新浪财经 债券

对含赎回权或回售权债券的估值模型验证——基于柳树和Hull-White模型

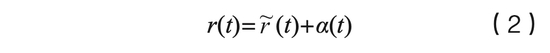
市场资讯 2023.05.29 16:29

摘   要

本文基于柳树模型和Hull-White模型,采用平行建模的验证方式,选取业务中的真实成交实例,对含有赎回权或回售权的债券进行估值验证,实证检验该方法的可行性和准确性。结果显示,该方法结果与中债估值和真实成交价格虽然存在一定误差,但误差方向与经济含义一致,揭示了含权债嵌套期权的价值,可与中债估值互为验证,对含有回售权或赎回权债券的交易开展和估值计量具有一定的参考意义。

关键词

含权债 柳树模型 Hull-White模型

引言

(一)基本背景

含权债券指的是除产生利息收入之外,债券条款中还含有期权条款的债券。在权利大类上,一般分为可赎回债券和可回售债券。可赎回债券,是指发行方有权按照事先约定的价格(赎回价格)买回其发行的尚未到期债券的一类含权债券,可视为债券与看涨期权的结合体,相当于投资方在购买债券的同时,卖出一份标的物为债券的看涨期权,因此其价格相比同样条件不含权债券的价格更低,当未来利率下跌时发行方可行使赎回权,为其提供利率下跌的保护。而可回售债券相反,投资方购买债券的同时也购买一份标的物为债券的看跌期权,当未来利率上行时投资人有权按事先约定的价格将债券提前卖给发行方,为其提供利率上行的保护,因此其价格比相同条件不含权债券的价格更高。

含权债对于丰富债券市场品种具有重要意义,可以为发行方和投资方提供有效的利率风险对冲。美国1917年即已开始发行含可赎回权利的债券。我国银行间债券市场含权债始于21世纪初,2001年国家开发银行(以下简称“国开行”)发行了第一只含权债,在随后的10年内,国开行共发行含权债26次,合计发行规模4853.9亿元。2022年6月22日,国开行时隔10年再度发行含权债。2019年2月20日,广东省在深圳证券交易所(以下简称“深交所”)成功发行全国首单含权地方政府债券,累计规模416亿元。根据万得(Wind)数据,截至2022年10月末,国内银行间债券市场存量含权债发行数量达5697只,余额为85941.01亿元。其中,可赎回债券1801只,余额为55885.25亿元;可回售债券3895只,余额为30055.76亿元。

(二)研究意义

含权债具备“进可攻、退可守”的优点,当下市场整体处于低利率环境,可回售债券的投资价值更为凸显。但含权债复杂的个性化条款提高了准确估值的难度,也带来了较高的投资门槛。实务中,机构投资方普遍直接采用外部估值或使用内部资金交易系统结果,但除中债估值提供较为完整的方法论外,其他一般为“黑匣”模型,难以完全穿透并还原具体建模过程,因此独立研究并掌握含权债的估值定价是机构的内生需求。

随着数字化转型不断深入,监管对机构的模型自主可控能力也提出了明确要求,如中国银行保险监督管理委员会《关于银行业保险业数字化转型的指导意见》(银保监办发〔2022〕2号)提出,要建立对模型和算法风险的全面管理框架,确保模型的可解释性和可审计性;模型管理核心环节要自主掌控,对于实施资本计量高级方法的商业银行,监管更是要求对风险价值系统中的单个产品定价和估值模型进行验证,以掌握模型定价方法,避免“定价黑匣”带来的损失。根据《商业银行资本管理办法(试行)》(中国银监会令2012年第1号),商业银行应根据模型开发文档,对不同产品定价模型进行逐项推导,评估其准确性和合理性;还应通过自行建模、平行计算或提取第三方机构公布的定价数据等方式进行验算,以确保模型的准确性。

总体而言,对于专业的机构投资者,无论是前台实际交易,还是中后台估值定价、损益计量及模型验证,自主掌控含权债估值模型具有重要意义。

估值方法综述

含权债本质是债券和利率衍生品的组合,对于债券部分估值较为简单,可直接采用息票贴现方法,贴现率中考虑发行方的信用风险因素。利率衍生品部分估值构成主要难点,具体体现为:利率衍生品种类及组合较多,既有单独包含回售权或赎回权的情况,也有同时包含回售权+赎回权、赎回权+票面利率调整权等组合的情况;既有欧式期权,也有美式期权,甚至包含百慕大期权;内含的期权衍生品使得含权债具有不确定的到期日或不确定的行权日后息票;债券中一般含有多个期权衍生品,彼此之间存在依存关系,比如回售权行使之后,赎回权就自动消失,因此估值必须将权利看作一个整体。

利率衍生品的估值方法理论上分为解析方法和数值方法,前者包括通用的BS模型、针对利率衍生品的Black模型等,后者包括二叉树方法、蒙特卡洛模拟及有限差分方程。由于债券涉及对利率价格的模拟,又可以采用单因素均衡模型(Vasicek模型、Cox,Ingersoll and Ross模型等)、双因素均衡模型(Heath,Jarrow and Morton模型)及无套利模型(Ho-Lee模型、Hull-White模型等)。

文献方面,Brennan和Schwarts(1977)最早研究含权债定价,在不考虑信用风险的情况下假定短期利率服从随机游走,比较了不同含权债的价格关系。Andrew J.Kalotay、George O.Williams 和Frank J.Fabozzi(1993)介绍了含权债的通用估值方法,采用二叉树模型给可赎回债券定价,主要方法是计算期权调整利差(OAS),利用该利差对内嵌期权的债券的收益率进行调整,从而对比分析普通债券和内嵌期权型债券的价值,再计算出赎回期权的价值,并分析了债券价格对于市场利率的敏感程度。Buttler(1995)使用有限差分对百慕大期权债券定价,认为该方法误差较大,不适用于实际投资。Michael Curran(2001)提出了一种替代标准二叉树和三叉树的柳树方法,认为柳树方法在计算效率上优于标准二叉树和三叉树,该方法目前也被主流的市场风险管理系统提供商ALGO所采用。国内文献较多采用二叉树方法进行定价研究,如郑振龙、康朝锋(2006)基于BDT模型,用二叉树模型对国开债的可赎回、可回售债券进行定价分析。程昊、何睿(2021)基于OAS和Black模型两种方法,分别对内嵌“回售权+调整票面权”条款的债券定价进行考察,结论是更推荐OAS方法。此外,中债金融估值中心2020年12月发布《含投资人回售权和发行方调整票面利率选择权的付息式固定利率债券估值方法》,详细披露了内嵌“回售权+调整票面权”条款债券的中债估值方法,主要通过远期利率走向判断行权的可能性,具体过程为先计算预期均衡票面利率,再比较预期均衡票面利率和约定的票面利率可调整范围,以判断是否行权并推荐按长或按短估值,最终根据推荐方向按现金流折现模型进行估值。

柳树模型

(一)基本方法论

本文将借鉴ALGO的思路,基于柳树模型方法本身,采取平行建模的方式,对含有赎回权或回售权的债券进行估值建模。主要考虑在于:含权债内嵌期权具有强路径依赖关系,传统的二叉树或者三叉树数值方法,前期节点过少,误差较大,后期节点又过多,会产生大量冗余计算。而柳树方法可有效避开这一弊端,该方法使用离散的马尔科夫链近似布朗运动,通过选取合适的转移矩阵保证马尔科夫链收敛至布朗运动,柳树从第一个时间步便迅速打开,在后续时间步,整棵树又被限制在正态分布置信度范围内,与二叉树和三叉树相比较而言,理论上具有计算速度更快、更加准确也更加稳定的优点。

(二)建模步骤

建立柳树模型的具体步骤如下:

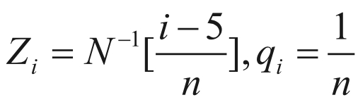
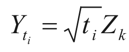
首先将正态分布分成n个节点,并且为每个节点分配一个正态变量Z1Z2,...Zn,用于代表其所在的区间,对应的概率为q1q2,...qn。令

n→∞,hj→0时,Yti收敛于一 个布朗运动。求出满足条件的转移矩阵pij,表示从状态i变到状态j的概率,即求解下面这个优化问题:

Xii=1,2,3...} 是一个非时齐马尔科夫链并有{1,2...n}个状态,并定义随机过程{Ytiti ≥ 0}:当Xi在状态k的时候,

对每一个时间步k,都求解上述优化问题获得对应的转移矩阵。本文通过python代码完成这一过程,最终构建的柳树形状如图1所示。

图中所显示的柳树有10个时间步,每步有12个节点,对应12个正态变量Zi

Hull-White模型

上文中的柳树模型完成了对布朗运动的近似模拟,基于柳树模型,可以对更为复杂的随机过程进行建模。接下来要对短期利率进行建模,目前较为主流的是Hull-White单因子无套利均衡模型(1990),该模型是对Vasicek模型(1977)的拓展,既考虑利率均值回归的特点,又充分吸收当前利率期限结构的信息。

(一)构建初始利率树

假设短期利率服从Hull-White单因子无套利均衡模型:

其中a、σ是常数,分别代表均值回归常数和利率波动率,为了更加方便地构建利率树,首先将上式作变形,令

且满足以下关系:

并令

结合上文构建的柳树,可以构造初始利率树如下:

上式表示时间步长为t,第k个节点的短期利率。

(二)校准利率树

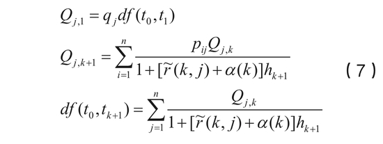
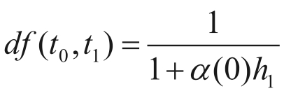
上文通过对Hull-White模型进行变形,构建了初始利率树,现在需要根据当前市场的利率期限结构对所构建的利率树进行校准,即求出(2)式中的αt。校准方式是用利率树对不同期限的面值为1的零息债券进行估值,通过调整αt)使得通过利率树对零息债券的估值结果与市场价格一致。具体步骤如下:

可以根据对应的当前市场的折现曲线和信用点差曲线,通过现金流折现公式计算零息债券的市场价格:

rdrs是在对应的折现曲线和信用点差曲线上通过线性插值的方法获取,对每只含权债,按照业务特征选择对应业务品种、发行方信用等级或行业类别的折现曲线和信用点差曲线。

随后通过使用利率树计算每个时间步的折现因子,初始点的α(0)可以通过

求得α(0)、dft0t1后,根据(7)式中的定义及(6)式在各个时间步的计算结果,通过迭代的方法一步步求出后续每个时间步的αt),最终经过当前市场利率期限结构校准的利率树各个节点的利率值为

(三)使用校准后利率树对含权债估值

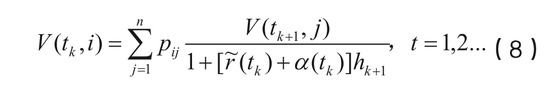
至此已经获得校准后的利率树,对含权债估值的步骤为从利率树最后1个时间步即含权债到期日开始向前递推,通过(8)式向前递推求值:

其中VTi)=Notional+Coupon,到期日的价值等于含权债本金加最后一期利息;对于每个付息日时间节点,价值V等于通过(8)式计算得到的价值加上该期利息;对于行权日,价值V为通过(8)式计算得到的价值与含权债条款规定的赎回价和回售价K作比较得到,即如果是可回售债券,则行权日V=max(K, V,如果是可赎回债券,则行权日V=min(K, V

当求得V(1, i后,可以通过(9)式计算得到当前估值时点含权债的价格。

含权债估值检验

基于上述柳树模型和Hull-White模型,本文使用Python代码实现模型构建和估值过程,在现有含权债中分别随机选取了2只可赎回债券和2只可回售债券进行估值。中债估值是目前实际交易最重要的参考价格,故本文将基于柳树模型和Hull-White模型对含权债的估值结果,分别与中债估值和实际市场成交价格(为估值日当日市场真实成交价格的加权均价)作对比,论证模型估值的实用性和合理性。

4只债券的基本信息如表1所示,其中2只可回售债券带有发行方调整票面利率权。

在柳树模型构建过程中,过长的时间步长会导致时间步过少,模型收敛精度差,过短的时间步长会导致计算效率大幅降低,因此根据所选债券剩余期限,我们将时间步长设为30天,并将所有行权日单独设成1个时间步,故对于上述可赎回债券1共有87个时间步,可赎回债券2共有71个时间步,而上述可回售债券1共有55个时间步,可回售债券2共有59个时间步。每个时间步设12个节点,对应12个正态变量。

用于可回售债券1估值的柳树如图2所示。

对于Hull-White单因子模型,我们参照经验将均值回归常数设为0.001,参考估值日利率波动率曲面(用于利率期权如利率上下限、利率掉期期权)将波动率设为0.005,最终4只债券的估值结果和中债估值及真实成交价格如表2所示。

结果显示,对于可赎回债券,模型估值<真实成交价格<中债估值;对可回售债券,模型价格>真实成交价格>中债估值。造成这一现象的原因在于模型估值更加充分全面地考虑了含权债嵌套期权的价值,从而导致对发行方有利的可赎回债券模型估值小于中债估值,对投资人有利的可回售债券模型估值大于中债估值。市场真实成交价格位于模型估值与中债估值之间且更接近中债估值,说明交易员在真实交易时大多还是以中债估值为基础,附加的期权价值较小。从最后结果误差来看,模型估值结果与中债估值及真实成交价格的误差在0.5%以内,误差的来源主要是对嵌套期权价值的计量。因此,笔者认为通过该模型进行估值可以更全面计量含权债嵌套期权的价值,对真实交易具有参考价值。

笔者进一步测试了估值结果对模型中每个时间步节点数的敏感度。将柳树模型每个时间步节点数增加至30,对比4只债券估值结果的差异程度,结果如表3所示。

从结果可以看出,节点数12和30的估值结果在保留2位小数精度的前提下几乎一致,说明将节点数设为12时,柳树模型已经可以得到收敛的结果,柳树模型收敛速度较快、稳定性好。本模型是针对赎回权和回售权这两类最重要的利率衍生品的含权债估值模型,如果含权债包含其他的特殊权利,也可以在本模型基础上作适当拓展。

结论

本文利用柳树模型和Hull-White模型,对含有赎回权或回售权的债券进行平行建模,通过对比其与中债估值和债券市场真实成交价格,发现该模型结果与中债估值和真实成交价格存在0.5%的误差,主要是因为模型结果更全面计量了含权债嵌套期权的价值,但整体误差在可控范围内,且对比模型结果和中债估值能直观地获取含权债嵌套期权的价值,验证了该模型方法的可行性和结果的准确性。同时,柳树模型重要参数,例如节点之间的转移矩阵只需求解一次,后续便可储存下来以便重复使用,因此使用该模型对含权债估值较为便捷,只需根据当前市场利率期限结构对存储的树进行校准即可用于估值。柳树模型也具有良好拓展性,可进一步推广到其他权益类衍生品的估值定价。总体而言,该模型具有收敛性较好、运行便捷、适用性广等优点,可为机构投资者开展含权债业务提供有效参考。

参考文献

[1]程昊,何睿. 内嵌“回售权+调整票面权”条款债券的市场定价与投资机会[J]. 债券,2018(5).

[2]陈志豪. 含权债券的估值定价研究[D]. 上海:上海交通大学,2018.

[3]Curran M, Willow P. Optimizing Derivative Pricing Trees[J]. Algo Research Quarterly, 2001, 4(4).

◇ 本文原载《债券》2023年4月刊

◇ 作者:中国邮政储蓄银行风险管理部 王瓒文 傅鹏佳 赵婧媛

◇ 编辑:杨忠雨 鹿宁宁 廖雯雯

加载中...