新浪财经 债券

基于可转债定价模型的择券策略与量化研究

市场资讯 2023.12.20 16:30

摘   要

可转债是构建固收+策略重要的投资品种,对可转债进行合理定价并挖掘投资价值是投资者高度关注的话题。本文探索对可转债采用量化模型中的B-S公式法、LSM法进行研究,并构造了结合定价因子、溢价率因子和质量因子的复合因子用于模型,以此制定投资策略。通过数据回溯,发现该策略整体有效。

关键词

可转债定价 B-S模型 LSM模型 复合因子

概论

1992年11月,我国第一只可转债“宝安转债”上市。自2017年起,可转债市场进入快速发展期。万得(Wind)数据显示,截至2022年12月31日,我国可转债市场存量达8388.23亿元,较年初规模增加1384.65亿元,交易量也大幅上涨。

可转债兼具股性和债性,进可攻退可守,是固收+策略重要的投资品种。对可转债定价进行拆分,可将其视为债底与期权外加一系列条款的组合,而对于债底与期权的定价,学术界有着丰富的模型参考。本文尝试使用较为主流的B-S公式法与最小二乘蒙特卡洛(LSM)模拟方法对转债进行定价。同时,在LSM定价模型中加入条款因素,力求接近现实情况。为论证定价模型的有效性,先构建定价因子进行初步检验,后代入策略进行进一步分析检验。

本文汲取过往可转债的投资经验,对双低策略中通常采用的价格因子与溢价率因子进行检验,发现价格因子并不有效,而溢价率因子经过因子检验后表现为有效。此外,为了满足投资者对于稳健性的要求,本文加入质量因子以衡量公司质量,降低回撤的同时尽可能在一定程度上降低债券的违约风险。

可转债定价模型及因子选择

对于可转债的定价方式,目前市场关注的核心在于对其中所蕴含期权价值的估计。而对于可转债期权价值的定价,B-S公式法与LSM法是两种值得研究的定价方式。

(一)B-S公式法定价模型

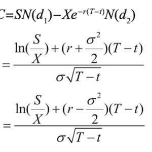
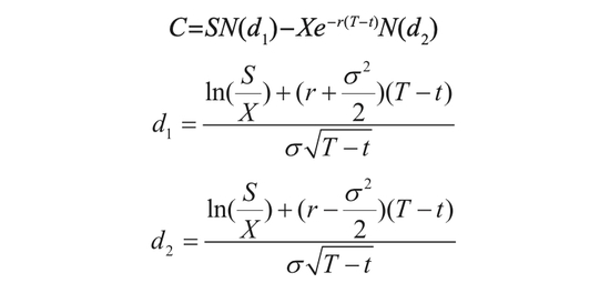
B-S公式泛指基于布莱克-斯科尔斯(Black-Scholes)偏微分方程的期权价值解析式。B-S公式在可转债定价上最大的特点是将债底价值与期权价值分开计算,其中纯债价值使用现金流贴现进行计算,对于转股部分,将其看成一个普通的看涨期权进行定价求解,最终可转债价值为两部分相加的总和。

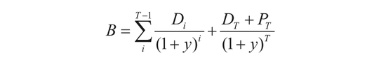
其中,S为当前股票价格,X为转股价格,r为无风险利率,T为到期期限,σ为股票的波动率。将上述公式计算得到的期权估值C与债券价值相加可得到可转债的估价。可转债在发行时已给出其每一期的付息情况,结合发行时长(一般为5年或6年),可计算出对应的纯债价值情况:

其中,i对应每一期的到期期限,而折现率y使用的利率后文会详细讨论。对于B-S定价方法,通常有两个维度可以加以理解。

一是根据定价原理,该模型可以看作SN(d1Xe-r(T-t)N(d2之和,可以理解为一份认购权证的价值与N(d1份正股和Xe-r(T-t)N(d2元无息贷款的组合价值。

二是从权证到期收益的角度看,权证的价值由其到期日以及每个时限的折价决定。但是到期时正股价格的不确定性决定了权证收益的不确定性。假设到期时正股价格为S,则到期时认购权证的价格为S-X。那么在到期前的任一时刻t,需要推算认购权证到期时正股价为S的概率,同时将行权价格按折现率贴现为时刻t的现值。因此,该定价模型可以理解为在任一时刻t,认购权证到期时正股价格为S的概率为N(d1。按照贴现的结果,Xe-r(T-t)为行权价格在时刻t的现值,同时N(d2为概率。因此,在任一时刻t,该期权给投资者带来的综合收益为SN(d1-Xe-r(T-t)N(d2

B-S公式法最显著的优点是方便、快速,运行的稳定性高,实时性强,因此经常被用在各类实时监控的情景之中。在这类情景中,对于可转债的定价也基本只有B-S模型能够正常运行。

但是在使用过程中,B-S公式法存在以下问题:理论上B-S公式的r为无风险利率,但是在这里更好的选择是使用同等级、同期限的信用债收益率,因为在B-S期权定价推导过程中,假定在买入期权做空正股的对冲完成之后组合没有风险。但对于可转债来说,这样的组合要承担债券发行人的信用风险。可转债本身先是债,后是股。一旦违约,连债底带转股期权都将不复存在。此外,B-S公式法最大的缺点是过于简单,强行将可转债的股性与债性割裂并分别重新估值,没有考虑赎回、下修和回售等条款的博弈,而这些条款的博弈是转债的重要组成部分,失去对这部分的估计对于可转债估值来说有重大影响。因此,对可转债条款博弈有“信仰”的投资者们不建议使用B-S公式法进行定价。

(二)LSM法

LSM法可以简单概括为先正向模拟股价变动,再按照类似二叉树的方法逆向对期权价值倒推求解,其中倒推是基于最小二乘估计的方法。

LSM法的优缺点与B-S公式法定价恰好相反。其优点在于可以考虑赎回、下修、回售等条款的情况,而其缺点在于运行时间长、时效性不强。

通常来说,LSM法定价步骤如下:

一是模拟出大量股票的价格路径,通常来说模拟次数在1万次以上。

二是假设在没有回售等条款的情况下,计算到期日可转债的价值。

三是利用最小二乘法进行倒推,在倒推回的每一个节点,可以比较股价情况与是否触发赎回、回售等条款情况,并计算转股价值与债券价值,判断二者高低,较大者为当前的可转债价值。

四是类似二叉树的情况,倒推出所有节点的债券价值,进而估算出当前时间节点的可转债价值。

其中股价模拟采用的数学表达式为经典蒙特卡洛模拟数学表达式:

LSM法将可转债的剩余期限T分成N个相同的时间间隔,共N+1个节点,在这些节点上需要在后续过程中确定可转债价格。利用计算机产生N个股票价格随机数,分别为S1S2,…,SN,产生随机数的模型如上所示。其中,r为无风险利率,σ为波动率,∆t为时间间隔,可按需求自行选择。若按年算,则1年大致有250个交易日。St为当期模拟价格,St+∆t为下一时间节点的价格,ϵ为加入的随机变量服从N(0,1)正态分布,从而达到随机模拟的效果。在编程实现上,同时需要加入的参数为模拟次数,可根据计算机的算力自行选择,但次数不宜过少,推荐在1万次以上,这样最后的结果会更加准确。

T时刻,比较到期赎回价和可转债转股价值的大小,从而确定在一系列时刻T可转债的价值,并贴现到前一时刻。比较前一时刻各条路径的转股价与股价,将股价高于转股价的路径记录下来,记为Z。利用最小二乘法的逻辑,对之前T时刻可转债价值贴现到Tt时刻的值建立回归方程,求出在Tt时刻继续持有可转债的价值,将Tt时刻的转股价值与当前节点继续持有可转债的价值作比较,较高者即为Tt时刻可转债的价值。然后不断重复以上步骤,倒推至期初,最终得到的结果是类似于期望的概念,这样就能很好地解决可转债的路径依赖问题。LSM法还可具体分析每条路径每个时点是否会触发赎回、回售、下修等条款,从而对具有美式期权特性的可转债进行定价。在程序编制过程中,甚至能结合模拟股价的情况,为下修、赎回等条款赋予概率,更为完美地解决了路径依赖问题。

(三)溢价率定价因子

对于可转债投资策略来说,目前市场上应用最广泛且操作性最强的是双低策略,此外还有抢权配售、下修博弈、“摊大饼”等策略。所谓双低策略,是指选择价格与溢价率均较低的可转债买入持有,属于一种防守型策略。通常来讲,高溢价率、高价格的可转债处于行业龙头地位,在牛市中常见,而双低可转债的债性强,股性也不弱,是防守反击的典范。本文经过因子检测之后,发现对于其中的可转债价格因子,在轮动1个月、2个月、3个月的时间内均处于失效状态,相反低溢价率因子却非常有效。所以在本文中选用溢价率因子,放弃价格因子。

(四)质量因子

加入质量因子,主要是考虑到银行理财子公司等投资风格较为稳健的机构往往对风险更为敏感,高质量公司的可转债经营情况良好、违约风险较低,更符合这类机构的投资风格。

关于质量因子的构建,主要基于Asness(2019)提出的质量减去垃圾(Quality minus Junk,QMJ)因子,Asness将质量因子拆分为盈利、增长、安全3个维度,将方法在多个国际市场上进行检验并发现有效。本文将原质量因子的各个子因子在我国债券市场进行数据回测(回测时间为2019年1月至2022年7月),发现其中4个子因子显示无效,其余9个子因子相对有效,最终合成的质量因子如图1所示。

(五)因子合成及择券方式

模型最终纳入的因子包括溢价率因子、定价因子、质量因子。其中,质量因子构成如图1所示;溢价率因子采用转股溢价率;传统的价格因子单纯使用可转债市场价格,而本文中的定价因子为可转债价格与可转债定价之差,其构成如下:

定价因子=可转债市场价格-可转债定价

可转债定价因子的IC值(信息系数,越大表明因子效果越好)为0.016,接近0.02,且分组测试效果尚佳,双重排序检测有效,在最后的策略中表现不错,由此认定有效。最终策略所包含的3个因子为:

合成因子=溢价率因子+定价因子+质量因子

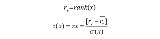
因子的最终得分为因子初始得分经过z-score标准化,标准化方式为:

即先将初始因子得分排序,将排序得分标准化,分别对以上3个因子进行此操作,再将最后的合成因子标准化,得到最终得分。

得到每只可转债的最终得分后,分别选取得分为前10只、20只、40只的可转债,在1个月、2个月、3个月的持仓时间进行轮动,回测统计各项指标。

回测结果分析

为使结果清晰、准确,本文采用中证转债指数与回测结果进行对比。在2019年1月至2022年7月,中证转债指数走势良好,累计收益率为41.82%,回撤为12%左右。

(一)B-S公式法定价策略回溯结果

采用B-S公式法,轮动天数分别为1个月、2个月、3个月的模型回测结果如表1所示。

(二)LSM法定价策略回溯结果

采用LSM法求得的定价因子与质量因子、溢价率因子合并得到复合因子,利用复合因子进行择券,回测得到的结果如表2所示。

通过对比发现,对于调仓时间间隔较短的调仓策略来说,B-S定价方式所取得的收益率略优于LSM定价方式,在回撤控制方面,LSM定价方式优于B-S。当调仓时间加长之后,LSM定价方式的累计收益率与回撤控制情况均优于B-S定价方式。综合来看,LSM定价方式优于B-S定价方式,原因可能是加入条款的约束后,定价结果得到修正,使得最后的结果更加平滑。图2、图3展示了LSM定价方式滚动40天、择券10只的结果与滚动60天、择券20只的结果,时间区间为2019年1月至2022年7月。在该区间,中证转债指数整体处于上行趋势中。

由图2、图3可知,在中证转债指数上行过程中,通过策略对个券进行选择可以明显增厚收益,累计收益率上涨。在回撤控制方面,两种策略在2022年上半年的回撤与中证转债指数相比并无显著差异,可见在大环境因素作用下,择券策略对降低风险的有效性同步降低。

结论

本文验证了可转债定价因子的有效性,同时结合双低策略中的溢价率因子和重构的质量因子合成最终因子,用于可转债投资策略。通过2019年至2022年7月的数据回测,主要得到以下结论。

其一,对于可转债定价模型来说,采用加入条款博弈的LSM法整体优于传统的B-S公式法,主要表现为累计收益率的提升与回撤的降低。

其二,通过定价因子、质量因子、溢价率因子合成的复合因子,用于投资策略后策略收益表现显著优于中证转债指数,能够在取得更高收益的同时降低回撤。在外部环境的多重负面因素作用下,本文策略仍面临一定的失效风险,在外部环境积极向好的背景下,本文策略能够有效增厚收益。

其三, LSM法并未能完全模拟现实可转债条款的触发情况,特别是在强赎将要触发或是回售将要触发时,虽然在模拟路径上可以计算其结果,但对触发之前的投资者心理博弈不能完全模拟。条款博弈的复杂性、自然人投资者的投机性很可能导致模型无法完全准确。在现实中,可转债因转股价下修而价格暴涨或者因临近赎回而价格暴跌的情况时有发生,特别在低溢价率情况下,触发条款情况更为频繁。所以在策略运行期间,需要尤其关注下修风险与赎回风险,可进行一定的人为干预,从而达到增厚收益的目的。

参考文献

[1]常竞文,王永茂. 随机利率模型下基于Tsallis熵分布的可转债定价[J]. 运筹与管理,2020,29(7).

[2]程志富. 基于险企债务清偿结构的可转债定价研究[J]. 保险研究,2016(1).

[3]董微. 转债定价的实证研究[J]. 统计与决策,2015(14).

[4]赖其男,姚长辉,王志诚. 关于我国可转换债券定价的实证研究[J]. 金融研究,2005(9).

[5]刘毅,陈瑶. 基于LSM模型的中国可转债定价问题初探[J]. 现代财经(天津财经大学学报),2011,31(9).

[6]苏小囡,梅开江,王伟. 跳扩散模型下具有随机利率的可转债定价[J]. 统计与决策,2013(20).

[7]岳喜伟,张永任,赵海焰. 可转债定价的二叉树法[J]. 统计与决策,2006(3).

[8]ASNESS C S, FRAZZINI A, PEDERSEN L H. Quality minus junk[J]. Review of Accounting Studies, 2019, 24(1).

◇ 本文原载《债券》2023年11月刊

◇ 作者:工银理财固定收益投资二部 王静斐 章耀

◇ 编辑:陆文添 鹿宁宁 刘颖

加载中...