新浪财经 债券

我国债券作为期货保证金制度建设与展望

市场资讯 2022.12.02 16:30

摘   要

期货保证金制度在期货交易结算中发挥了至关重要的作用,是防范化解交易风险的关键抓手。随着我国期货市场持续发展、对外开放进程不断提速,期货保证金制度也不断完善,应用日益广泛。债券作为期货保证金制度的建立有效提升了债券资产使用效率,降低了市场投资者交易成本,同时也推动了期货市场安全高效发展。本文基于中央结算公司在期货交易中引入债券担保品管理机制的实践经验,梳理我国债券作为期货保证金制度的发展历程,并对该机制进行展望与思考,为进一步助力我国期货市场高效运行和对外开放提供参考借鉴。

关键词

期货保证金制度 债券担保品 风险防范

债券作为期货保证金制度的发展历程

保证金制度是期货交易的基本特征之一,也是期货市场风险管理的核心。在境外市场,以有价证券作为期货保证金是市场通行做法,其中价值稳定、流动性好的债券资产是最主要的保证金种类。据笔者研究,从国际各大证券交易所的担保品规模来看,现金类担保品占保证金比例不到10%,债券担保品占比通常在50%以上。

相比而言,我国债券作为期货保证金制度建设起步较晚。2007年,证监会发布《期货交易所管理办法》,明确期货交易所可以接受标准仓单、国债等有价证券作为期货保证金。但长期以来境内期货保证金仍以现金为主,部分标准仓单作为补充,交易成本相对较高。2012年修订的《期货交易管理条例》,再次明确将期货保证金范围拓展至标准仓单、国债等有价证券,为期货保证金业务创新清除了法律障碍,我国债券作为期货保证金制度建设和实践正式进入快车道。

(一)制度建设层面,债券作为期货保证金制度从无到有、从有到优,自主创新建立符合中国实际的保证金机制

虽然在法规层面债券作为期货保证金具备法律基础,但具体到债券资产作为期货保证金使用的法律属性以及相关主体间的法律管理,尚无明确规定。2013年底,在主管部门的指导下,中央国债登记结算有限责任公司(以下简称“中央结算公司”)联合中国金融期货交易所(以下简称“中金所”)等基础设施开展了国债作为期货保证金制度的研究工作,充分总结国际经验与论证制度法律依据,确立了以质押担保为基础的业务模式选择,为后续保证金业务创新奠定了理论基础。

2015年1月,中央结算公司与中金所正式开展试点,联合启动国债作为期货保证金业务,正式将债券保证金制度引入期货市场。此后,市场各方在业务中不断修正完善,持续优化保证金机制实践,逐步摸索出一条既符合法律规定又适应市场需要的道路。

高效的担保品处置机制是债券作为保证金的核心制度。2019年,中央结算公司联合中金所等期货交易所开展专项研究,自主创设了期货市场的担保品快速处置方案,形成了风险管理的完整闭环。自2020年起,国内各家期货交易所相继发布结算细则和操作指引,在期货市场参与机构对交易所层面上明确了发生违约的相关制度安排。2021年,中央结算公司与期货市场监控中心建立违约惩治信息的核查机制,进一步完善投资者对期货公司层面违约处置机制及违约处置环节。

2022年,《中华人民共和国期货和衍生品法》(以下简称《期衍法》)正式出台,填补了国内衍生品领域履约保障制度的空白,明确了期货及衍生品交易中以债券等有价证券作为履约保障品的合法有效性,并从立法层面上肯定了期货市场的违约处置实践,从根本上消除了投资者关于担保权利实现的顾虑。至此,我国债券作为期货保证金制度也得到了全方位的完善和发展,形成了较为完备的保障机制。

(二)业务实践层面,债券作为期货保证金业务从0到1,从1到多,业务广度与深度持续拓展

自2015年中央结算公司与中金所试点将债券保证金制度引入期货市场以来,随着制度建设的持续完善,债券作为期货保证金业务实践也取得了跨越式发展。

一是业务规模不断扩大。随着业务适用范围扩大,中央结算公司数据显示,作为期货保证金的债券担保品规模从2021年3月的约467亿元迅速增长至2022年9月末的1786亿元,约占期货市场保证金总量的10%1(见图1)。

二是覆盖品种由点及面。从国债期货品种试点起步,2019年该业务范围获准扩大至中金所全部金融期货品种;2020年,在证监会指导下,中央结算公司与国内各商品期货交易所合作,将债券作为期货保证金制度推广至商品期货市场,涉及70多个期货、20多个期权品种,实现对国内期货市场的全覆盖(见图2)。

三是参与机构日趋多元。2015年,首单国内证券期货机构业务落地;2019年,首单境外投资者使用债券作为期货保证金业务落地;2020年,首单证券投资基金和资产管理产品业务落地,商业银行也于同年开展该业务。截至2022年9月末,共有600余家机构参与该业务,其中期货公司139家,市场投资者470家,涵盖资管、证券、银行、境外机构等多种类型(见图3)。

债券作为期货保证金制度的作用与意义

债券作为期货保证金制度的建立与应用是推进期货市场建设和对外开放的重要部署,也是响应市场各方加快创新、提高市场效率的具体举措,广受投资者的青睐。

一是在市场建设层面,有助于推动期现货市场联动发展,促进金融基础设施互联互通。债券作为期货保证金业务是联结我国债券市场与期货市场的关键枢纽,也是金融基础设施间互联互通的重要成果。一方面,该制度为持有债券的机构投资者更加高效地进行资产风险管理提供便利,进一步强化期现货市场在量价方面的交易联动,改善期货市场流动性;另一方面,该制度能够拓宽债券使用范围,降低投资者的债券持仓成本和交易成本,为债券市场引入更多长期资金。按照国际惯例,根据当前期货市场存量保证金规模估算,如果我国债券在期货保证金中的占比能达到50%左右,预计可盘活约9560亿元的债券资产。

二是在金融开放层面,有助于扩大期货市场对外开放,提升市场国际竞争力。债券作为期货保证金制度是我国期货市场在长期探索中发展形成的,既遵循国际惯例,又遵守中国本土的资本市场规则。建立这种适配需求、接轨国际的制度,既符合境外持券机构参与期货市场的实践惯例,又符合境内交易管理和担保法律的基础特征,有助于境内期货市场吸引境外投资者,推动期货市场深化开放。

三是在期货交易层面,有助于降低投资者期货交易成本,提高市场运行效率。投资者使用债券作为期货保证金,在避免现金占用的同时可以正常获取票息收入,显著降低期货交易成本,提高套保效率,促进期货市场价格发现和避险功能的发挥。按照当前期货市场存量保证金规模估算,这项业务全面开展后,预计每年可为期货市场降低约170亿元的交易成本。此外,债券作为期货保证金制度的应用有助于吸引和培育更多的机构投资者,特别有利于在专业性较强的金融期货领域,进一步平滑期货价格波动,改善期货市场运行质量。

专栏:债券作为期货保证金业务作用发挥的实证分析

——以沪深300指数期货为例

该部分选取沪深300指数期货市场为样本,通过实证分析该制度在降低期货市场价格波动、提升市场效率等方面发挥的作用。

1.模型构建

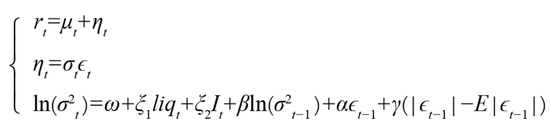
为精确地体现期货市场价格情况,我们根据持仓量找出主力合约2并将价格进行拼接形成主力连续合约作为研究对象。选取股指期货上市以来主力连续合约日收盘价Pt数据计算出对数收益率rt=ln(Pt/Pt-1),对rtrt2分别进行Ljung-Box检验,结果显示期货市场长期波动率存在明显的ARCH效应。为反映波动率的自相关性,同时克服传统GARCH模型对正负扰动的反应对称的弱点,我们使用指数EGARCH模型,模型如下:

其中,μt为对数收益率均值水平,σt为收益波动率,ϵt为新信息扰动;参数β反映波动率的自相关性,α反映扰动非对称效应的方向,γ反映非对称效应的规模。

综合信息准则和参数稳定性考虑,使用滞后阶数为(1,1)的EGARCH模型。为测算市场效率提升,分离流动性变化产生的波动影响,在EGARCH(1,1)基础上加入流动性指标liq3。同时加入表征债券作为保证金业务推出与否的虚拟变量I,2019年1月21日之后取值为1,其余为0,通过估计其系数ξ2分析业务拓展前后对市场波动率的影响。

2.实证结果及分析

2019年1月21日,债券作为期货保证金业务拓展应用至股指期货。选取沪深300股指期货2018年7月—2019年7月的交易数据,该时间段内的对数收益率rt的数据具体如表1所示。

用极大似然法进行参数估计结果如表2所示,模型参数全部显著,且虚拟变量系数ξ2显著为负,表明债券作为期货保证金业务开展后,通过市场效率摩擦产生的波动显著降低了,总体来看市场效率的提升使波动水平较前期下降约4%4

思考和建议

债券作为期货保证金制度的建立对期货市场深化发展和防范金融风险都具有重要意义。在新的市场环境下,为了更充分发挥该制度的功能优势,增强金融服务实体经济能力,建议推进以下几项工作。

(一)优化期货保证金机制,完善合格担保品框架

目前我国期货交易所只接受国债作为合格担保品,且质押率统一设置为80%,与我国国债的风险水平不匹配。对比发达国家市场,可作为保证金的有价证券品类丰富,并根据不同证券种类和业务类别差异化设置折扣率,折扣比率一般为85%~99%。此外,期货交易的主要参与者以资管产品和证券公司为主,根据中央结算公司披露的投资者持有券种情况,截至2022年9月末,这部分投资者的主力持仓是政策性银行债,持仓占比约为40%,而国债持仓占比约为13%。为进一步提高市场效率,建议推动担保品范围扩容,将政策性金融债等高等级债券逐步纳入合格担保品范围,同时推动担保品质押率的优化,根据不同债券种类、期限、评级甚至市场流动性变化设置折扣率,充分发挥优质担保品的价值。

(二)推动更多境外机构入市,深化期货市场开放

近年来,我国期货市场的国际影响力日益提升。2022年上半年,商品期货成交量约占全球商品类成交量的70%,原油、精对苯二甲酸(PTA)等多个品种也已成为境内外客户进行商品交易的定价依据与重要参考。2022年9月,国内期货交易所同时发布公告,明确了合格境外机构投资者(QFII)和人民币合格境外机构投资者(RQFII)可参与的41个期货、期权品种,期货市场对外开放再次加速。作为国际期货交易惯例,境外机构更倾向于使用债券作为期货保证金。建议进一步完善境内外期货市场相关制度衔接,支持和推动境外投资者参与债券保证金业务,在提高投资便利的同时,盘活境外投资者持有的境内债券资产,从而实现期货市场和债券市场国际化相辅相成、双管齐下。

(三)探索产业投资者使用柜台债作为期货保证金,增强服务实体经济能力

商品期货不同于金融期货5,其交易的核心目的是便于产业投资者进行风险管理,即投资者与期货品种的现货产业有关系。目前债券保证金业务参与者均为金融机构,产业投资者一般不属于金融机构范畴,且较少持有债券类资产。2016年,人民银行发布《全国银行间债券市场柜台业务管理办法》,允许合格的个人及产业投资者通过银行柜台参与债券市场,为更多产业投资者参与业务打开空间。当前,柜台债的主要品种是国债、政策性金融债、地方政府债等高等级债券品种6,整体运行稳健。2022年下半年以来,人民银行多次表态要加快柜台债市场发展,支持业务创新。为进一步提高金融要素市场联动发展,建议可进一步探索使用柜台债券作为期货保证金的可行性,降低产业投资者期货交易成本,提高产业客户资产管理效率,提升金融服务实体经济的质效。

(四)推动更多期货市场品种创新

期货行业是产品推动型行业,其成长性很大程度上决定于期货交易品种的增长。《期衍法》将期货品种上市机制修改为注册制,并明确提出鼓励套期保值、推动农产品期货和衍生品市场发展等专门内容,将极大地鼓励市场创新,进一步释放市场活力。建议抓住期货期权品种上市机制不断完善的契机,进一步丰富和完善交易品种体系,在不断完善风险管理工具箱的同时紧扣国家战略方向和产业发展需求,积极探索推出碳排放、物流、指数等新型产品,扩大债券作为期货保证金业务的应用范围,进一步推动期货市场高效运行,促进我国经济高质量发展。

注:

1. 2022年8月期货公司客户权益约1.53万亿元,载中国期货业协会网站http://www.cfachina.org/informationpublicity/qhgsydjysj/202208/t20220824_29776.html。

2.主力合约的定义为:如果某合约持仓量连续2天为同一个品种中最大的,且该合约相对于当前主力合约为远期合约,则自动变成主力合约。

3.对于不同期货品种,选取常见流动性度量(如成交量的对数变化率、成交持仓比率等)中与价格波动相关性最大者作为流动性指标liq,以根据不同市场特点最大程度分离流动性影响。

4.下降程度为

5.据中国期货业协会网站数据,商品期货和金融期货市场2022年上半年成交额分别为197.81万亿元和59.67万亿元,占全市场比重分别为76.82%和23.18%。

6.据中央结算公司官网数据,截至2022年8月14日,柜台债市场存量债券总额为16.9万亿元,其中国债占比48.25%、政策银行债占比44.71%、地方债规模占比6.92%。

◇ 本文原载《债券》2022年11月刊

◇ 作者:中央结算公司中债担保品中心 李梦 黄静贤

◇ 编辑:周舟 鹿宁宁 廖雯雯

加载中...