融危机的挑战,日本央行通过零利率、量化宽松(QE)、量化和质化货币宽松(QQE)、收益率曲线控制政策(YCC)等非常规货币政策加以应对,导致日本长端利率中枢不断下行。
我国政策利率与国债利率之间也有着紧密联系。一方面,政策利率影响短端资金利率,通过债券市场投资者行为影响期限利差和长端利率;另一方面,政策利率向存贷款利率传导,并通过债券和存贷款利率间的比价效应传导至长端利率。因此从历史来看,以7天逆回购利率为代表的政策利率也是债券市场利率波动的中枢。2020年以来,在中国人民银行引导下,“市场利率围绕政策利率波动”的特征更加明显,背后体现了稳预期、稳杠杆、限制套利和促进利率市场化等多重货币政策考量。
近年来,10年期国债相对政策利率的期限利差总体稳健,货币市场利率的逐步下行对长端利率的下行具有良好的解释力。从这方面来看,国内长端利率定价逻辑和海外有诸多相似之处。
债务周期角度下我国长端利率定价的国际比较
(一)化债成为近年来政策重要考量因素
过去10余年,我国宏观杠杆率经历了显著的变化。根据中国社会科学院统计数据,2012—2016年,宏观杠杆率快速上升,年均提升超15基点(BP);2017—2019年,杠杆率趋于稳定,年均增长约2.7BP,初步实现稳杠杆目标;2020年后,宏观政策有力应对新冠疫情冲击,杠杆率进一步抬升,截至2024年三季度,杠杆率升至298.1%,较2019年末提升51.5BP。总体看,我国宏观杠杆率经历先升后稳的趋势,且在疫情冲击下显示出较强的韧性和调控能力。宏观杠杆率的上升对经济的影响是多方面的,既涉及经济增长、债务可持续性,也关系到政策空间和金融稳定性,需要综合考虑和平衡。
化债政策思路逐步明确。自2023年7月召开的中共中央政治局会议提出“制定实施一揽子化债方案”以来,财政部、中国人民银行等部委及各级地方政府通过发行特殊再融资债、设立应急流动性金融工具(SPV)、协调金融机构置换重组存量债务等一系列财政金融“组合拳”,稳步推进地方债务风险防范化解工作。2024年11月,我国实施大规模债务置换措施,全国人大常委会批准增加地方政府债务限额,意味着化债工作思路出现根本性转变,进入主动化解、整体化解、统一管理、兼顾发展的新阶段。
(二)化债的国际经验
去杠杆过程中债务人会自然减少开支。然而,一方的支出是另一方的收入,所以在经济总量层面,单纯节约开支反而容易导致收入增速下降和杠杆率被动抬升。因此,去杠杆过程中的政策配合非常重要。从国际经验看,如下两类政策较为普遍。
一是实行有力的货币政策。其中,降低利率是最有效的货币政策工具,可以降低债务负担、鼓励私人部门增加投资和消费,从而刺激经济增长。根据桥水基金统计,全球21次“漂亮去杠杆”的经验中,平均货币政策利率趋近于0。以美国2008年的经验为例,根据美国商务部工业和安全局(BIS)偿债率数据,伴随美联储大幅下调短端利率,私人部门的偿债负担(债务利息支付和摊销在收入中占比)在利率下降过程中明显下行。
二是增强财政资金的介入。债务重组是去杠杆过程中的必要举措,有助于减轻债务人的还款压力,改善其财务状况和持续经营能力。央行货币政策执行报告中也提到要“支持采取债务重组等方式盘活信贷存量”,“推动有必要的市场化出清”。然而,债权人在重组过程中可能蒙受损失,导致其贷款意愿下降,并进一步拖累经济增长。为避免这一状况,需采取必要手段提升贷款人偿付能力。根据桥水基金统计,在支撑贷款人偿付能力的政策工具中,银行重组/合并(占比81%)、资本重组(占比73%)、国有化(占比60%)等手段出现频率更高,而这些措施均需财政资金介入。
(三)去杠杆下长端利率的定价
首先,以债务可持续视角来看,去杠杆要求长端利率稳步下行。2015年以来,随着地方债的持续发行,中国社会科学院政府债口径的杠杆率在不到10年内从36%左右抬升至当前的60%左右。地方专项债规模大幅扩张,每年新增专项债与公共预算赤字等量齐观,政府部门付息压力有所显现。考虑专项债后,广义政府债的付息支出占广义财政收入的比重可能在未来10年触及10%,或超过政府可容忍水平1。
为减缓政府付息压力,需持续推动政府债融资利率下行。考虑到2024年11月全国人大常委会批准一次性增加了6万亿元地方政府债务限额,12月召开的中央经济工作会议强调“更加积极的财政政策”。假设2025—2026年广义赤字率维持在10%,后续伴随着置换债的停止发行、广义赤字率下降至8.5%附近,到2032年,如保证付息支出占财政支出的比重略低于10%,政府债存量付息成本需下行约100BP。
其次,从国际比较视角来看,在去杠杆的过程中,各国央行会大幅降低短端利率,推动收益率曲线整体下移。除货币政策外,常见的去杠杆政策还包括财政资金借入或其他支持性政策,市场的经济预期和风险偏好可能发生变化,因此长端利率的下行幅度往往不及短端,出现期限利差扩大、收益率曲线陡峭化趋势。根据桥水基金分析海外去杠杆案例,在央行开启大幅降息后(绝大多数央行在2年以内将政策利率降至1%以下),10年期国债利率与政策利率的差值会在3个月左右恢复至0,并在1年左右扩大至200BP左右。
最后,从国内经验看,过去10余年,10年期国债与逆回购利率的利差在30~140BP间宽幅震荡(见图5)。基于2024年12月中共中央政治局会议定调货币政策基调转向“适度宽松”,假设下一阶段我国央行更加强调逆周期调节并进行有力度的降息,未来2年政策利率调降100BP至0.5%,而期限利差在财政政策影响下可能扩大,使得10年期国债利率与逆回购利率利差达到100BP以上的水平,那么10年期国债利率的合理区间可能在1.5%~1.9%。
综上,在去杠杆的过程中,政策重心可能在于维持债务可持续的底线,逐步压降政府债付息成本,需要利率水平缓慢调降;也可能采取措施明显降低债务负担,需要大力度的货币政策和财政政策配合,期限利差可能扩大,收益率曲线将呈现陡峭化态势。考虑不同的去杠杆路径,10年期国债利率中枢均可能较当前水平出现下移。
期限溢价模型角度下我国长端利率的国际比较
(一)国债期限溢价的估算模型
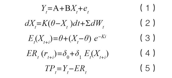
国债期限利差是长端利率与短端利率的差值,而期限溢价指长期国债相对于短期国债的超额回报率,是长端利率和市场预期的未来短端利率平均水平之间的差值。如果市场预期短端利率维持当前水平不变,那么期限利差和期限溢价数值相等;但如果市场预期短端利率中枢存在上行或下行趋势,那么期限溢价在分析长端利率定价方面则更加精确。国际上通常采用仿射期限结构模型(ATSM)对期限溢价进行估计,该模型的基本原理是,假设利率曲线上的所有利率都是几个潜在因子的线性函数,且不同期限的债券在风险调整之后没有套利机会。为提升模型参数估计的可靠性,本文使用Hamilton和Wu(2012)的方法,并参考中金期限溢价模型(2021)的研究构建期限溢价模型,模型以国债利率为输入变量,通过对潜在风险因子和预期利率的估算,得出我国10年期国债利率期限溢价的估计值(见图6)。
模型思路如下:假设利率Yt可由潜在风险因子Xt线性表示(1),Xt服从以θ 为长期均值、K 为平均回复速率的特定的随机过程(2)。通过应用Ito引理对(1)进行微分,并结合(2)解出参数矩阵A和B,从而推导出Xt。Et(Xt+i)表示对未来Xt+i的预期值(3),模型假设预期利率是风险因子的仿射函数,预期利率ERt(rt+i)则可以表示为Et(Xt+i)的函数(4)。联立(3)和(4)得到预期利率,进而将债券利率与预期利率相减即可得期限溢价(5)。
(二)国债期限溢价分析及国际比较
基于测算所得的期限溢价,有以下分析。
1.近年来期限溢价明显压缩,推动长债利率下行
上述模型测算结果显示,历史上我国10年期国债期限溢价长期维持在1%附近波动,2023年后快速下行,截至2024年12月约为0.2%,处于历史最低水平。从趋势上看,2021年以来在长期国债利率的下行中,短期利率预期变动的解释力有限,期限溢价压缩是长期债券利率下行的主要推动力量(见图7)。
2.期限溢价压缩与经济周期波动和国债投资需求增长有关
一般认为期限溢价的影响因素包括长债价格波动风险和长债供求两类。本文选取反映长债风险和供求状况的指标构建多元回归模型,分析期限溢价下行的主要原因。首先,由于期限溢价是对投资者承担长端债券价格波动风险的补偿,因此当长期债券的风险越大时,期限溢价越高。长债的主要风险来自经济景气及通胀风险,本文选取的宏观变量包括制造业采购经理人指数(PMI)与消费者价格指数(CPI)。其次,债券的供需状况是影响期限溢价的重要因素。Vayanos和Vila(2009)、Greenwood和Vayanos(2010)从理论与实证两方面检验了国债期限溢价与国债净供给之间的关系,认为长期国债净供给增加会延长套利者债券组合的久期,从而需要更高的期限溢价。本文在供给方面分别尝试用10年期国债供给量以及占国债总供给的比例等变量,在需求方面,参照Fan等(2012)的做法用贷款利率来反映商业银行投资于国债的机会成本。
如表1所示,从回归结果来看,模型整体拟合优度达74%,其中PMI和贷款利率对期限溢价具有较好的解释力度,而国债供给等因素的影响并不显著。可见,期限溢价的变动与经济周期波动及银行对国债配置需求增加存在较强的关联性。
3.考虑美国长债利率定价的特殊性,我国期限溢价继续压缩的空间有限
中美期限溢价的走势已从2017年之前的同步转向背离,反映出中美两国经济周期和政策周期的分化(见图8)。从绝对水平上看,2017年以来美债期限溢价总体在0附近宽幅震荡。尽管中期维度上美国长债期限溢价低于我国,但其背后存在一系列结构性因素的影响。其一是非常规货币政策操作,美联储量化宽松时,美债需求大增,导致期限溢价和利率下行。其二是非常规财政政策操作,相比于我国稳健的财政政策,美国财政大开大合、波动较大,历史上美国财政盈余的变化与期限溢价变化具有较高的负相关性2(见图9)。其三是投资者结构差异,美债市场的参与者更加全球化,全球储蓄过剩增加了长期美债市场的需求,压制了美债的期限溢价水平。因此,美国极低的期限溢价与其特殊的宏观政策组合及美债特殊的市场地位有关,虽然中债期限溢价仍略高于美债,但实际压缩空间已经不大。
综上,基于改进后的ATSM发现,受经济波动及配债需求的显著影响,10年期国债的期限溢价从2021年的1%已降至目前0.2%的低位。从国际比较来看,虽然美债期限溢价水平更低,但其背后受非常规政策及全球超额储蓄的影响。在我国长期国债期限溢价已处于历史绝对低位的情况下,后续进一步压降空间有限,长端利率的进一步下行主要依赖于短端利率预期。
本文从宏观经济、债务周期、期限溢价模型三个角度对我国长端利率定价进行了研究。从宏观经济角度来看,我国10年期国债利率略低于国际经验显示的可比水平;通过ATSM估计的期限溢价亦处于历史较低水平。债务周期和化债政策为较低的长端利率水平提供了解释。对比海外化债经验,长端利率在这一过程中受货币政策快速放松和曲线陡峭化的双重影响,总体上倾向震荡下行。综上,国内利率可能仍有进一步下行空间,而主要动力来自短端利率的调整。
注:
1.2016年国务院印发《地方政府性债务风险应急处置预案》,提出的债务风险关注指标为年度付息支出超过财政支出的10%。
2.计算1964年后每个财政扩张期和财政紧缩期,财政盈余的变化和对应周期内期限溢价变化的相关性。财政扩张期指财政盈余占GDP的比重由局部高点持续下降直至下一次开始回升的时间区间,财政紧缩期同理。
参考文献
[1]瑞·达利欧. 债务危机[M]. 赵灿,等,译. 北京:中信出版社, 2019.
[2] Dai Q, Singleton K. Specification Analysis of Affine Term Structure Models[J]. Journal of Finance, 2000(55).
[3] Duffee G. Term Premia and Interest Rate Forecasts in Affine Models[J]. Journal of Finance, 2002(57).
[4] Fan JPH, Titman S, Twite G. An International Comparison of Capital Structure and Debt Maturity Choices[J]. Journal of Financial and Quantitative Analysis, 2012(1).
[5] Hamilton J D, Jing C W. The Effectiveness of Alternative Monetary Policy Tools in a Zero Lower Bound Environment[J]. Journal of Money, Credit and Banking, 2012(1).